IPS Meeting 2024 |  NTU Singapore | 2024/09/24

Jeanne Colbois

NUS & Majulab

 Interaction-Driven Instabilities

in the Random-Field XXZ Chain

Nicolas Laflorencie

Laboratoire de Physique Théorique

Toulouse, France

Fabien Alet

1

COLBOIS | INTERACTION DRIVEN INSTABILITIES | IPS MEETING | 09.2024

\(|\psi(x)|^2\)

Anderson localization

1

Jump

Random on-site

energy

\(|\psi(x)|^2\)

Anderson, Phys. Rev. 109, 1492 (1958)

Mott & Twose, Advances in Physics, 10 (1961)

\mathcal{H}_f = \sum_{i} \frac{J}{2}\left({\color{lightgreen}c_i^{\dagger} c_{i+1}^{\vphantom{\dagger}} + c_{i+1}^{\dagger}c_i^{\vphantom{\dagger}}}\right) -\sum_i{\color{gray}h_i n_i}

\(|\psi(x)|^2\)

\(\xi(h, E)\)

\(h\)

\(h\)

 \(\forall h , \, \forall E \) : localization !!

 (1D, NN)

\mathcal{P}(h_i)

\(-h\)

\(h\)

COLBOIS | INTERACTION DRIVEN INSTABILITIES | IPS MEETING | 09.2024

Anderson localization

2

COLBOIS | INTERACTION DRIVEN INSTABILITIES | IPS MEETING | 09.2024

"many-body" Anderson localization :

stable against interactions?

2

COLBOIS | INTERACTION DRIVEN INSTABILITIES | IPS MEETING | 09.2024

"many-body" Anderson localization :

stable against interactions?

See Anderson, 1958

"An example of a real physical system with an infinite number of degrees of freedom [...] in which the approach to equilibrium is simply impossible."

2

COLBOIS | INTERACTION DRIVEN INSTABILITIES | IPS MEETING | 09.2024

"many-body" Anderson localization :

stable against interactions?

See Anderson, 1958

Effect of interactions?

1. Many-body Anderson localization in \(U(1)\) symmetric  spin chain

 

2. Ergodic instability at weak disorder

 

"An example of a real physical system with an infinite number of degrees of freedom [...] in which the approach to equilibrium is simply impossible."

C.f. Basko, Aleiner, Altshuler (2006) and many, many others

1. From single- to many-body Anderson localization

COLBOIS | INTERACTION DRIVEN INSTABILITIES | IPS MEETING | 09.2024

From fermions to spins

\mathcal{H}_f = \sum_{i} \frac{J}{2}\left({\color{lightgreen}c_i^{\dagger} c_{i+1}^{\vphantom{\dagger}} + c_{i+1}^{\dagger}c_i^{\vphantom{\dagger}}}\right) -\sum_i{\color{gray}h_i n_i}

P. Jordan and E. Wigner,  Z. Physik 47, 631–651 (1928)

Anderson, Phys. Rev. 109, 1492 (1958)

3

COLBOIS | INTERACTION DRIVEN INSTABILITIES | IPS MEETING | 09.2024

1 fermion

Charge is conserved

From fermions to spins

\mathcal{H}_f = \sum_{i} \frac{J}{2}\left({\color{lightgreen}c_i^{\dagger} c_{i+1}^{\vphantom{\dagger}} + c_{i+1}^{\dagger}c_i^{\vphantom{\dagger}}}\right) -\sum_i{\color{gray}h_i n_i}

P. Jordan and E. Wigner,  Z. Physik 47, 631–651 (1928)

Anderson, Phys. Rev. 109, 1492 (1958)

S^{x,y,z} = \frac{1}{2} \sigma^{x,y,z}

3

Jordan-Wigner

COLBOIS | INTERACTION DRIVEN INSTABILITIES | IPS MEETING | 09.2024

Magnetic field

\mathcal{H} = \sum_{i} \frac{J}{2}\left({\color{lightgreen}S_i^{+} S_{i+1}^{-} + S_i^{-} S_{i+1}^{+}} \right) - \sum_{i} {\color{gray} h_i S_i^z} {\color{white}+ (E_0 + \mathcal{H}_{\mathrm{BC}})}

Spin-flip

1 fermion

1 spin up

Magnetization is conserved

Charge is conserved

\mathcal{P}(h_i)

\(-h\)

\(h\)

P. Jordan and E. Wigner,  Z. Physik 47, 631–651 (1928)

mANY-BODY aNDERSON LOCALIZATION

4

\mathcal{H}_f = \sum_{i} \frac{J}{2}\left({\color{lightgreen}c_i^{\dagger} c_{i+1}^{\vphantom{\dagger}} + c_{i+1}^{\dagger}c_i^{\vphantom{\dagger}}}\right) -\sum_i{\color{gray}h_i n_i}

Jordan-Wigner

Anderson, Phys. Rev. 109, 1492 (1958)

COLBOIS | INTERACTION DRIVEN INSTABILITIES | IPS MEETING | 09.2024

\(L/2\) fermions

\(\sum_i S_i^{z} = 0\)

Magnetization is conserved

Charge is conserved

\mathcal{P}(h_i)

\(-h\)

\(h\)

Magnetic field

\mathcal{H} = \sum_{i} \frac{J}{2}\left({\color{lightgreen}S_i^{+} S_{i+1}^{-} + S_i^{-} S_{i+1}^{+}} \right) - \sum_{i} {\color{gray} h_i S_i^z} {\color{white}+ (E_0 + \mathcal{H}_{\mathrm{BC}})}

Spin-flip

mANY-BODY aNDERSON LOCALIZATION

Jordan-Wigner

\(L/2\) fermions

\(\sum_i S_i^{z} = 0\)

\mathcal{H}_f = \sum_{i} \frac{J}{2}\left({\color{lightgreen}c_i^{\dagger} c_{i+1}^{\vphantom{\dagger}} + c_{i+1}^{\dagger}c_i^{\vphantom{\dagger}}}\right) -\sum_i{\color{gray}h_i n_i}

Magnetic field

\mathcal{H} = \sum_{i} \frac{J}{2}\left({\color{lightgreen}S_i^{+} S_{i+1}^{-} + S_i^{-} S_{i+1}^{+}} \right) - \sum_{i} {\color{gray} h_i S_i^z} {\color{white}+ (E_0 + \mathcal{H}_{\mathrm{BC}})}

Spin-flip

Magnetization is conserved

Charge is conserved

P. Jordan and E. Wigner,  Z. Physik 47, 631–651 (1928)

Anderson, Phys. Rev. 109, 1492 (1958)

4

COLBOIS | INTERACTION DRIVEN INSTABILITIES | IPS MEETING | 09.2024

\mathcal{P}(h_i)

\(-h\)

\(h\)

5

Many-body lOCALIZATION LENGTH?

COLBOIS | INTERACTION DRIVEN INSTABILITIES | IPS MEETING | 09.2024

Crowley and Chandran, PRR (2020), J. C., N. Laflorencie, PRB (2023)

\(\epsilon\)

\(\xi(\epsilon, W)\)

Many-body lOCALIZATION LENGTH?

COLBOIS | INTERACTION DRIVEN INSTABILITIES | IPS MEETING | 09.2024

5

Crowley and Chandran, PRR (2020), J. C., N. Laflorencie, PRB (2023)

\(\epsilon\)

\(\xi(\epsilon, W)\)

Many-body lOCALIZATION LENGTH?

COLBOIS | INTERACTION DRIVEN INSTABILITIES | IPS MEETING | 09.2024

\(h\)

5

Crowley and Chandran, PRR (2020), J. C., N. Laflorencie, PRB (2023)

\(\epsilon\)

\(\xi(\epsilon, W)\)

\(h\)

\xi \ll 1
h \gg 2
\xi = \frac{1}{\ln\left(1+\left(\frac{h}{h_0}\right)^2 \right)}

Many-body lOCALIZATION LENGTH?

COLBOIS | INTERACTION DRIVEN INSTABILITIES | IPS MEETING | 09.2024

5

Crowley and Chandran, PRR (2020), J. C., N. Laflorencie, PRB (2023)

Averaging over the density of states

Correlation lengths

COLBOIS | INTERACTION DRIVEN INSTABILITIES | IPS MEETING | 09.2024

6

 \(C_{ij}^{\alpha\alpha} = \langle S_i^{\alpha} S_{j}^{\alpha} \rangle  - \langle S_i^{\alpha} \rangle \langle S_{j}^{\alpha} \rangle\)

Correlation lengths

COLBOIS | INTERACTION DRIVEN INSTABILITIES | IPS MEETING | 09.2024

 \(C_{ij}^{\alpha\alpha} = \langle S_i^{\alpha} S_{j}^{\alpha} \rangle  - \langle S_i^{\alpha} \rangle \langle S_{j}^{\alpha} \rangle\)

Typical value

\alpha = z
\alpha = x, y

JC, F. Alet, N. Laflorencie, PRL 133, 116502 (2024); JC, F. Alet. N. Laflorencie, in preparation.

Disorder

average

6

Correlation lengths

COLBOIS | INTERACTION DRIVEN INSTABILITIES | IPS MEETING | 09.2024

 \(C_{ij}^{\alpha\alpha} = \langle S_i^{\alpha} S_{j}^{\alpha} \rangle  - \langle S_i^{\alpha} \rangle \langle S_{j}^{\alpha} \rangle\)

Typical value

\alpha = z
\alpha = x, y

JC, F. Alet, N. Laflorencie, PRL 133, 116502 (2024); JC, F. Alet. N. Laflorencie, in preparation.

Disorder

average

Flattening due to PBC

6

Correlation lengths

COLBOIS | INTERACTION DRIVEN INSTABILITIES | IPS MEETING | 09.2024

 \(C_{ij}^{\alpha\alpha} = \langle S_i^{\alpha} S_{j}^{\alpha} \rangle  - \langle S_i^{\alpha} \rangle \langle S_{j}^{\alpha} \rangle\)

Typical value

Flattening due to PBC

Bulk & mid-chain : same correlation length

\alpha = z
\alpha = x, y

JC, F. Alet, N. Laflorencie, PRL 133, 116502 (2024); JC, F. Alet. N. Laflorencie, in preparation.

Disorder

average

6

Correlation lengths

COLBOIS | INTERACTION DRIVEN INSTABILITIES | IPS MEETING | 09.2024

 \(C_{ij}^{\alpha\alpha} = \langle S_i^{\alpha} S_{j}^{\alpha} \rangle  - \langle S_i^{\alpha} \rangle \langle S_{j}^{\alpha} \rangle\)

Typical value

Flattening due to PBC

Bulk & mid-chain : same correlation length

Similar trends

\(\xi_x \approx 2 \xi_z\)

\alpha = z
\alpha = x, y

JC, F. Alet, N. Laflorencie, PRL 133, 116502 (2024); JC, F. Alet. N. Laflorencie, in preparation.

Disorder

average

6

J. C., N. Laflorencie, PRB (2023)

7

COLBOIS | INTERACTION DRIVEN INSTABILITIES | IPS MEETING | 09.2024

A simple many-body effect : Maximal magnetization?

J. C., N. Laflorencie, PRB (2023)

COLBOIS | INTERACTION DRIVEN INSTABILITIES | IPS MEETING | 09.2024

Some eigenstate

\(|\langle S_i^{z}\rangle| < 1/2\)

7

A simple many-body effect : Maximal magnetization?

Some eigenstate

J. C., N. Laflorencie, PRB (2023)

COLBOIS | INTERACTION DRIVEN INSTABILITIES | IPS MEETING | 09.2024

A simple many-body effect : Maximal magnetization?

\delta_i = 1/2 -| \langle S_i^z \rangle|

\(|\langle S_i^{z}\rangle| < 1/2\)

7

Some eigenstate

J. C., N. Laflorencie, PRB (2023)

\(|\langle S_i^{z}\rangle| < 1/2\)

COLBOIS | INTERACTION DRIVEN INSTABILITIES | IPS MEETING | 09.2024

\delta_i = 1/2 -| \langle S_i^z \rangle|
\delta_{\rm min} = 1/2 -\max_{i}| \langle S_i^z \rangle|

8

A simple many-body effect : Maximal magnetization?

Chain breaking

9

Dupont, Macé, Laflorencie, PRB 100, 134201, (2019)

Laflorencie, Lemarié, Macé, PRR 2, 042033(R), (2020)

JC, Laflorencie, PRB 108, 144206 (2023)

COLBOIS | INTERACTION DRIVEN INSTABILITIES | IPS MEETING | 09.2024

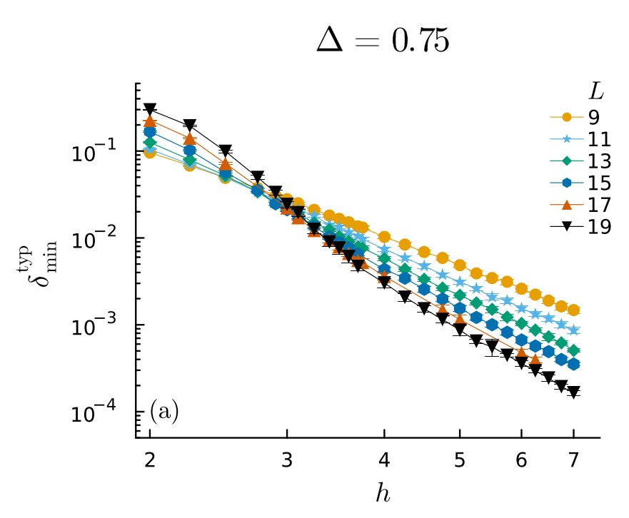
Toy model:

\delta^{\mathrm{typ}}_{\min} \approx L^{-\frac{1}{2\xi \ln2}}
\delta_{\rm min}^{\rm typ} = \exp(\overline{\ln \delta_{\min}})
\delta_{\rm min} = 1/2 -\max_{i}| \langle S_i^z \rangle|

SPIN FREEZING !

CHAIN BREAKING !

Chain breaking

Dupont, Macé, Laflorencie, PRB 100, 134201, (2019)

Laflorencie, Lemarié, Macé, PRR 2, 042033(R), (2020)

JC, Laflorencie, PRB 108, 144206 (2023)

COLBOIS | INTERACTION DRIVEN INSTABILITIES | IPS MEETING | 09.2024

\delta_{\rm min}^{\rm typ} = \exp(\overline{\ln \delta_{\min}})
\delta_{\rm min} = 1/2 -\max_{i}| \langle S_i^z \rangle|
\quad h
\delta^{\mathrm{typ}}_{\min} \approx L^{-\gamma}

512 sites

9

Delocalized:

 

 

\delta^{\mathrm{typ}}_{\min} \rightarrow \mathrm{const}

2. Interactions

rOLE OF INTERACTIONS

10

\mathcal{H}_f = \sum_{i} \frac{J}{2}\left({\color{lightgreen}c_i^{\dagger} c_{i+1}^{\vphantom{\dagger}} + c_{i+1}^{\dagger}c_i^{\vphantom{\dagger}}}\right) -\sum_i{\color{gray}h_i n_i}
\mathcal{H} = \sum_{i} \frac{J}{2}\left({\color{lightgreen}S_i^{+} S_{i+1}^{-} + S_i^{-} S_{i+1}^{+}} \right) - \sum_{i} {\color{gray} h_i S_i^z} {\color{black}+ E_0 + \mathcal{H}_{\mathrm{BC}}}

COLBOIS | INTERACTION DRIVEN INSTABILITIES | IPS MEETING | 09.2024

rOLE OF INTERACTIONS

\mathcal{H}_f = \sum_{i} \frac{J}{2}\left({\color{lightgreen}c_i^{\dagger} c_{i+1}^{\vphantom{\dagger}} + c_{i+1}^{\dagger}c_i^{\vphantom{\dagger}}}+{\color{salmon}2 \Delta n_i n_{i+1}} \right) -\sum_i{\color{gray}h_i n_i}
\mathcal{H} = \sum_{i} \frac{J}{2}\left({\color{lightgreen}S_i^{+} S_{i+1}^{-} + S_i^{-} S_{i+1}^{+}} + {\color{salmon} 2\Delta S_i^z S_{i+1}^z}\right) - \sum_{i} {\color{gray} h_i S_i^z} {\color{black}+ E_0 + \mathcal{H}_{\mathrm{BC}}}

Attraction /Repulsion

Ising

COLBOIS | INTERACTION DRIVEN INSTABILITIES | IPS MEETING | 09.2024

10

rOLE OF INTERACTIONS

\mathcal{H}_f = \sum_{i} \frac{J}{2}\left({\color{lightgreen}c_i^{\dagger} c_{i+1}^{\vphantom{\dagger}} + c_{i+1}^{\dagger}c_i^{\vphantom{\dagger}}}+{\color{salmon}2 \Delta n_i n_{i+1}} \right) -\sum_i{\color{gray}h_i n_i}
\mathcal{H} = \sum_{i} \frac{J}{2}\left({\color{lightgreen}S_i^{+} S_{i+1}^{-} + S_i^{-} S_{i+1}^{+}} + {\color{salmon} 2\Delta S_i^z S_{i+1}^z}\right) - \sum_{i} {\color{gray} h_i S_i^z} {\color{black}+ E_0 + \mathcal{H}_{\mathrm{BC}}}

Polynomial \(\rightarrow\) Exponential

Simulations of MBL lattice models | Fabien Alet | Cargese

Attraction /Repulsion

Ising

COLBOIS | INTERACTION DRIVEN INSTABILITIES | IPS MEETING | 09.2024

See for instance Pietracaprina et al., SciPost Phys. 5, 045

10

rOLE OF INTERACTIONS

\mathcal{H}_f = \sum_{i} \frac{J}{2}\left({\color{lightgreen}c_i^{\dagger} c_{i+1}^{\vphantom{\dagger}} + c_{i+1}^{\dagger}c_i^{\vphantom{\dagger}}}+{\color{salmon}2 \Delta n_i n_{i+1}} \right) -\sum_i{\color{gray}h_i n_i}
\mathcal{H} = \sum_{i} \frac{J}{2}\left({\color{lightgreen}S_i^{+} S_{i+1}^{-} + S_i^{-} S_{i+1}^{+}} + {\color{salmon} 2\Delta S_i^z S_{i+1}^z}\right) - \sum_{i} {\color{gray} h_i S_i^z} {\color{black}+ E_0 + \mathcal{H}_{\mathrm{BC}}}

Attraction /Repulsion

Ising

COLBOIS | INTERACTION DRIVEN INSTABILITIES | IPS MEETING | 09.2024

Polynomial \(\rightarrow\) Exponential

Simulations of MBL lattice models | Fabien Alet | Cargese

See for instance Pietracaprina et al., SciPost Phys. 5, 045

\mathcal{H} = \sum_m \epsilon_m b_m^{\dagger} b_m + \sum_{j,k,l,m} {\color{#ff9900}V_{j,k,l,m} b_j^{\dagger} b_k^{\dagger} b_l b_m}

In the Anderson basis: 

Anderson orbitals \(m\)

Tendency to delocalize

10

Ground-state : well understood

11

COLBOIS | INTERACTION DRIVEN INSTABILITIES | IPS MEETING | 09.2024

Anderson localized

(insulator)

disorder \(h \)

Interaction \(\Delta\)

The question

C.f. Basko, Aleiner, Altshuler (2006) and many, many others

Recent review : Sierant et al., arXiv:2403.07111

High energy eigenstates!!

COLBOIS | INTERACTION DRIVEN INSTABILITIES | IPS MEETING | 09.2024

Finite-size numerics show a transition e.g. in extreme magnetization

Anderson localized

(insulator)

disorder \(h \)

Ergodic

("metal") 

Interaction \(\Delta\)

Many-body localized

The question

Other probes: gap ratio, fidelity, participation entropy, entanglement entropy...

11

C.f. Basko, Aleiner, Altshuler (2006) and many, many others

Recent review : Sierant et al., arXiv:2403.07111

High energy eigenstates!!

COLBOIS | INTERACTION DRIVEN INSTABILITIES | IPS MEETING | 09.2024

Finite-size numerics show a transition e.g. in extreme magnetization

Anderson localized

(insulator)

disorder \(h \)

Ergodic

("metal") 

Interaction \(\Delta\)

Many-body localized

The question

Other probes: gap ratio, fidelity, participation entropy, entanglement entropy...

11

C.f. Basko, Aleiner, Altshuler (2006) and many, many others

Recent review : Sierant et al., arXiv:2403.07111

\(\delta_{\min}^{\rm typ} \rightarrow 1/2\)

\(\delta_{\min}^{\rm typ} \rightarrow 0\)

High energy eigenstates!!

Recent review : Sierant et al., arXiv:2403.07111

 

  • Stability of MBL ?
  • Location of the transition ? (strong drifts)
  • Existence of an intermediate phase?
  • .....

Largely focused on

\(\Delta = 1\)

"Standard model"

12

COLBOIS | INTERACTION DRIVEN INSTABILITIES | IPS MEETING | 09.2024

The Debate

C.f. Basko, Aleiner, Altshuler (2006) and many, many others

High energy eigenstates!!

13

COLBOIS | INTERACTION DRIVEN INSTABILITIES | IPS MEETING | 09.2024

an old question

Anderson localized

(insulator)

disorder \(h \)

Ergodic

("metal") 

Interaction \(\Delta\)

Many-body localized

?

What happens at weak interactions?

Recent review : Sierant et al., arXiv:2403.07111

C.f. Basko, Aleiner, Altshuler (2006) and many, many others

Crowley and Chandran 2020

\(\delta_{\min} \rightarrow 1/2\)

\(\delta_{\min} \sim L^{-\gamma}\rightarrow 0\)

High energy eigenstates!!

(See also LeBlond et al., PRB 104 L201117 (2021), @ h = 0.5)

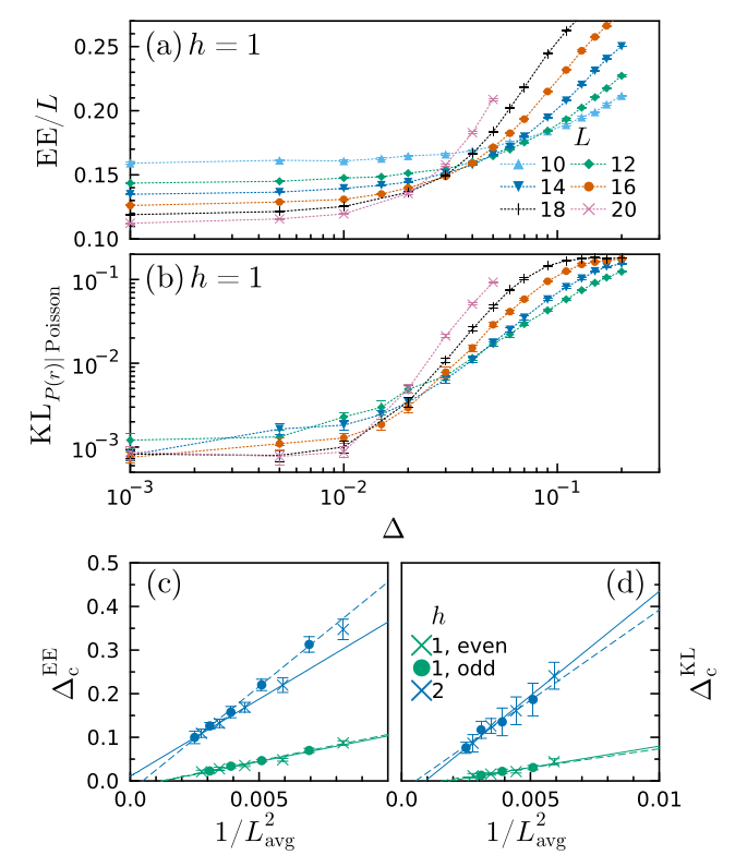
JC, F. Alet, N. Laflorencie, PRL 133, 116502 (2024)

COLBOIS | INTERACTION DRIVEN INSTABILITIES | IPS MEETING | 09.2024

\(\Delta/J\)

\(h/J \)

Anderson localized

(insulator)

1

0.75

0.5

0.25

0

0

1

2

3

4

5

6

7

8

9

10

\(\delta_{\min} \rightarrow 1/2\)

\(\delta_{\min} \sim L^{-\gamma}\rightarrow 0\)

14

Ergodic instability of Anderson localization

After extrapolation

High energy eigenstates!!

(See also LeBlond et al., PRB 104 L201117 (2021), @ h = 0.5;  Crowley and Chandran 2020 )

JC, F. Alet, N. Laflorencie, PRL 133, 116502 (2024)

COLBOIS | INTERACTION DRIVEN INSTABILITIES | IPS MEETING | 09.2024

\(\Delta/J\)

\(h/J \)

Anderson localized

(insulator)

1

0.75

0.5

0.25

0

0

1

2

3

4

5

6

7

8

9

10

\(\delta_{\min} \rightarrow 1/2\)

\(\delta_{\min} \sim L^{-\gamma}\rightarrow 0\)

14

Ergodic instability of Anderson localization

After extrapolation

High energy eigenstates!!

(See also LeBlond et al., PRB 104 L201117 (2021), @ h = 0.5)

JC, F. Alet, N. Laflorencie, PRL 133, 116502 (2024)

COLBOIS | INTERACTION DRIVEN INSTABILITIES | IPS MEETING | 09.2024

\(\Delta/J\)

\(h/J \)

Anderson localized

(insulator)

1

0.75

0.5

0.25

0

0

1

2

3

4

5

6

7

8

9

10

\(\delta_{\min} \rightarrow 1/2\)

\(\delta_{\min} \sim L^{-\gamma}\rightarrow 0\)

14

Ergodic instability of Anderson localization

After extrapolation

High energy eigenstates!!

Avalanche theory : An intuition

15

COLBOIS | INTERACTION DRIVEN INSTABILITIES | IPS MEETING | 09.2024

De Roeck & Huveneers 2017, Luitz, De Roeck & Huveneers 2017, Thiery et al 2018

Adapted from Szoldra et at (2024)

Rare regions of effective weak disorder will always happen in the limit of large systems.

 

COLBOIS | INTERACTION DRIVEN INSTABILITIES | IPS MEETING | 09.2024

De Roeck & Huveneers 2017, Luitz, De Roeck & Huveneers 2017, Thiery et al 2018

Adapted from Szoldra et at (2024)

Rare regions of effective weak disorder will always happen in the limit of large systems.

 

They are thermal.

 

Avalanche theory : An intuition

15

COLBOIS | INTERACTION DRIVEN INSTABILITIES | IPS MEETING | 09.2024

 

If LIOM characteristic length \(\zeta > \zeta_{\mathrm{av.}}\) :

runaway avalanche is triggered and the system thermalizes.

De Roeck & Huveneers 2017, Luitz, De Roeck & Huveneers 2017, Thiery et al 2018; Crowley and Chandran 2020

Adapted from Szoldra et at (2024)

Rare regions of effective weak disorder will always happen in the limit of large systems.

 

They are thermal.

 

Avalanche theory : An intuition

15

Ergodic instability : consequence of avalanche theory?

(See also LeBlond et al., PRB 104 L201117 (2021), @ h = 0.5)

16

COLBOIS | INTERACTION DRIVEN INSTABILITIES | IPS MEETING | 09.2024

JC, F. Alet, N. Laflorencie, PRL 133, 116502 (2024)

\(\Delta/J\)

\(h/J \)

Anderson localized

(insulator)

1

0.75

0.5

0.25

0

0

1

2

3

4

5

6

7

8

9

10

\(\delta_{\min} \rightarrow 1/2\)

\(\delta_{\min} \sim L^{-\gamma}\rightarrow 0\)

17

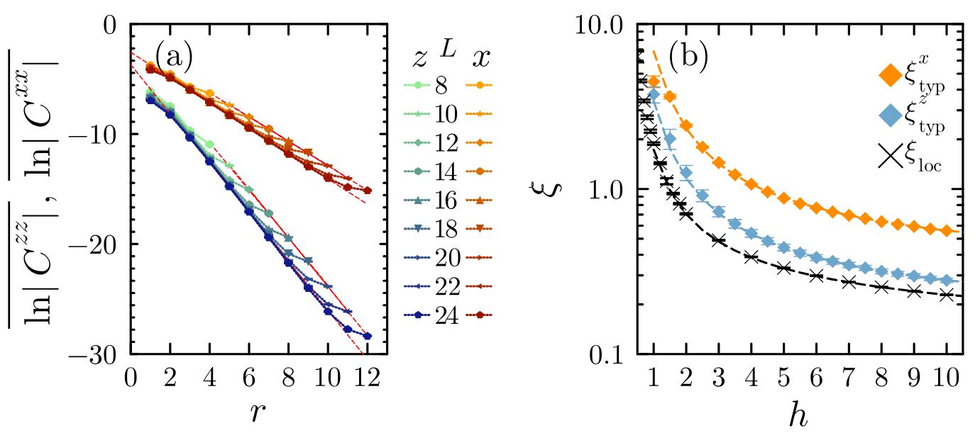
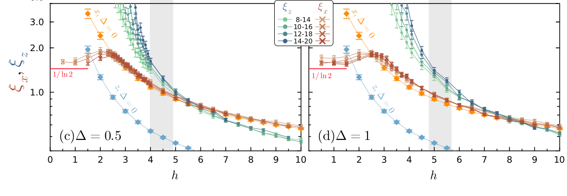
Spin-Spin correlations

COLBOIS | INTERACTION DRIVEN INSTABILITIES | IPS MEETING | 09.2024

AL

JC, F. Alet, N. Laflorencie, PRL 133, 116502 (2024); JC, F. Alet. N. Laflorencie, in preparation.

ETH

The longitudinal correlations decay as a power-law

The transverse still decay exponentially

18

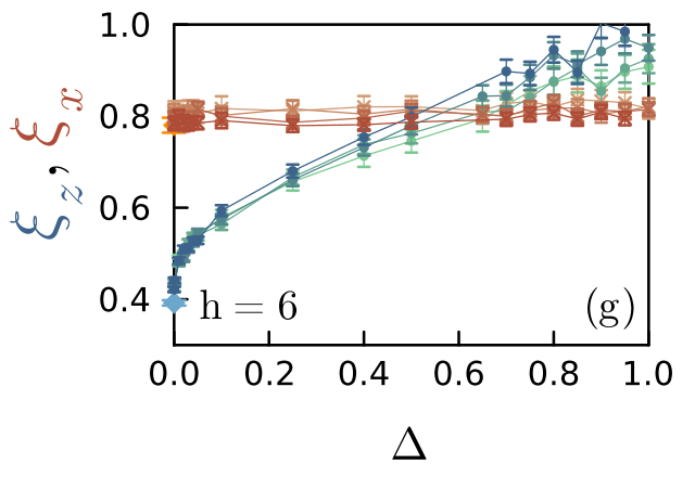
correlations At strong disorder

COLBOIS | INTERACTION DRIVEN INSTABILITIES | IPS MEETING | 09.2024

JC, F. Alet, N. Laflorencie, PRL 133, 116502 (2024); JC, F. Alet. N. Laflorencie, in preparation.

  • Fast growth of \(\xi_z \rightarrow \) crossing
  • Instability at strong interactions

1

0.75

0.5

0.25

0

0

1

2

3

4

5

6

7

8

9

10

\(\Delta/J\)

\(h/J \)

Instabilities in the spin-spin correlations

18

COLBOIS | INTERACTION DRIVEN INSTABILITIES | IPS MEETING | 09.2024

On the MBL side

JC, F. Alet, N. Laflorencie, PRL 133, 116502 (2024); JC, F. Alet. N. Laflorencie, in preparation.

Instabilities in the spin-spin correlations

COLBOIS | INTERACTION DRIVEN INSTABILITIES | IPS MEETING | 09.2024

On the MBL side

Does it stop?

JC, F. Alet, N. Laflorencie, PRL 133, 116502 (2024); JC, F. Alet. N. Laflorencie, in preparation.

18

tAKE-HOME MESSAGEs

CHAIN BREAKING!

disorder \(h \)

Interaction \(\Delta\)

@ High energy!

19

COLBOIS | INTERACTION DRIVEN INSTABILITIES | IPS MEETING | 09.2024

SPIN FREEZING!

Bonus slideS unlocked

Anderson vs MBL

\(L/2\) fermions

\(S_z = 0\)

|\Psi \rangle = | \left\{\phi_m, m \in {\color{#56B4E9}\mathrm{occ}} \right\}\rangle
\mathcal{H}_f = \sum_{i} \Bigl[\frac{J}{2}\left({\color{lightgreen}c_i^{\dagger} c_{i+1}^{\vphantom{\dagger}} + c_{i+1}^{\dagger}c_i^{\vphantom{\dagger}}} \right) -{\color{#76a5af}h_i n_i}\Bigr]
\epsilon_m
E_m

Anderson

No growth

of entanglement

J. H. Bardarson, F. Pollmann, and J. E. Moore, PRL 109, 017202 (2012)

M. Znidaric, T. Prosen, and P. Prelovsek PRB 77, 064426 (2008)

Log growth

of entanglement

Initial \(S^z\) basis random product state

+

TEBD

 

W = 5

W

Ergodic

MBL 

2016

Finite L

  • Finite-size scaling? Location of the transition?
  • Destabilization by ergodic bubbles even at strong disorder?
  • Immediate onset of quantum chaos? Intermediate phase(s)?

W

Ergodic

MBL phase/ regimes?

Prethermal

regime?

2023

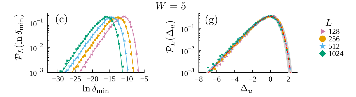
Extreme value statistics

\(L\) increases

Anderson chain / XX chain

Heisenberg chain

Fréchet

\(10^5 \) samples

\mathcal{P}(\delta) \overset{\delta \rightarrow 0}{\sim} A\delta^{\alpha}
\mathcal{P}(\ln\delta_{\min}) \rightarrow AL\delta_{\min}^{\alpha} \exp\left({-\frac{AL}{\alpha+1}\delta_{\min}^{\alpha+1}}\right)
\delta_{\mathrm{\min}}^{\mathrm{typ}}(L) \approx \left(\frac{A}{1+\alpha} L \right)^{-\frac{1}{1+\alpha}}
\Delta_u= (\alpha+1)(\ln\delta_{\min}- \ln\delta_{\min}^{\mathrm{typ}})

Fréchet

\(10^5 \) samples

\mathcal{P}(\delta) \overset{\delta \rightarrow 0}{\sim} A\delta^{\alpha}
\mathcal{P}(\ln\delta_{\min}) \rightarrow AL\delta_{\min}^{\alpha} \exp\left({-\frac{AL}{\alpha+1}\delta_{\min}^{\alpha+1}}\right)
\Delta_u= (\alpha+1)(\ln\delta_{\min}- \ln\delta_{\min}^{\mathrm{typ}})
\delta_{\mathrm{\min}}^{\mathrm{typ}}(L) \approx \left(\frac{A}{1+\alpha} L \right)^{-\frac{1}{1+\alpha}}
\overline{\ell_{\mathrm{cluster}}} \approx \frac{\ln L}{ \ln 2}
\delta^{\mathrm{typ}}_{\min} \approx L^{-\frac{1}{2\xi \ln2}}
\delta_{\min} \approx e^{-\frac{\ell_{\mathrm{cluster}}}{2\xi}}
h

MBL

Question:

Does the seed hybridize (absorb) the l-bits?

 

Answer:

it depends on

 

(1) \(V_{ij}\) the matrix element coupling the seed to the l-bit

(2) \(1/ \rho\) the level spacing.

Typically \(V_{ij} \gg 1/\rho\).

The challenge is to quantify this, see Crowley and Chandran.

Essentially:

\(J_{\alpha}\) should be large enough.

Interaction-driven instabilities in the Random-Field XXZ chain

By Jeanne Colbois

Interaction-driven instabilities in the Random-Field XXZ chain

Invited talk at the IPS meeting in Singapore

  • 406