Cálculo Multivariable
Unidad 1: Ecuaciones Paramétricas y coordenadas polares.
Ing. Oscar Alonso Rosete Beas
Semana 10 Agosto Rev:2 ciclo 2020-2
oscarrosete.com
oscarrosete.com

Agenda
1.1 Introducción y encuadre del curso.
1.2 Ecuaciones paramétricas, definición y aplicación a las formas cicloidales y cónicas.
1.3 Trazado y descripción de situaciones que requieran coordenadas paramétricas, longitud de
arco.
1.4 Coordenadas polares: definición, trazado y curvas notables, cónicas.
1.5 Cálculo de áreas empleando coordenadas polares.
Unidad 1: Ecuaciones Paramétricas y coordenadas polares.
oscarrosete.com
Unidad 1
oscarrosete.com

Escalares
Muchas cantidades en geometría y física, como el área, el volumen, la temperatura, la masa y el tiempo, se pueden caracterizar por medio de un solo número real en unidades de medicion apropiadas.
Estas cantidades se llaman escalares, y al número real se le llama escalar.
oscarrosete.com

Escalares
Escalares:
-Cuentan con magnitud
-No tienen una dirección asociada
Ejemplos:
longitud
tiempo
masa
rapidez
densidad
temperatura
oscarrosete.com


Componentes de un vector
Para representar cantidades, como la fuerza, la velocidad y la aceleración que tienen magnitud y dirección y no pueden caracterizarse completamente por medio de un solo número real se utiliza un segmento de recta dirigido.
oscarrosete.com

Segmento de recta dirigido
El segmento de recta dirigido PQ tiene como punto inicial P y como punto final Q, y su longitud (o magnitud) se denota por
oscarrosete.com

PQ
Componentes de un vector
Vectores:
-Cuentan con magnitud
-Cuentan con una dirección asociada
Ejemplos:
Fuerza
Momento
Velocidad
aceleracion
oscarrosete.com

Componentes de un vector
Los segmentos de recta dirigidos que tienen la misma longitud y direccion son equivalentes.
El conjunto de todos los segmentos de recta dirigidos que son equivalentes a un segmento de recta dado PQ es un vector en el plano y se denota por:
oscarrosete.com
v=PQ
Componentes de un vector
En los libros, los vectores se denotan normalmente con letras minúsculas, en negrita, como u, v y w.
Cuando se escriben a mano, se suelen denotar por medio de letras con una flecha sobre ellas, como:
oscarrosete.com
u
v
u
w
Ejemplo 1
Sea v el vector representado por el segmento dirigido que va de (0,0) a (3,2), y sea u el vector representado por el segmento dirigido que va de (1,2) a (4,4). Demuestre que v y u son equivalentes.
u=RS
v=PQ
oscarrosete.com

Posición estándar o canónica
El segmento de recta dirigido cuyo punto inicial es el origen a menudo se considera el representante mas adecuado de un conjunto de segmentos de rectas dirigidos equivalentes.
Se dice que esta representacion de v esta en la posicion canónica o estándar.
oscarrosete.com

El segmento de recto cuyo punto inicial es el origen puede representarse de manera única por medio de las coordenadas de su punto final Q (v1, v2)
Vector 0
Dado que las coordenadas v1 y v2 son las componentes de v. si el punto inicial y el punto final estan en el orgien, entonces v es el vector cero (o vector nulo) y se denota por 0=<0,0>.
oscarrosete.com
Procedimientos relevantes
Dos vectores u=<u1,u2> y v=<v1,v2> son iguales si y solo si u1=v1 u2=v2.
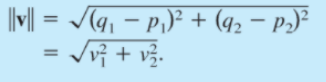
1.Si P (p1,p2) y Q (q1,q2) son los puntos inicial y final de un segmento de recta dirigido, el vector v representado por PQ, dado mediante sus componentes, es:
<v1,v2>=<q1-p1, q2-p2>
Ademas de la formula de distancia es posible ver que la longitud (o magnitud de v es):
oscarrosete.com

Si v=<v1,v2>, v puede representarse por el segmento de recta dirigido, en la posición canónica o estándar, que va de P (0,0) a Q (v1,v2).
A la longitud de v tambien se le llama norma de v.
=1, v es un vector unitario.
=0 si y solo si v es el vector 0.
oscarrosete.com
Procedimientos relevantes
v
v
Determine los componentes y la longitud del vector v que tiene el punto inicial (3,-7) y el punto final (-2,5).
oscarrosete.com

Ejemplo ilustrativo
Análisis gráfico
oscarrosete.com

Geométricamente, el múltiplo escalar de un vector v y un escalar c es el vector que tiene |c| veces la longitud de v, como se muestra en la figura. Si c es positivo, cv tiene la misma direccion que v. Si c es negativo, cv tiene direccion opuesta.
Análisis gráfico
oscarrosete.com
La suma de dos vectores puede representar geométricamente colocando los vectores (sin cambiar sus magnitudes o sus direcciones), de manera que el punto inicial de uno coincida con el punto final del otro.
El vector u + v es llamado el vector resultante, es la diagnoal de un paralelogramo que tiene u y v como lados adyacentes.



Análisis gráfico
oscarrosete.com
Interpretación geométrica u - v
Mostrando su vector resultante.

Ejemplo ilustrativo
oscarrosete.com
Dados v=<-2,5> y w=<3,4>, encuentre cada uno de los vectores.
a. 1/2 v
b. w-v
c. v+2w
Ejercicios alumnos 1
En los ejercicios, halle los vectores u y v cuyos puntos inicial y final se dan. Demuestre que u y v son equivalentes.
oscarrosete.com


Gráfica manual de u y v
Gráfica con software de u y v
Calculo Multivariable Semana 10 Agosto
By Oscar Rosete
Calculo Multivariable Semana 10 Agosto
- 574
