Education
- Bachelor in Physics (UniPD)
- Thesis on Quantum Mechanics
- Master in Physics of Matter (UniPD)
- Thesis on Statistical Physics and Climate models
- Supported by Excellence School scholarship


Work Experience
-
PhD in AI (EPFL):
- Quantify and interpret generalization in Deep Learning
- Research on Protein Design with Diffusion Models
- 5 papers (4 as first author) presented in 12 venues as ICLR and 2 ICML spotlights
- Dean's Award for Excellence in Teaching
-
Applied Scientist Intern (AWS AI Labs, California)
- Improve Large Language Models for complex reasoning
- One U.S. patent.


Language Models as Theory Solvers

Online Shopping with AI assistant


Working Backwords
Wrong! More than $30, polyester.
Much general problem...
- Planning
- Calendaring
- Storytelling
- ...
Every time you need an answer with many constraints
Goal: enable LLMs to generate correct answers,
even with many constraints
Formal solvers solve statements with many constraints.
For example finding \(x\), \(y\), \(z\) to solve:
\(x*z=y\land(z<0\lor y=0)\)
Used in applications as automated theorem proving and software testing.
Many constraints: formal solvers
Query: "I want a pet. Hyena or cat?"
Needs lot of additional information:
\(\Rightarrow\)needs an extensive ontology.
But also the point of the question is fuzzy, answering needs commonsense.
LLMs already have commonsense grounded in them.
Formal solvers for language is not scalable
- Is a hyena legal to keep in the US?
- Is a hyena considered a pet?
- Is a hyena dangerous?

Method idea: merge LLMs with formal solvers
- LLMs: world knowledge for informal reasoning
- Formal solvers: logical consistency
1. Formal solver chooses which constraints satisfy, e.g .:
[entree] and [side] are vegetarian. [entree] is heavy. [side] is light.
2. LLM:
[entree] is "Falafel".
[side] is "Salad".
First simplify, then solve
Find vegetarian entree and side.
If the entree is heavy then the side is light.
Query:
Constraint-explicit:
[entree] and [side] are vegetarian.
IF [entree] is heavy THEN [side] is light.
\(\rightarrow \) Constraint Satisfiability Problem (CSP) in NL
Can we reliably use LLMs for Constraint Satisfiability Problems?
For evaluation:
- Proposed a new benchmark
- Finding a set of \(n\) objects which satisfy \(m\) constraints in the prompt
- Constraints both hard and commonsense
The LLM replies by yielding \(n\) items from a list of items \(\mathcal{V}\).
\(\Rightarrow\) Focus on performance at inference time
Open-weight: is the LLM loss aligned with accuracy?
Prompt: \(T_{1, ... ,m} = T(c_1, ... , c_m)\), \(c_i(x_1,...,x_n)\)
Human: [x_1] and [x_2] are vegetarian. [x_1] is high in calories.
LLM: \(\underset{x_1,x_2\in\mathcal{V}}{\min}-\log p(x_1,x_2|T_{1,...,m})\)
Answer: [x_1] is "rice".[x_2] is "salad".
Instead of:
Answer: [x_1] is "Falafel". [x_2] is "salad".
Failure can come from relying on spurious correlations between input and pre-training corpus (Token Bias).
Removing Token Bias
\(\rightarrow\)can be caused by relying on position / value of tokens in the prompt or in the answer
\(\rightarrow\) instead of truly answering the question
Solution: to mitigate Token Bias, we reweight the logits \(-\log p(x_1,x_2|T_{1,...,m})\)
Metric: accuracy of smallest-loss solution \((x_1,x_2)\) over satisfying the \(m\) prompt constraints (%)
Results:
Poor base performance \(\sim 50\%\), LlaMA-3.1-7B-Instruct.
We can improve by 10-20% (relative terms).
Close-weight models
- Stronger models
- 100% performance on custom benchmark
- Need to scale up also the task difficulty
- No access to logits: just prompt the model!
Rewriting as Constraint Satisfiability Problem:
The sum of the prices for 7 people of [transportation_1][breakfast_1], [lunch_1], [dinner_1], [accommodation_1], ... , [accommodation_3] does not exceed 30,200.
[accommodation_1], [accommodation_2], [accommodation_3] must be suited for 7 people.
TravelPlanner: benchmark for real-world planning
with Language Agents
Query example (challenging):
Could you create a travel plan for 7 people from Ithaca to Charlotte spanning 3 days, from March 8th to March 14th, 2022, with a budget of $30,200?
The sum of the prices for 7 people of [transportation_1][breakfast_1], [lunch_1], [dinner_1], [accommodation_1], ... , [accommodation_3] does not exceed 30,200.
[accommodation_1], [accommodation_2], [accommodation_3] must be suited for 7 people.
Travel Plan:
Day 1:
[Current City_1]: from Ithaca to Charlotte
[Transportation_1]: Flight Number: F3633413...
[Breakfast_1]: Nagaland's Kitchen, Charlotte
....
LLM Replies
Metrics: pass rate over satisfying all constraints (%)
Results

| Method | Pass rate (%) | Num calls (avg) |
|---|---|---|
| Direct prompting | 2.8 | 1 |
| CoT | 2.8 | 1 |
| Ours | 6.1 | 1 |
| Ours +self ref. | 7.2 | 2.5 |
Method: explicit constraints + self-refinement scheme
\(\Rightarrow\) We can improve Claude of more than 200%!
From 3% to 7%
Model: Claude 3.5 Sonnet
We propose a method to use LLMs as solvers for constrained language problems (CSP), in tandem with formal solvers. In TravelPlanner, we go from 2.8% to 7.2%.
Conclusions
- Constrained to problems that can be formalized as constraints over variables. Leaving out e.g. factual queries:
- Is dog an animal?
- Relying on the auto-formalization: fine-tuned model.
- Future work should integrate the formal solver
- Leveraging rewriting problems as CSPs:
- Inference: few shots
- Post -training: (i) reasoning traces (ii) reward for format and constraints satisfiability
Limitations and Future steps
Thank you!

TravelPlanner constraints

Claude 3.5 Sonnet
\(x+y =3\)
IF \(x > 2\):
\(y = 0\)
1. SAT solver chooses which statements satisfy, e.g . :
\(x+y = 3\) AND \(x> 2\) AND \(y= 0\)
2. Theory solver:
\(x=3\), \(y = 0\)
SMT solvers first simplify, then solve
Three problems:
1. Use a critic aligned with truth of language \(\Rightarrow\) LLM
2. How to combine the constraints
3. How to sample.
How to implement the theory solver of language?
"[entree] and [side] are vegetarian"
...
"[side] is heavy"
\( \left\{ \begin{aligned} L[c_1(x_1, \ldots, x_n)] \\ \,\\ L[c_m(x_1, \ldots, x_n)] \end{aligned} \right.\)
...
Toy dataset: Meal Planning
Involves finding
\(n=2\) dishes based on \(m\) constraints, related to \(m\) food attributes.
Human: [x_1] and [x_2] are vegetarian.
Assistant: [x_1] and [x_2] are 'Roasted Potatoes' ...
The LLM replies by looking over a list
"low in calories": true,
of annotated dishes.

By removing the loss of the tokens of \((x_1,x_2)\)
\(T_{1, ... ,m}\)={description task, few shots to find 2 variables, \(c_1\), ... , \(c_m\)}
\(T_0\) = {description task, few shots to find 2 variables}
Removing token bias
Further removing token bias by symmetrizing over the order of \(m\) constraints and \(n\) variables
\(\Rightarrow\)\(\min_{x_1, x_2} -\log \frac{p(x_1, x_2 \mid T_1, \ldots, T_m)}{p(x_1, x_2 \mid T_0)}\)
Advice: align \(T_0\) with \(T_{1, ... ,m}\) as much as possible !!
"Find a first and second course without pork meat. The first course should be from Asian cuisine, and the second from Italian cuisine. If the first course is light in calories, the second should be heavy, and vice versa. If the first course is steamed, the second must also be steamed"
Failure:
"Vegetable dumplings (steamed)"
"Eggplant Parmigiana (baked)"
Costumer benefit
Answers more consistent with questions, increasing trust
[Claude 3 Sonnet]
"[first_course] and [second_course] are dishes without pork meat. If the calories of [first_course] are light, then the calories of [second_course] should be heavy, and vice versa if the calories of [first_course] are heavy, the calories of [second_course]
should be light. [first_course] must be part of the Asian cuisine. [second_course] must be part of the Italian cuisine. If [first_course] is steamed, then [second_course] must also be steamed."
Costumer benefit
Answers more consistent with questions, increasing trust
Correct:
"Vegetable dumplings (steamed)"
"Steamed Cheese and Spinach Ravioli"
[Claude 3 Sonnet]
PhD in AI: explaining the success of ML
- Machine learning is highly effective across various tasks
- Scaling laws: More training data leads to better performance
Curse of dimensionality occurs when learning structureless data in high dimension \(d\):
- Slow decay: \(\beta=1/d\)
- Number of training data to learn is exponential in \(d\).

- Image Classification: \(\beta=\,0.3\,-\,0.5\)
- Speech Recognition: \(\beta\approx\,0.3\)
- Language Modeling: \(\beta\approx\,0.1\)
VS
\(\varepsilon\sim P^{-\beta}\)
\(\Rightarrow\) Data must be structured and
Machine Learning should capture such structure.
Key questions motivating this thesis:
- What constitutes a learnable structure?
- How does Machine Learning exploit it?
- How many training points are required?
Data must be Structured
Reducing complexity with depth

Deep networks build increasingly abstract representations with depth (also in brain)
- How many training points are needed?
- Why are these representations effective?
Intuition: reduces complexity of the task, ultimately beating curse of dimensionality.
- Which irrelevant information is lost ?

Two ways for losing information
by learning invariances


Discrete
Continuous
[Zeiler and Fergus 14, Yosinski 15, Olah 17, Doimo 20,
Van Essen 83, Grill-Spector 04]
[Shwartz-Ziv and Tishby 17, Ansuini 19, Recanatesi 19, ]
[Bruna and Mallat 13, Mallat 16, Petrini 21]
Hierarchical structure
- Hierarchical representations simplify the task
- Do deep hierarchical representations exploit the hierarchical structure of data?

How many training points?
Quantitative predictions in a model of data

sofa
[Chomsky 1965]
[Grenander 1996]
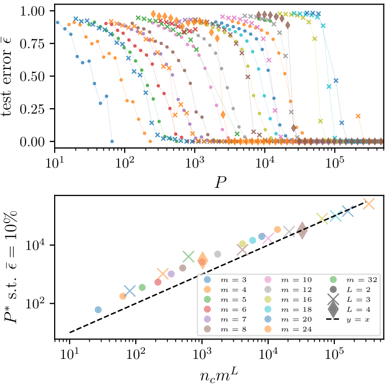
Random Hierarchy Model

- Classification task with \(n_c\) classes
- Generative model: label generates a patch of features
- Patches chosen randomly from \(m\) different random choices, called synonyms
- Generation iterated \(L\) times with a fixed tree topology.
- Number of data: exponential in \(d\), memorization not practical.
Deep networks learn with a number of data polynomial in the \(d\)

\(P^*\sim n_c m^L\)

How deep networks learn the hierarchy?


- Intuition: build a hierarchical representation mirroring the hierarchical structure.
- This representation is invariant to exchange of synonyms.
Takeaways
- Deep networks learn hierarchical tasks with a number of data polynomial in the input dimension
- They do so by developing internal representations that learn the hierarchical structure layer by layer
Application: generating novel data by probing hierarchical structure

- Goal: generate new data from existing ones
- At different levels of abstraction

Generative technique:
- Diffusion models: add noise + denoise
- Scale of change/features level depends on the noise amount
- Prediction: intermediate level of noise at which this scale is maximal (phase transition)
- Validated on images and text.
- What about proteins?
Diffusion on protein sequences
- Model for Discrete Diffusion: EvoDiff-MSA
- Dataset: J-Domain proteins


- Note: Can be used to generate Intrinsically Disordered Regions (IDR) conditioning on structured regions

- Generate new sequences by adding noise to protein sequence+denoising
- Do not find a phase transition in the amount of change wrt noise
- Uniform change along whole sequence
- Not consistent with hierarchical structure
-
Future investigations:
- Better model
- Structure 3D space

Are protein sequences hierarchical?
Umberto Tomasini - Mistral III - LLM
By umberto_tomasini
Umberto Tomasini - Mistral III - LLM
- 119