Properties of equilibria and glassy phases of the random Lotka-Volterra model with demographic noise
Authors:
Ecosystems:
building blocks Nature
living species + environment

-
Short-time interactions:
- Predation (+,-)
-
Long-time interactions:
- Mutualism: (+,+)
- Commensalism: (0,+)
- Parassitism: (+,-)
- Competition (-,-)


Ecosystems are complex systems
Small number of species
-->Dynamical systems
Example: Lotka-Volterra for prey-predator system
And for very large number of interacting species?
- Collective behaviours
- Statistical Physics well-suited
A model for well-mixed ecosystems:
disordered Lotka-Volterra model
\(i\in\{1,...,S\}\)
- \(N_i\) exp growth term
- \(1-N_i\) accounts for limited resources
A model for well-mixed ecosystems:
disordered Lotka-Volterra model
\(i\in\{1,...,S\}\)
Symmetric interaction matrix
- mean[\(\alpha_{ij}\)]=\(\frac{\mu}{S}\)
- var[\(\alpha_{ij}\)]=\(\frac{\sigma^2}{S}\)
- \(\alpha_{ij}=\alpha_{ji}\)
A model for well-mixed ecosystems:
disordered Lotka-Volterra model
\(i\in\{1,...,S\}\)
Demographic Noise
- Zero mean
- \(\langle\eta_i(t)\eta_j(t')\rangle=2TN_i\delta_{ij}\delta(t-t')\)
A model for well-mixed ecosystems:
disordered Lotka-Volterra model
Immigration: Reflecting boundaries at \(\textcolor{blue}{N_i=\lambda}\)
At stationarity
How many equilibria?
A replica approach
\(Q_{ab}=\frac{1}{S}\sum\limits^S\limits_{i=1} N_i^a N_i^b\)
\(H_{a}=\frac{1}{S}\sum\limits^S\limits_{i=1} N_i^a \)
Order Parameters:
\(\beta=\frac{1}{T}\)

Phase Diagram
\(\lambda=0.01\) and \(\mu=10\)
Large \(T\):
- One equilibrium
- Noise \(\gg\) interactions
Obtained through a Replica Symmetry (RS) ansatz for Q
Phase transition lowering \(T\)
Lowering \(T\), the smallest eigenvalue \(\lambda_R\) of \(\mathcal{M}\) goes to 0
\(\lambda_R=(\beta\sigma)^2\left[1-(\beta\sigma)^2\overline{(\langle N_i^2\rangle-\langle N_i\rangle^2)^2}\right]=0\)

Phase Diagram
\(\lambda=0.01\) and \(\mu=10\)
- Exponential number of equilibria
- Interactions play a role
Obtained through a 1-Replica Symmetry Breaking (1RSB) ansatz for Q

Phase Diagram
\(\lambda=0.01\) and \(\mu=10\)
Gardner Phase
- Each equilibrium: many marginally-stable equilibria
- Fractal structure
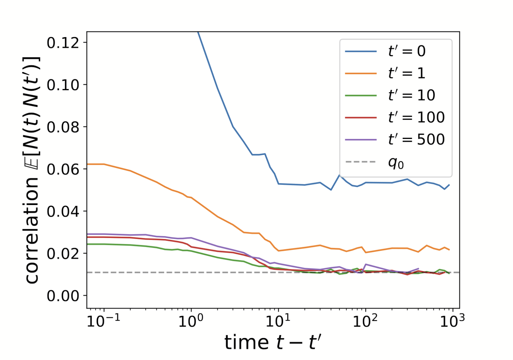
One equilibrium Phase: dynamics

\(C(t,t')=\mathbb{E}[N(t)N(t')]=\frac{1}{S}\sum\limits_{i=1}^S\frac{1}{N_{sample}}\sum_{r=1}^{N_{sample}}N_i^r(t)N_i^r(t')\)
\(C(t,t')\approx C(t-t')\)
\((S,\mu,\sigma,\lambda,T)=(500,10,1,10^{-2},10^{-1})\)
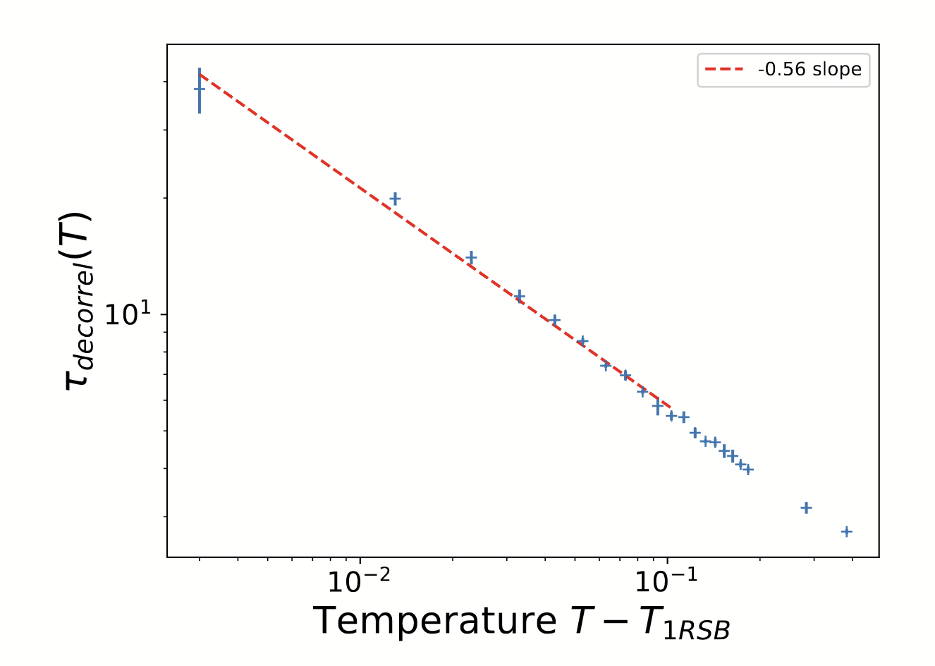
Approaching the multi-equilibria Phase Transition

\((S,\mu,\sigma,\lambda)=(500,10,1,10^{-2})\)
\(\frac{C(\tau_{decorell})-C(\infty)}{C(0)-C(\infty)}=0.3\)

Aging in multiple equilibria phase
\((S,\mu,\sigma,\lambda,T)=(2000,10,1,10^{-2},1/80)\)
Hopping on metastable equilibria

Ecosystems: marginally stable?

Fitting with Data
Stationarity: \(P_{st}(N)\)

Time-dependent: \(P(\lambda, t)=P(\frac{N(t)}{N(0)},t)\)

Parameters estimation-> marginal stability
"Our result suggests that ecosystems at stationarity are marginally stable—not so stable that they are frozen in time and not so fragile that they are prone to extinction."
- \(\langle t\rangle\ll\tau\): extinction faster than recovery
- \(\langle t\rangle\gg\tau\): very robust ecosystem, no evolution
Where we are in the phase diagram?
- Obtain prediction for measurable ecological quantities
- Extrapolation of \(T,\sigma,\mu\)

Conclusions and questions
- Phase Diagram for random LV
- Small \(T\) and large \(\sigma\): many marginally stable equilibria
- Which is the phase for real ecosystems?
- Useful to understand what happens perturbing the ecosystem
- A question: response functions in glassy systems?
Thank you for your attention
BACKUP
Phase transition lowering \(T\)
from 1RSB to Gardner Phase
\(\lambda_R^{1rsb}=(\beta\sigma)^2\left[1-(\beta\sigma)^2\overline{\langle(\langle N^2\rangle_{1r}-\langle N_i\rangle_{1r}^2)^2\rangle_{m-r}}\right]=0\)

\(\lambda=\frac{N(t)}{N(0)}\)
Properties of equilibria and glassy phases of the random Lotka-Volterra model with demographic noise
By umberto_tomasini
Properties of equilibria and glassy phases of the random Lotka-Volterra model with demographic noise
- 87