Jeanne Colbois - Institut Néel - Grenoble - France

Quantum thermalization in closed systems : from theory to experiments | Garching | 13 May 2025

Nicolas Laflorencie

Fabien Alet

LPT Toulouse - France

 Instabilities and Many-body localization

in the Random-Field XXZ Chain

Jeanne Colbois - Institut Néel - Grenoble - France

 Instabilities and Many-body localization

in the Random-Field XXZ Chain

Quantum thermalization in closed systems : from theory to experiments | Garching | 13 May 2025

Nicolas Laflorencie

Fabien Alet

LPT Toulouse - France

 A limited introduction and two short stories

\(L/2\) fermions

\mathcal{H}_f = \sum_{i} \frac{J}{2}\left({\color{lightgreen}c_i^{\dagger} c_{i+1}^{\vphantom{\dagger}} + c_{i+1}^{\dagger}c_i^{\vphantom{\dagger}}}\right) -\sum_i{\color{orange}h_i n_i}

Anderson, Phys. Rev. 109, 1492 (1958)

Mott & Twose, Advances in Physics 10, 107 (1961)

COLBOIS | INSTABILITIES AND MBL |  05.2025

1

\mathcal{P}(h_i)

\(-h\)

\(h\)

Anderson localization in 1D

Spinless fermions in random potential with uniform distribution

\(L/2\) fermions

\mathcal{H}_f = \sum_{i} \frac{J}{2}\left({\color{lightgreen}c_i^{\dagger} c_{i+1}^{\vphantom{\dagger}} + c_{i+1}^{\dagger}c_i^{\vphantom{\dagger}}}\right) -\sum_i{\color{orange}h_i n_i}

Anderson, Phys. Rev. 109, 1492 (1958)

Mott & Twose, Advances in Physics 10, 107 (1961)

COLBOIS | INSTABILITIES AND MBL |  05.2025

1

\mathcal{P}(h_i)

\(-h\)

\(h\)

Spinless fermions in random potential with uniform distribution

Single particle localization length:

\epsilon_m

energy

|\phi_i^{m}|^2 \lesssim \exp \left( \frac{i-i_0^m}{\xi_m}\right)
\mathcal{H}_f = \sum_{m} \epsilon_m b_m^{\dagger}b_m
b_m = \sum_{i} \phi_i^{m} c_i

Anderson localization in 1D

3

3

2

COLBOIS | INSTABILITIES AND MBL |  05.2025

An old question

\mathcal{P}(h_i)

\(-h\)

\(h\)

\mathcal{H}_f = \sum_{i} \frac{J}{2}\left({\color{lightgreen}c_i^{\dagger} c_{i+1}^{\vphantom{\dagger}} + c_{i+1}^{\dagger}c_i^{\vphantom{\dagger}}}\right) -\sum_i{\color{orange}h_i n_i}

3

3

2

COLBOIS | INSTABILITIES AND MBL |  05.2025

An old question

\mathcal{P}(h_i)

\(-h\)

\(h\)

Does 1D Anderson localization "survive" interactions?

Attraction / repulsion

\mathcal{H}_f = \sum_{i} \frac{J}{2}\left({\color{lightgreen}c_i^{\dagger} c_{i+1}^{\vphantom{\dagger}} + c_{i+1}^{\dagger}c_i^{\vphantom{\dagger}}}+{\color{cyan}2 \Delta n_i n_{i+1}} \right) -\sum_i{\color{orange}h_i n_i}

3

3

2

COLBOIS | INSTABILITIES AND MBL |  05.2025

An old question

Does 1D Anderson localization "survive" interactions?

In the Anderson basis: 

Anderson  orbitals \(m\)

\mathcal{H} = \sum_m \epsilon_m b_m^{\dagger} b_m + \sum_{j,k,l,m} {\color{cyan}V_{j,k,l,m} b_j^{\dagger} b_k^{\dagger} b_l b_m}

Intuition : Interactions will delocalize

Attraction / repulsion

\mathcal{P}(h_i)

\(-h\)

\(h\)

\mathcal{H}_f = \sum_{i} \frac{J}{2}\left({\color{lightgreen}c_i^{\dagger} c_{i+1}^{\vphantom{\dagger}} + c_{i+1}^{\dagger}c_i^{\vphantom{\dagger}}}+{\color{cyan}2 \Delta n_i n_{i+1}} \right) -\sum_i{\color{orange}h_i n_i}

at high energy

3

3

3

COLBOIS | INSTABILITIES AND MBL |  05.2025

Does 1D Anderson localization survive interactions?

\mathcal{H}_f = \sum_{i} \frac{J}{2}\left({\color{lightgreen}c_i^{\dagger} c_{i+1}^{\vphantom{\dagger}} + c_{i+1}^{\dagger}c_i^{\vphantom{\dagger}}}+{\color{cyan}2 \Delta n_i n_{i+1}} \right) -\sum_i{\color{orange}h_i n_i}

Attraction / repulsion

\(\epsilon = 0\)

1. In the ground state ?

Giamarchi & Schulz EPL 3 (1987); PRB 37, (1988);  

Ristivojevic, et al PRL 109, (2012); Doggen et al, PRB 96,  (2017);

Lin et al, Scipost Phys 4 (2019)

3

3

3

COLBOIS | INSTABILITIES AND MBL |  05.2025

Does 1D Anderson localization survive interactions?

\mathcal{H}_f = \sum_{i} \frac{J}{2}\left({\color{lightgreen}c_i^{\dagger} c_{i+1}^{\vphantom{\dagger}} + c_{i+1}^{\dagger}c_i^{\vphantom{\dagger}}}+{\color{cyan}2 \Delta n_i n_{i+1}} \right) -\sum_i{\color{orange}h_i n_i}

Attraction / repulsion

\(\epsilon = 0\)

1. In the ground state ?

Giamarchi & Schulz EPL 3 (1987); PRB 37, (1988);  

Ristivojevic, et al PRL 109, (2012); Doggen et al, PRB 96,  (2017);

Lin et al, Scipost Phys 4 (2019)

3

3

3

COLBOIS | INSTABILITIES AND MBL |  05.2025

Does 1D Anderson localization survive interactions?

\mathcal{H}_f = \sum_{i} \frac{J}{2}\left({\color{lightgreen}c_i^{\dagger} c_{i+1}^{\vphantom{\dagger}} + c_{i+1}^{\dagger}c_i^{\vphantom{\dagger}}}+{\color{cyan}2 \Delta n_i n_{i+1}} \right) -\sum_i{\color{orange}h_i n_i}

Attraction / repulsion

\(\epsilon = 0\)

1. In the ground state ?

2. At finite energy density ?

Giamarchi & Schulz EPL 3 (1987); PRB 37, (1988);  

Ristivojevic, et al PRL 109, (2012); Doggen et al, PRB 96,  (2017);

Lin et al, Scipost Phys 4 (2019)

CHALLENGING!

3

3

3

COLBOIS | INSTABILITIES AND MBL |  05.2025

Does 1D Anderson localization survive interactions?

\mathcal{H}_f = \sum_{i} \frac{J}{2}\left({\color{lightgreen}c_i^{\dagger} c_{i+1}^{\vphantom{\dagger}} + c_{i+1}^{\dagger}c_i^{\vphantom{\dagger}}}+{\color{cyan}2 \Delta n_i n_{i+1}} \right) -\sum_i{\color{orange}h_i n_i}

Attraction / repulsion

\(\epsilon = 0\)

.... and a whole field! ....

Fleischman, Anderson, (1980);  Altschuler, et al  (1997); Gornyi et al (2005); Basko et al  (2006); Zidnarick et al (2008);  Aleiner et al (2010);  Pal and Huse (2010); Luitz et al (2015) [....]

?

Anderson insulator

disorder \(h \)

\(\Delta\)

?

?

?

Ergodic 

Many-body localized

2. At finite energy density ?

Giamarchi & Schulz EPL 3 (1987); PRB 37, (1988);  

Ristivojevic, et al PRL 109, (2012); Doggen et al, PRB 96,  (2017);

Lin et al, Scipost Phys 4 (2019)

1. In the ground state ?

CHALLENGING!

3

3

3

COLBOIS | INSTABILITIES AND MBL |  05.2025

Does 1D Anderson localization survive interactions?

\(\sum_i S_i^{z} = 0\)

\mathcal{H} = \sum_{i} \frac{J}{2}\left({\color{lightgreen}S_i^{+} S_{i+1}^{-} + S_i^{-} S_{i+1}^{+}} + {\color{cyan} 2\Delta S_i^z S_{i+1}^z}\right) - \sum_{i} {\color{orange} h_i S_i^z}
\mathcal{H}_f = \sum_{i} \frac{J}{2}\left({\color{lightgreen}c_i^{\dagger} c_{i+1}^{\vphantom{\dagger}} + c_{i+1}^{\dagger}c_i^{\vphantom{\dagger}}}+{\color{cyan}2 \Delta n_i n_{i+1}} \right) -\sum_i{\color{orange}h_i n_i}

Attraction / repulsion

ISING INTERACTION

\(\epsilon = 0\)

Jordan-Wigner

.... and a whole field! ....

Fleischman, Anderson, (1980);  Altschuler, et al  (1997); Gornyi et al (2005); Basko et al  (2006); Zidnarick et al (2008);  Aleiner et al (2010);  Pal and Huse (2010); Luitz et al (2015) [....]

?

Anderson insulator

disorder \(h \)

\(\Delta\)

?

?

?

Ergodic 

Many-body localized

2. At finite energy density ?

Giamarchi & Schulz EPL 3 (1987); PRB 37, (1988);  

Ristivojevic, et al PRL 109, (2012); Doggen et al, PRB 96,  (2017);

Lin et al, Scipost Phys 4 (2019)

1. In the ground state ?

CHALLENGING!

3

3

3

COLBOIS | INSTABILITIES AND MBL |  05.2025

Does 1D Anderson localization survive interactions?

\(\sum_i S_i^{z} = 0\)

\mathcal{H} = \sum_{i} \frac{J}{2}\left({\color{lightgreen}S_i^{+} S_{i+1}^{-} + S_i^{-} S_{i+1}^{+}} + {\color{cyan} 2\Delta S_i^z S_{i+1}^z}\right) - \sum_{i} {\color{orange} h_i S_i^z}

ISING INTERACTION

\(\epsilon = 0\)

.... and a whole field! ....

Fleischman, Anderson, (1980);  Altschuler, et al  (1997); Gornyi et al (2005); Basko et al  (2006); Zidnarick et al (2008);  Aleiner et al (2010);  Pal and Huse (2010); Luitz et al (2015) [....]

?

Anderson insulator

disorder \(h \)

\(\Delta\)

?

?

?

Ergodic 

Many-body localized

  1. Some characteristics of MBL

2. At finite energy density ?

TODAY

Giamarchi & Schulz EPL 3 (1987); PRB 37, (1988);  

Ristivojevic, et al PRL 109, (2012); Doggen et al, PRB 96,  (2017);

Lin et al, Scipost Phys 4 (2019)

1. In the ground state ?

CHALLENGING!

3

3

3

COLBOIS | INSTABILITIES AND MBL |  05.2025

Does 1D Anderson localization survive interactions?

\(\sum_i S_i^{z} = 0\)

\mathcal{H} = \sum_{i} \frac{J}{2}\left({\color{lightgreen}S_i^{+} S_{i+1}^{-} + S_i^{-} S_{i+1}^{+}} + {\color{cyan} 2\Delta S_i^z S_{i+1}^z}\right) - \sum_{i} {\color{orange} h_i S_i^z}

ISING INTERACTION

\(\epsilon = 0\)

.... and a whole field! ....

Fleischman, Anderson, (1980);  Altschuler, et al  (1997); Gornyi et al (2005); Basko et al  (2006); Zidnarick et al (2008);  Aleiner et al (2010);  Pal and Huse (2010); Luitz et al (2015) [....]

?

Anderson insulator

disorder \(h \)

\(\Delta\)

?

?

?

Ergodic 

Many-body localized

  1. Some characteristics of MBL
  2. Some key points of the debate

2. At finite energy density ?

TODAY

Giamarchi & Schulz EPL 3 (1987); PRB 37, (1988);  

Ristivojevic, et al PRL 109, (2012); Doggen et al, PRB 96,  (2017);

Lin et al, Scipost Phys 4 (2019)

1. In the ground state ?

CHALLENGING!

3

3

3

COLBOIS | INSTABILITIES AND MBL |  05.2025

Does 1D Anderson localization survive interactions?

\(\sum_i S_i^{z} = 0\)

\mathcal{H} = \sum_{i} \frac{J}{2}\left({\color{lightgreen}S_i^{+} S_{i+1}^{-} + S_i^{-} S_{i+1}^{+}} + {\color{cyan} 2\Delta S_i^z S_{i+1}^z}\right) - \sum_{i} {\color{orange} h_i S_i^z}

ISING INTERACTION

\(\epsilon = 0\)

.... and a whole field! ....

Fleischman, Anderson, (1980);  Altschuler, et al  (1997); Gornyi et al (2005); Basko et al  (2006); Zidnarick et al (2008);  Aleiner et al (2010);  Pal and Huse (2010); Luitz et al (2015) [....]

?

Anderson insulator

disorder \(h \)

\(\Delta\)

?

?

?

Ergodic 

Many-body localized

  1. Some characteristics of MBL
  2. Some key points of the debate
  3. Weak interactions instability

2. At finite energy density ?

TODAY

Giamarchi & Schulz EPL 3 (1987); PRB 37, (1988);  

Ristivojevic, et al PRL 109, (2012); Doggen et al, PRB 96,  (2017);

Lin et al, Scipost Phys 4 (2019)

1. In the ground state ?

CHALLENGING!

3

3

3

COLBOIS | INSTABILITIES AND MBL |  05.2025

Does 1D Anderson localization survive interactions?

\(\sum_i S_i^{z} = 0\)

\mathcal{H} = \sum_{i} \frac{J}{2}\left({\color{lightgreen}S_i^{+} S_{i+1}^{-} + S_i^{-} S_{i+1}^{+}} + {\color{cyan} 2\Delta S_i^z S_{i+1}^z}\right) - \sum_{i} {\color{orange} h_i S_i^z}

ISING INTERACTION

\(\epsilon = 0\)

.... and a whole field! ....

Fleischman, Anderson, (1980);  Altschuler, et al  (1997); Gornyi et al (2005); Basko et al  (2006); Zidnarick et al (2008);  Aleiner et al (2010);  Pal and Huse (2010); Luitz et al (2015) [....]

Anderson insulator

disorder \(h \)

\(\Delta\)

?

Ergodic 

Many-body localized

  1. Some characteristics of MBL
  2. Some key points of the debate
  3. Weak interactions instability

NO!  

2. At finite energy density ?

TODAY

Giamarchi & Schulz EPL 3 (1987); PRB 37, (1988);  

Ristivojevic, et al PRL 109, (2012); Doggen et al, PRB 96,  (2017);

Lin et al, Scipost Phys 4 (2019)

1. In the ground state ?

CHALLENGING!

3

3

3

COLBOIS | INSTABILITIES AND MBL |  05.2025

Does 1D Anderson localization survive interactions?

\(\sum_i S_i^{z} = 0\)

\mathcal{H} = \sum_{i} \frac{J}{2}\left({\color{lightgreen}S_i^{+} S_{i+1}^{-} + S_i^{-} S_{i+1}^{+}} + {\color{cyan} 2\Delta S_i^z S_{i+1}^z}\right) - \sum_{i} {\color{orange} h_i S_i^z}

ISING INTERACTION

\(\epsilon = 0\)

.... and a whole field! ....

Fleischman, Anderson, (1980);  Altschuler, et al  (1997); Gornyi et al (2005); Basko et al  (2006); Zidnarick et al (2008);  Aleiner et al (2010);  Pal and Huse (2010); Luitz et al (2015) [....]

  1. Some characteristics of MBL
  2. Some key points of the debate
  3. Weak interactions instability
  4. A correlations instability

Anderson insulator

disorder \(h \)

\(\Delta\)

?

Ergodic 

Many-body localized

NO!  

2. At finite energy density ?

TODAY

Giamarchi & Schulz EPL 3 (1987); PRB 37, (1988);  

Ristivojevic, et al PRL 109, (2012); Doggen et al, PRB 96,  (2017);

Lin et al, Scipost Phys 4 (2019)

1. In the ground state ?

CHALLENGING!

1. some caracteristics of MBL

2015

2018

2019

2025

1. some caracteristics of MBL

 

eigenstate properties (\(t \rightarrow \infty\)) in the XXZ chain

Thermal

Many-body localized

Disorder

Two probes and a phenomenological model

\(\Delta > 0\)

Integrable

2015

2018

2019

2025

High energy, \(\epsilon = 0.5\)

Ising interaction \(\Delta\)

  MBL

Delocalized

disorder \(h \)

COLBOIS | INSTABILITIES AND MBL |  05.2025

Probes:

  1. spectral statistics

Probes : 1. Spectral statistics

3

3

4

High energy, \(\epsilon = 0.5\)

Ising interaction \(\Delta\)

  MBL

Delocalized

disorder \(h \)

COLBOIS | INSTABILITIES AND MBL |  05.2025

Probes:

  1. spectral statistics

Probes : 1. Spectral statistics

r_i = \min\left(\frac{s_i}{s_{i-1}}, \frac{s_{i-1}}{s_{i}}\right)
s_i
s_{i-1}

Gap ratio:

3

3

4

P. Jacquod, D. L. Shepelyansky, PRL 79, 1837 (1997) [... a lot of works ...]

O. Giraud, N. Macé, E. Vernier, F. Alet, PRX 12, 011006 (2022)

High energy, \(\epsilon = 0.5\)

Ising interaction \(\Delta\)

  MBL

Delocalized

disorder \(h \)

COLBOIS | INSTABILITIES AND MBL |  05.2025

Probes:

  1. spectral statistics

Probes : 1. Spectral statistics

r_i = \min\left(\frac{s_i}{s_{i-1}}, \frac{s_{i-1}}{s_{i}}\right)
s_i
s_{i-1}

Gap ratio:

3

3

4

P. Jacquod, D. L. Shepelyansky, PRL 79, 1837 (1997) [... a lot of works ...]

O. Giraud, N. Macé, E. Vernier, F. Alet, PRX 12, 011006 (2022)

High energy, \(\epsilon = 0.5\)

Ising interaction \(\Delta\)

  MBL

Delocalized

disorder \(h \)

COLBOIS | INSTABILITIES AND MBL |  05.2025

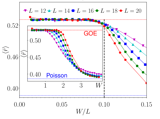
GOE = Ergodic

Probes:

  1. spectral statistics

Probes : 1. Spectral statistics

r_i = \min\left(\frac{s_i}{s_{i-1}}, \frac{s_{i-1}}{s_{i}}\right)
s_i
s_{i-1}

Gap ratio:

3

3

4

P. Jacquod, D. L. Shepelyansky, PRL 79, 1837 (1997) [... a lot of works ...]

O. Giraud, N. Macé, E. Vernier, F. Alet, PRX 12, 011006 (2022)

High energy, \(\epsilon = 0.5\)

Ising interaction \(\Delta\)

  MBL

Delocalized

disorder \(h \)

COLBOIS | INSTABILITIES AND MBL |  05.2025

GOE = Ergodic

Poisson = localized

Probes:

  1. spectral statistics

Probes : 1. Spectral statistics

r_i = \min\left(\frac{s_i}{s_{i-1}}, \frac{s_{i-1}}{s_{i}}\right)
s_i
s_{i-1}

Gap ratio:

3

3

4

P. Jacquod, D. L. Shepelyansky, PRL 79, 1837 (1997) [... a lot of works ...]

O. Giraud, N. Macé, E. Vernier, F. Alet, PRX 12, 011006 (2022)

High energy, \(\epsilon = 0.5\)

Ising interaction \(\Delta\)

  MBL

Delocalized

disorder \(h \)

COLBOIS | INSTABILITIES AND MBL |  05.2025

Probes:

  1. spectral statistics

Probes : 1. Spectral statistics

r_i = \min\left(\frac{s_i}{s_{i-1}}, \frac{s_{i-1}}{s_{i}}\right)
s_i
s_{i-1}

Gap ratio:

A. Pal, D. Huse, PRB 82, 174411 2010

(See series of works by V. Oganesyan, A. Pal, D. Huse, 2007-2010)

Exact diagonalization

disorder

gap ratio

3

3

4

High energy, \(\epsilon = 0.5\)

Ising interaction \(\Delta\)

  MBL

Delocalized

disorder \(h \)

COLBOIS | INSTABILITIES AND MBL |  05.2025

Probes:

  1. spectral statistics

Probes : 1. Spectral statistics

r_i = \min\left(\frac{s_i}{s_{i-1}}, \frac{s_{i-1}}{s_{i}}\right)
s_i
s_{i-1}

Gap ratio:

A. Pal, D. Huse, PRB 82, 174411 2010

(See series of works by V. Oganesyan, A. Pal, D. Huse, 2007-2010)

Exact diagonalization

disorder

gap ratio

3

3

4

GOE

Ergodic

High energy, \(\epsilon = 0.5\)

Ising interaction \(\Delta\)

  MBL

Delocalized

disorder \(h \)

COLBOIS | INSTABILITIES AND MBL |  05.2025

Probes:

  1. spectral statistics

Probes : 1. Spectral statistics

r_i = \min\left(\frac{s_i}{s_{i-1}}, \frac{s_{i-1}}{s_{i}}\right)
s_i
s_{i-1}

Gap ratio:

A. Pal, D. Huse, PRB 82, 174411 2010

(See series of works by V. Oganesyan, A. Pal, D. Huse, 2007-2010)

Exact diagonalization

disorder

gap ratio

3

3

4

Poisson

GOE

Ergodic

 Probes : 2. Entanglement entropy

3

3

5

High energy, \(\epsilon = 0.5\)

Ising interaction \(\Delta\)

  MBL

Delocalized

disorder \(h \)

COLBOIS | INSTABILITIES AND MBL |  05.2025

Probes:

  1. spectral statistics
  2. entanglement transition

 Probes : 2. Entanglement entropy

Khemani et al, PRX 7 (2017)

3

3

5

High energy, \(\epsilon = 0.5\)

Ising interaction \(\Delta\)

  MBL

Delocalized

disorder \(h \)

COLBOIS | INSTABILITIES AND MBL |  05.2025

Probes:

  1. spectral statistics
  2. entanglement transition

Disorder \(h\)

\(S_T =  (L-\log_2(e))/2\)

\(S = -\mathrm{Tr} \rho_A \ln \rho_A\)

A

 Probes : 2. Entanglement entropy

Khemani et al, PRX 7 (2017)

Volume-law at weak disorder

3

3

5

High energy, \(\epsilon = 0.5\)

Ising interaction \(\Delta\)

  MBL

Delocalized

disorder \(h \)

\(S_T =  (L-\log_2(e))/2\)

COLBOIS | INSTABILITIES AND MBL |  05.2025

Probes:

  1. spectral statistics
  2. entanglement transition

Disorder \(h\)

\(S = -\mathrm{Tr} \rho_A \ln \rho_A\)

A

High energy, \(\epsilon = 0.5\)

Ising interaction \(\Delta\)

  MBL

Delocalized

disorder \(h \)

Area-law at strong disorder

Volume-law at weak disorder

COLBOIS | INSTABILITIES AND MBL |  05.2025

 Probes : 2. Entanglement entropy

Probes:

  1. spectral statistics
  2. entanglement transition

3

3

5

Khemani et al, PRX 7 (2017)

Disorder \(h\)

\(S_T =  (L-\log_2(e))/2\)

\(S = -\mathrm{Tr} \rho_A \ln \rho_A\)

A

COLBOIS | INSTABILITIES AND MBL |  05.2025

Phenomenological model : Emergent integrability

3

3

6

Serbyn, Papic, Abanin (2013) ; Bauer, Nayak (2014) ; Huse, Nandkishore, Oganesyan (2014)

Reviews : Imbrie, Ros, Scardicchio (2017) Rademarker, Ortuno, Somoza (2017)

COLBOIS | INSTABILITIES AND MBL |  05.2025

3

3

6

AL : Anderson orbitals

Serbyn, Papic, Abanin (2013) ; Bauer, Nayak (2014) ; Huse, Nandkishore, Oganesyan (2014)

Reviews : Imbrie, Ros, Scardicchio (2017) Rademarker, Ortuno, Somoza (2017)

|\phi_i^{m}|^2 \lesssim \exp \left( \frac{i-i_0^m}{\xi_m}\right)

Phenomenological model : Emergent integrability

COLBOIS | INSTABILITIES AND MBL |  05.2025

3

3

6

AL : Anderson orbitals

Serbyn, Papic, Abanin (2013) ; Bauer, Nayak (2014) ; Huse, Nandkishore, Oganesyan (2014)

Reviews : Imbrie, Ros, Scardicchio (2017) Rademarker, Ortuno, Somoza (2017)

|\phi_i^{m}|^2 \lesssim \exp \left( \frac{i-i_0^m}{\xi_m}\right)
\mathcal{H}_f = \sum_{m} \epsilon_m b_m^{\dagger}b_m
b_m = \sum_{i} \phi_i^{m} c_i

\(L\) conserved quantities

Phenomenological model : Emergent integrability

COLBOIS | INSTABILITIES AND MBL |  05.2025

3

3

6

Serbyn, Papic, Abanin (2013) ; Bauer, Nayak (2014) ; Huse, Nandkishore, Oganesyan (2014)

Reviews : Imbrie, Ros, Scardicchio (2017) Rademarker, Ortuno, Somoza (2017)

AL : Anderson orbitals

|\phi_i^{m}|^2 \lesssim \exp \left( \frac{i-i_0^m}{\xi_m}\right)
\mathcal{H}_f = \sum_{m} \epsilon_m b_m^{\dagger}b_m
b_m = \sum_{i} \phi_i^{m} c_i

\(L\) conserved quantities

?

Phenomenological model : Emergent integrability

Interacting model

COLBOIS | INSTABILITIES AND MBL |  05.2025

3

3

6

Serbyn, Papic, Abanin (2013) ; Bauer, Nayak (2014) ; Huse, Nandkishore, Oganesyan (2014)

Reviews : Imbrie, Ros, Scardicchio (2017) Rademarker, Ortuno, Somoza (2017)

 

  • \(L\) commuting operators, commuting with \(\mathcal{H}\)
  • quasi-local

AL : Anderson orbitals

|\phi_i^{m}|^2 \lesssim \exp \left( \frac{i-i_0^m}{\xi_m}\right)
\mathcal{H}_f = \sum_{m} \epsilon_m b_m^{\dagger}b_m
b_m = \sum_{i} \phi_i^{m} c_i

\(L\) conserved quantities

Phenomenological model : Emergent integrability

Interacting model

COLBOIS | INSTABILITIES AND MBL |  05.2025

3

3

6

Serbyn, Papic, Abanin (2013) ; Bauer, Nayak (2014) ; Huse, Nandkishore, Oganesyan (2014)

Reviews : Imbrie, Ros, Scardicchio (2017) Rademarker, Ortuno, Somoza (2017)

 

  • \(L\) commuting operators, commuting with \(\mathcal{H}\)
  • quasi-local
\mathcal{H} = \sum_{i} \tilde{h}_i \tau_i^{z} + \sum_{i>j} J_{ij} \tau_i^{z} \tau_j^{z} + \sum_{i>j>k} J_{ijk}\tau_i^{z}\tau_j^{z}\tau_k^{z} + ...

AL : Anderson orbitals

|\phi_i^{m}|^2 \lesssim \exp \left( \frac{i-i_0^m}{\xi_m}\right)
\mathcal{H}_f = \sum_{m} \epsilon_m b_m^{\dagger}b_m
b_m = \sum_{i} \phi_i^{m} c_i

\(L\) conserved quantities

Phenomenological model : Emergent integrability

Interacting model

COLBOIS | INSTABILITIES AND MBL |  05.2025

3

3

6

Serbyn, Papic, Abanin (2013) ; Bauer, Nayak (2014) ; Huse, Nandkishore, Oganesyan (2014)

Reviews : Imbrie, Ros, Scardicchio (2017) Rademarker, Ortuno, Somoza (2017)

\mathcal{H} = \sum_{i} \tilde{h}_i \tau_i^{z} + \sum_{i>j} J_{ij} \tau_i^{z} \tau_j^{z} + \sum_{i>j>k} J_{ijk}\tau_i^{z}\tau_j^{z}\tau_k^{z} + ...

 

  • \(L\) commuting operators, commuting with \(\mathcal{H}\)
  • quasi-local

When MBL : \(J_{i,...,j} \propto e^{-\frac{-|i-j|}{\zeta}}\)

AL : Anderson orbitals

|\phi_i^{m}|^2 \lesssim \exp \left( \frac{i-i_0^m}{\xi_m}\right)
\mathcal{H}_f = \sum_{m} \epsilon_m b_m^{\dagger}b_m
b_m = \sum_{i} \phi_i^{m} c_i

\(L\) conserved quantities

Phenomenological model : Emergent integrability

Interacting model

COLBOIS | INSTABILITIES AND MBL |  05.2025

3

3

6

Serbyn, Papic, Abanin (2013) ; Bauer, Nayak (2014) ; Huse, Nandkishore, Oganesyan (2014)

Reviews : Imbrie, Ros, Scardicchio (2017) Rademarker, Ortuno, Somoza (2017)

\mathcal{H} = \sum_{i} \tilde{h}_i \tau_i^{z} + \sum_{i>j} J_{ij} \tau_i^{z} \tau_j^{z} + \sum_{i>j>k} J_{ijk}\tau_i^{z}\tau_j^{z}\tau_k^{z} + ...

 

  • \(L\) commuting operators, commuting with \(\mathcal{H}\)
  • quasi-local

When MBL : \(J_{i,...,j} \propto e^{-\frac{-|i-j|}{\zeta}}\)

AL : Anderson orbitals

|\phi_i^{m}|^2 \lesssim \exp \left( \frac{i-i_0^m}{\xi_m}\right)
\mathcal{H}_f = \sum_{m} \epsilon_m b_m^{\dagger}b_m
b_m = \sum_{i} \phi_i^{m} c_i

\(L\) conserved quantities

Phenomenological model : Emergent integrability

Interacting model

COLBOIS | INSTABILITIES AND MBL |  05.2025

3

3

6

Serbyn, Papic, Abanin (2013) ; Bauer, Nayak (2014) ; Huse, Nandkishore, Oganesyan (2014)

Reviews : Imbrie, Ros, Scardicchio (2017) Rademarker, Ortuno, Somoza (2017)

- out of equilibrium dynamics

M. Schreiber et al. Science (2015)

- log-growth of EE

J. H. Bardarson et al, PRL 109, 017202 (2012)

M. Znidaric et al PRB 77, 064426 (2008)

\mathcal{H} = \sum_{i} \tilde{h}_i \tau_i^{z} + \sum_{i>j} J_{ij} \tau_i^{z} \tau_j^{z} + \sum_{i>j>k} J_{ijk}\tau_i^{z}\tau_j^{z}\tau_k^{z} + ...

 

  • \(L\) commuting operators, commuting with \(\mathcal{H}\)
  • quasi-local

When MBL : \(J_{i,...,j} \propto e^{-\frac{-|i-j|}{\zeta}}\)

AL : Anderson orbitals

|\phi_i^{m}|^2 \lesssim \exp \left( \frac{i-i_0^m}{\xi_m}\right)
\mathcal{H}_f = \sum_{m} \epsilon_m b_m^{\dagger}b_m
b_m = \sum_{i} \phi_i^{m} c_i

\(L\) conserved quantities

Phenomenological model : Emergent integrability

Interacting model

COLBOIS | INSTABILITIES AND MBL |  05.2025

3

3

6

Serbyn, Papic, Abanin (2013) ; Bauer, Nayak (2014) ; Huse, Nandkishore, Oganesyan (2014)

Reviews : Imbrie, Ros, Scardicchio (2017) Rademarker, Ortuno, Somoza (2017)

- out of equilibrium dynamics

M. Schreiber et al. Science (2015)

- log-growth of EE

J. H. Bardarson et al, PRL 109, 017202 (2012)

M. Znidaric et al PRB 77, 064426 (2008)

- analytical arguments / proof(s)

- Basko, Aleiner, Altschuler (2006), Ros, Müller (2017), Crowley, Chandran (2022),

- Imbrie (2016), ...

\mathcal{H} = \sum_{i} \tilde{h}_i \tau_i^{z} + \sum_{i>j} J_{ij} \tau_i^{z} \tau_j^{z} + \sum_{i>j>k} J_{ijk}\tau_i^{z}\tau_j^{z}\tau_k^{z} + ...

 

  • \(L\) commuting operators, commuting with \(\mathcal{H}\)
  • quasi-local

When MBL : \(J_{i,...,j} \propto e^{-\frac{-|i-j|}{\zeta}}\)

AL : Anderson orbitals

|\phi_i^{m}|^2 \lesssim \exp \left( \frac{i-i_0^m}{\xi_m}\right)
\mathcal{H}_f = \sum_{m} \epsilon_m b_m^{\dagger}b_m
b_m = \sum_{i} \phi_i^{m} c_i

\(L\) conserved quantities

Phenomenological model : Emergent integrability

Interacting model

COLBOIS | INSTABILITIES AND MBL |  05.2025

3

3

6

Serbyn, Papic, Abanin (2013) ; Bauer, Nayak (2014) ; Huse, Nandkishore, Oganesyan (2014)

Reviews : Imbrie, Ros, Scardicchio (2017) Rademarker, Ortuno, Somoza (2017)

- out of equilibrium dynamics

M. Schreiber et al. Science (2015)

- log-growth of EE

J. H. Bardarson et al, PRL 109, 017202 (2012)

M. Znidaric et al PRB 77, 064426 (2008)

- analytical arguments / proof(s)

 

Nature / behavior of the transition ?

- Basko, Aleiner, Altschuler (2006), Ros, Müller (2017), Crowley, Chandran (2022),

- Imbrie (2016), ...

\mathcal{H} = \sum_{i} \tilde{h}_i \tau_i^{z} + \sum_{i>j} J_{ij} \tau_i^{z} \tau_j^{z} + \sum_{i>j>k} J_{ijk}\tau_i^{z}\tau_j^{z}\tau_k^{z} + ...

 

  • \(L\) commuting operators, commuting with \(\mathcal{H}\)
  • quasi-local

When MBL : \(J_{i,...,j} \propto e^{-\frac{-|i-j|}{\zeta}}\)

AL : Anderson orbitals

|\phi_i^{m}|^2 \lesssim \exp \left( \frac{i-i_0^m}{\xi_m}\right)
\mathcal{H}_f = \sum_{m} \epsilon_m b_m^{\dagger}b_m
b_m = \sum_{i} \phi_i^{m} c_i

\(L\) conserved quantities

Phenomenological model : Emergent integrability

Interacting model

2. MBL "Crisis"

Strong finite-size effects

Ultraslow dynamics

Theory of instabilities

Suntajs  et al, PRE (2020)

Suntajs  et al, PRB (2020)

Panda et al EPL (2019)

Abanin et al (2021)

Sels, Polkovnikov (2021)

LeBlond et al (2021)

Sierant & Zakrewski PRB (2022)

Morningstar et al (2022)

Evers, Modak, Bera (2023)

Long et al (2023)

Ha et al (2023)

Weisse, Gerstner, Sierker (2024)

...

2. MBL "Crisis"

Strong finite-size effects

Ultraslow dynamics

Theory of instabilities

2025

2. MBL "Crisis"

Suntajs  et al, PRE (2020)

Suntajs  et al, PRB (2020)

Panda et al EPL (2019)

Abanin et al (2021)

Sels, Polkovnikov (2021)

LeBlond et al (2021)

Sierant & Zakrewski PRB (2022)

Morningstar et al (2022)

Evers, Modak, Bera (2023)

Long et al (2023)

Ha et al (2023)

Weisse, Gerstner, Sierker (2024)

...

Strong finite-size effects

Ultraslow dynamics

Theory of instabilities

2025

Suntajs  et al, PRE (2020)

Suntajs  et al, PRB (2020)

Panda et al EPL (2019)

Abanin et al (2021)

Sels, Polkovnikov (2021)

LeBlond et al (2021)

Sierant & Zakrewski PRB (2022)

Morningstar et al (2022)

Evers, Modak, Bera (2023)

Long et al (2023)

Ha et al (2023)

Weisse, Gerstner, Sierker (2024)

...

2. MBL "Crisis"

Strong finite-size effects

Ultraslow dynamics

Theory of instabilities

2025

Suntajs  et al, PRE (2020)

Suntajs  et al, PRB (2020)

Panda et al EPL (2019)

Abanin et al (2021)

Sels, Polkovnikov (2021)

LeBlond et al (2021)

Sierant & Zakrewski PRB (2022)

Morningstar et al (2022)

Evers, Modak, Bera (2023)

Long et al (2023)

Ha et al (2023)

Weisse, Gerstner, Sierker (2024)

...

2. MBL "Crisis"

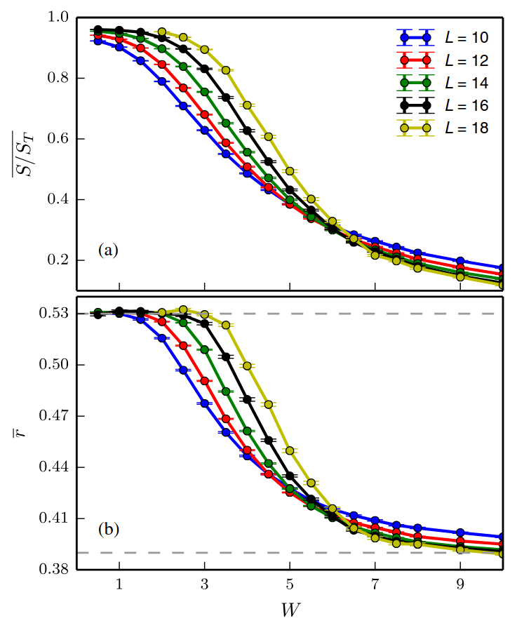
Some examples of Strong finite-size effects

COLBOIS | INSTABILITIES AND MBL |  05.2025

3

3

7

Some examples of Strong finite-size effects

Gap Ratio

COLBOIS | INSTABILITIES AND MBL |  05.2025

3

3

7

Challenging finite-size scaling

\(h/L\)

\(h\)

Suntajs et al (2020)

(arXiv v1-v2)

Some examples of Strong finite-size effects

Gap Ratio

COLBOIS | INSTABILITIES AND MBL |  05.2025

3

3

7

Sierant, Lewenstein, Zakrewski PRL (2020)

Suntajs et al (2020)

(arXiv v1-v2)

Challenging finite-size scaling

Disorder \(h\)

Disorder \(h\)

\(h/L\)

\(h\)

Some examples of Strong finite-size effects

Gap Ratio

COLBOIS | INSTABILITIES AND MBL |  05.2025

3

3

7

Sierant, Lewenstein, Zakrewski PRL (2020)

Challenging finite-size scaling

Disorder \(h\)

Disorder \(h\)

\(h/L\)

\(h\)

Entanglement entropy

& other probes

JC, F. Alet, N. Laflorencie, PRL (2024)

Suntajs et al (2020)

(arXiv v1-v2)

COLBOIS | INSTABILITIES AND MBL |  05.2025

(Recent) Phase diagram(s) and instabilities

\(L \rightarrow \infty\)

Kiefer-Emmanouilidis et al (2020), Suntajs et al (2020), Sels, Polkovnikov (2021), Wiesse et al (2024),...

Evers et al (2023),Long (2023)...

JC, Alet, Laflorencie (2024), Laflorencie et al (2025)

Sierant et al(2020), Morningstar et al, (2022) ,  Crowley, Chandran (2022), Szoldra et al (2024), Nieda et al (2024), Scoquart et al (2025)....

Weiner et al (2019), Sierant, Zakrewski (2022),

Biroli et al (2024)

See Nicolas' talk for a discussion

3

3

8

Absence of MBL phase

Single transition from ergodic to MBL (potentially very large \(h_c\))

Intermediate phase (nature differs depending on the paper)

h

h

h

COLBOIS | INSTABILITIES AND MBL |  05.2025

\(L \rightarrow \infty\)

Kiefer-Emmanouilidis et al (2020), Suntajs et al (2020), Sels, Polkovnikov (2021), Wiesse et al (2024),...

Evers et al (2023),Long (2023)...

JC, Alet, Laflorencie (2024), Laflorencie et al (2025)

Sierant et al(2020), Morningstar et al, (2022) ,  Crowley, Chandran (2022), Szoldra et al (2024), Nieda et al (2024), Scoquart et al (2025)....

Weiner et al (2019), Sierant, Zakrewski (2022),

Biroli et al (2024)

See Nicolas' talk for a discussion

Morningstar et al, PRB 105 (2022)

(Recent) Phase diagram(s) and instabilities

3

3

8

Absence of MBL phase

Single transition from ergodic to MBL (potentially very large \(h_c\))

Intermediate phase (nature differs depending on the paper)

h

h

h

COLBOIS | INSTABILITIES AND MBL |  05.2025

\(L \rightarrow \infty\)

Kiefer-Emmanouilidis et al (2020), Suntajs et al (2020), Sels, Polkovnikov (2021), Wiesse et al (2024),...

Evers et al (2023),Long (2023)...

JC, Alet, Laflorencie (2024), Laflorencie et al (2025)

Sierant et al(2020), Morningstar et al, (2022) ,  Crowley, Chandran (2022), Szoldra et al (2024), Nieda et al (2024), Scoquart et al (2025)....

Weiner et al (2019), Sierant, Zakrewski (2022),

Biroli et al (2024)

See Nicolas' talk for a discussion

Morningstar et al, PRB 105 (2022)

avalanche instability

De Roeck & Huveneers (2017), Luitz, De Roeck & Huveneers (2017),

Thiery et al (2018); Crowley and Chandran (2020), Crowley and Chandran (2022)

Small ergodic region triggers runaway delocalization

(Recent) Phase diagram(s) and instabilities

3

3

8

Absence of MBL phase

Single transition from ergodic to MBL (potentially very large \(h_c\))

Intermediate phase (nature differs depending on the paper)

h

h

h

COLBOIS | INSTABILITIES AND MBL |  05.2025

\(L \rightarrow \infty\)

Kiefer-Emmanouilidis et al (2020), Suntajs et al (2020), Sels, Polkovnikov (2021), Wiesse et al (2024),...

Evers et al (2023),Long (2023)...

JC, Alet, Laflorencie (2024), Laflorencie et al (2025)

Sierant et al(2020), Morningstar et al, (2022) ,  Crowley, Chandran (2022), Szoldra et al (2024), Nieda et al (2024), Scoquart et al (2025)....

Weiner et al (2019), Sierant, Zakrewski (2022),

Biroli et al (2024)

See Nicolas' talk for a discussion

Morningstar et al, PRB 105 (2022)

many-body resonances

(Recent) Phase diagram(s) and instabilities

3

3

8

Gopalakrishnan et al (2015)

Villalonga and Clark (2020)

Garratt et al (2021)

Crowley and Chandran (2022)

Morningstar et al (2022)

MBL is destabilized by resonances between localized eigenstates finite-size crossover

avalanche instability

Absence of MBL phase

Single transition from ergodic to MBL (potentially very large \(h_c\))

Intermediate phase (nature differs depending on the paper)

h

h

h

COLBOIS | INSTABILITIES AND MBL |  05.2025

\(L \rightarrow \infty\)

Kiefer-Emmanouilidis et al (2020), Suntajs et al (2020), Sels, Polkovnikov (2021), Wiesse et al (2024),...

Evers et al (2023),Long (2023)...

JC, Alet, Laflorencie (2024), Laflorencie et al (2025)

Sierant et al(2020), Morningstar et al, (2022) ,  Crowley, Chandran (2022), Szoldra et al (2024), Nieda et al (2024), Scoquart et al (2025)....

Weiner et al (2019), Sierant, Zakrewski (2022),

Biroli et al (2024)

See Nicolas' talk for a discussion

Morningstar et al, PRB 105 (2022)

(Recent) Phase diagram(s) and instabilities

avalanche instability

3

3

8

many-body resonances

here - end to end QMI

Absence of MBL phase

Single transition from ergodic to MBL (potentially very large \(h_c\))

Intermediate phase (nature differs depending on the paper)

h

h

h

COLBOIS | INSTABILITIES AND MBL |  05.2025

\(L \rightarrow \infty\)

Kiefer-Emmanouilidis et al (2020), Suntajs et al (2020), Sels, Polkovnikov (2021), Wiesse et al (2024),...

Evers et al (2023),Long (2023)...

JC, Alet, Laflorencie (2024), Laflorencie et al (2025)

Sierant et al(2020), Morningstar et al, (2022) ,  Crowley, Chandran (2022), Szoldra et al (2024), Nieda et al (2024), Scoquart et al (2025)....

Weiner et al (2019), Sierant, Zakrewski (2022),

Biroli et al (2024)

See Nicolas' talk for a discussion

Morningstar et al, PRB 105 (2022)

(Recent) Phase diagram(s) and instabilities

avalanche instability

3

3

8

many-body resonances

here - end to end QMI

gap ratio

and minimum gap

Absence of MBL phase

Single transition from ergodic to MBL (potentially very large \(h_c\))

Intermediate phase (nature differs depending on the paper)

h

h

h

COLBOIS | INSTABILITIES AND MBL |  05.2025

\(L \rightarrow \infty\)

Kiefer-Emmanouilidis et al (2020), Suntajs et al (2020), Sels, Polkovnikov (2021), Wiesse et al (2024),...

Evers et al (2023),Long (2023)...

JC, Alet, Laflorencie (2024), Laflorencie et al (2025)

Sierant et al(2020), Morningstar et al, (2022) ,  Crowley, Chandran (2022), Szoldra et al (2024), Nieda et al (2024), Scoquart et al (2025)....

Weiner et al (2019), Sierant, Zakrewski (2022),

Biroli et al (2024)

See Nicolas' talk for a discussion

Morningstar et al, PRB 105 (2022)

(Recent) Phase diagram(s) and instabilities

avalanche instability

3

3

8

many-body resonances

here - end to end QMI

Today : two ways of looking a the phase diagram

motivated by these instabilities

Absence of MBL phase

Single transition from ergodic to MBL (potentially very large \(h_c\))

Intermediate phase (nature differs depending on the paper)

h

h

h

3. An avalanche short story

Stepping away from Strong interactions

3. An avalanche short story

Stepping away from Strong interactions

?

Anderson insulator

disorder \(h \)

Ising interaction \(\Delta\)

Ergodic 

Many-body localized

?

?

?

\mathcal{H} = \sum_{i} \frac{J}{2}\left({\color{lightgreen}S_i^{+} S_{i+1}^{-} + S_i^{-} S_{i+1}^{+}} + {\color{cyan} 2\Delta S_i^z S_{i+1}^z}\right) - \sum_{i} {\color{orange} h_i S_i^z}

ISING INTERACTION

Interactions give rise to MBL
(unbounded Hamiltonians)

COLBOIS | INSTABILITIES AND MBL |  05.2025

9

Revisiting an old question

\(\Delta\)

\(\Delta_c\)

D. A. Abanin, E. Altman, I. Bloch, and M. Serbyn, Rev. Mod. Phys. 91, 021001 (2019)

Revisiting an old question

Interactions give rise to MBL
(unbounded Hamiltonians)

\(\Delta\)

\(\Delta_c\)

D. A. Abanin, E. Altman, I. Bloch, and M. Serbyn, Rev. Mod. Phys. 91, 021001 (2019)

Lin et al, Scipost (2018)

  • Fix \(\Delta, \epsilon \), vary the filling

 

  • Fix the filling and vary \(\epsilon\), \(\Delta\)

 

  • Fix the filling, \(\epsilon\) and W, vary \(\Delta\)

LeBlond et al. (2021)

Hopjan, Orso, Heidrich-Meisner (2021)

COLBOIS | INSTABILITIES AND MBL |  05.2025

9

High energy, \(\epsilon = 0.5\)

Ising interaction \(\Delta\)

  MBL

Delocalized

disorder \(h \)

Revisiting an old question

Interactions give rise to MBL
(unbounded Hamiltonians)

\(\Delta\)

\(\Delta_c\)

D. A. Abanin, E. Altman, I. Bloch, and M. Serbyn, Rev. Mod. Phys. 91, 021001 (2019)

Lin et al, Scipost (2018)

  • Fix \(\Delta, \epsilon \), vary the filling

 

  • Fix the filling and vary \(\epsilon\), \(\Delta\)

 

  • Fix the filling, \(\epsilon\) and W, vary \(\Delta\)

LeBlond et al. (2021)

Hopjan, Orso, Heidrich-Meisner (2021)

COLBOIS | INSTABILITIES AND MBL |  05.2025

9

High energy, \(\epsilon = 0.5\)

Ising interaction \(\Delta\)

  MBL

Delocalized

disorder \(h \)

&

(for standard observables)

High energy, \(\epsilon = 0.5\)

Ising interaction \(\Delta\)

  MBL

Delocalized

disorder \(h \)

COLBOIS | INSTABILITIES AND MBL |  05.2025

3

3

10

De Roeck & Huveneers (2017), Luitz, De Roeck & Huveneers (2017),

Thiery et al (2018); Crowley and Chandran (2020), Crowley and Chandran (2022)

Instabilities : Avalanches

High energy, \(\epsilon = 0.5\)

Ising interaction \(\Delta\)

  MBL

Delocalized

disorder \(h \)

Rare regions of weak disorder trigger the delocalization transition

COLBOIS | INSTABILITIES AND MBL |  05.2025

De Roeck & Huveneers (2017), Luitz, De Roeck & Huveneers (2017),

Thiery et al (2018); Crowley and Chandran (2020), Crowley and Chandran (2022)

Instabilities : Avalanches

3

3

10

High energy, \(\epsilon = 0.5\)

Ising interaction \(\Delta\)

  MBL

Delocalized

disorder \(h \)

Adapted from Szoldra et at (2024)

Rare regions of weak disorder trigger the delocalization transition

 \(n_0\)

COLBOIS | INSTABILITIES AND MBL |  05.2025

De Roeck & Huveneers (2017), Luitz, De Roeck & Huveneers (2017),

Thiery et al (2018); Crowley and Chandran (2020), Crowley and Chandran (2022)

Instabilities : Avalanches

3

3

10

Rare regions of weak disorder trigger the delocalization transition

High energy, \(\epsilon = 0.5\)

Ising interaction \(\Delta\)

  MBL

Delocalized

disorder \(h \)

Adapted from Szoldra et at (2024)

 \(n_0\)

\(\Gamma \sim e^{-r/\zeta}\)

COLBOIS | INSTABILITIES AND MBL |  05.2025

De Roeck & Huveneers (2017), Luitz, De Roeck & Huveneers (2017),

Thiery et al (2018); Crowley and Chandran (2020), Crowley and Chandran (2022)

Instabilities : Avalanches

3

3

10

thermal "bubble" with level spacing \(\delta \sim 2^{-n_0}\)

High energy, \(\epsilon = 0.5\)

Ising interaction \(\Delta\)

  MBL

Delocalized

disorder \(h \)

Adapted from Szoldra et at (2024)

Rare regions of weak disorder trigger the delocalization transition

 \(n_0\)

\(\Gamma \sim e^{-r/\zeta}\)

COLBOIS | INSTABILITIES AND MBL |  05.2025

De Roeck & Huveneers (2017), Luitz, De Roeck & Huveneers (2017),

Thiery et al (2018); Crowley and Chandran (2020), Crowley and Chandran (2022)

Instabilities : Avalanches

3

3

10

The spin can relax into the grain if the interaction does not resolve the spectral gap of the grain :

thermal "bubble" with level spacing \(\delta \sim 2^{-n_0}\)

High energy, \(\epsilon = 0.5\)

Ising interaction \(\Delta\)

  MBL

Delocalized

disorder \(h \)

Adapted from Szoldra et at (2024)

Rare regions of weak disorder trigger the delocalization transition

 \(n_0\)

\(\Gamma \sim e^{-r/\zeta}\)

COLBOIS | INSTABILITIES AND MBL |  05.2025

\(\zeta > \zeta_c\)

De Roeck & Huveneers (2017), Luitz, De Roeck & Huveneers (2017),

Thiery et al (2018); Crowley and Chandran (2020), Crowley and Chandran (2022)

Instabilities : Avalanches

3

3

10

thermal "bubble" with level spacing \(\delta \sim 2^{-n_0}\)

High energy, \(\epsilon = 0.5\)

Ising interaction \(\Delta\)

  MBL

Delocalized

disorder \(h \)

Adapted from Szoldra et at (2024)

Rare regions of weak disorder trigger the delocalization transition

 \(n_0\)

\(\Gamma \sim e^{-r/\zeta}\)

COLBOIS | INSTABILITIES AND MBL |  05.2025

\(\zeta > \zeta_c\)

Studying avalanches in small systems : forcing bath or toy model

Luitz, Huveneers, De Roeck (2017),  

Colmenarez, Luitz, De Roeck (2023), Sels (2022), Ha et al (2023)

Leonard et al (2023),  Peacock et al (2023), Szoldra et al, (2024)

Suntajs & Vidmar (2022)

Pawlik et al (2024)

De Roeck & Huveneers (2017), Luitz, De Roeck & Huveneers (2017),

Thiery et al (2018); Crowley and Chandran (2020), Crowley and Chandran (2022)

The spin can relax into the grain if the interaction does not resolve the spectral gap of the grain :

Instabilities : Avalanches

3

3

10

Avalanche theory At weak interactions

3

3

11

COLBOIS | INSTABILITIES AND MBL |  05.2025

  1. Any reasonable definition of \(\zeta\) should become \(\xi_{\rm MBA}\) at weak interactions

Avalanche theory At weak interactions

COLBOIS | INSTABILITIES AND MBL |  05.2025

3

3

11

  1. Any reasonable definition of \(\zeta\) should become \(\xi_{\rm MBA}\) at weak interactions

Avalanche theory At weak interactions

COLBOIS | INSTABILITIES AND MBL |  05.2025

\(\epsilon\)

\(\epsilon_{\rm sp}\)

\xi_{\rm sp}(\epsilon_{\mathrm{sp}}, {\color{orange}h})

Colbois and Laflorencie (2023), Crowley and Chandran (2020)

3

3

11

  1. Any reasonable definition of \(\zeta\) should become \(\xi_{\rm MBA}\) at weak interactions

Avalanche theory At weak interactions

COLBOIS | INSTABILITIES AND MBL |  05.2025

\(\epsilon\)

\(\epsilon_{\rm sp}\)

\xi_{\rm sp}(\epsilon_{\mathrm{sp}}, {\color{orange}h})

Colbois and Laflorencie (2023), Crowley and Chandran (2020)

\xi_{\rm MBA} \sim \frac{1}{\ln\left(1+\left(\frac{h}{h_0}\right)^2 \right)}
\xi_{\rm MBA}

\(h/J\)

\(h/J \gg 1 \)

 

\(\xi_{\mathrm{MBA}} \ll L \)

\(\Rightarrow\)

3

3

11

  1. Any reasonable definition of \(\zeta\) should become \(\xi_{\rm MBA}\) at weak interactions
  2. Localization length typically increases with \(\Delta\)

Avalanche theory At weak interactions

\xi_{\rm MBA}

\(h\)

COLBOIS | INSTABILITIES AND MBL |  05.2025

 Crowley and Chandran (2020), Colbois and Laflorencie (2023)

3

3

12

Avalanche theory At weak interactions

\xi_{\rm MBA}

\(h\)

  1. Any reasonable definition of \(\zeta\) should become \(\xi_{\rm MBA}\) at weak interactions
  2. Localization length typically increases with \(\Delta\)
\xi_{\rm MBA} > \zeta_{\rm av.}

COLBOIS | INSTABILITIES AND MBL |  05.2025

 Crowley and Chandran (2020), Colbois and Laflorencie (2023)

3

3

12

Avalanche theory At weak interactions

\xi_{\rm MBA}

\(h\)

\(h^{\star}\)

  1. Any reasonable definition of \(\zeta\) should become \(\xi_{\rm MBA}\) at weak interactions
  2. Localization length typically increases with \(\Delta\)
\xi_{\rm MBA} > \zeta_{\rm av.}

COLBOIS | INSTABILITIES AND MBL |  05.2025

 Crowley and Chandran (2020), Colbois and Laflorencie (2023)

3

3

12

Avalanche theory At weak interactions

\xi_{\rm MBA}

\(h\)

High energy, \( \epsilon = 0.5\)

Ising interaction \(\Delta\)

  MBL

Delocalized

disorder \(h \)

!

\(h^{\star}\)

\(h^{\star}\)

  1. Any reasonable definition of \(\zeta\) should become \(\xi_{\rm MBA}\) at weak interactions
  2. Localization length typically increases with \(\Delta\)
\xi_{\rm MBA} > \zeta_{\rm av.}

COLBOIS | INSTABILITIES AND MBL |  05.2025

 Crowley and Chandran (2020), Colbois and Laflorencie (2023)

JC, F. Alet, N. Laflorencie, PRL 133, 116502 (2024)

3

3

12

Avalanche theory At weak interactions

\xi_{\rm MBA}

\(h\)

High energy, \( \epsilon = 0.5\)

Ising interaction \(\Delta\)

  MBL

Delocalized

disorder \(h \)

!

\(h^{\star}\)

\(h^{\star}\)

  1. Any reasonable definition of \(\zeta\) should become \(\xi_{\rm MBA}\) at weak interactions
  2. Localization length typically increases with \(\Delta\)
\xi_{\rm MBA} > \zeta_{\rm av.}

COLBOIS | INSTABILITIES AND MBL |  05.2025

Can we probe this weak-interaction instability ?

JC, F. Alet, N. Laflorencie, PRL 133, 116502 (2024)

 Crowley and Chandran (2020), Colbois and Laflorencie (2023)

3

3

12

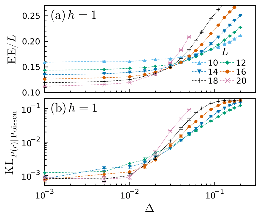
JC, F. Alet, N. Laflorencie, PRL 133, 116502 (2024)

KL divergence

COLBOIS | INSTABILITIES AND MBL |  05.2025

Analysis at fixed disorder

High energy, \(\epsilon = 0.5\)

Ising interaction \(\Delta\)

  MBL

Delocalized

disorder \(h \)

3

3

13

Entanglement entropy

KL divergence

COLBOIS | INSTABILITIES AND MBL |  05.2025

Analysis at fixed disorder

High energy, \(\epsilon = 0.5\)

Ising interaction \(\Delta\)

  MBL

Delocalized

disorder \(h \)

JC, F. Alet, N. Laflorencie, PRL 133, 116502 (2024)

3

3

13

Entanglement entropy

KL divergence

COLBOIS | INSTABILITIES AND MBL |  05.2025

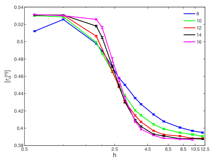
GOE = Ergodic

Poisson = localized

High energy, \(\epsilon = 0.5\)

Ising interaction \(\Delta\)

  MBL

Delocalized

disorder \(h \)

Analysis at fixed disorder

Spectral statistics

JC, F. Alet, N. Laflorencie, PRL 133, 116502 (2024)

3

3

13

Entanglement entropy

Spectral statistics

KL divergence

COLBOIS | INSTABILITIES AND MBL |  05.2025

{\rm{KL}}_{P | {\rm{Poisson}}} = \int_0^{1} P(r) \ln\left(\frac{P(r)}{P_{\rm{Poisson}}(r)}\right){\rm{d}}r
0.1895 \quad \mathrm{Ergodic}
0 \quad \mathrm{Localized}

Kullback-Leibler divergence :

High energy, \(\epsilon = 0.5\)

Ising interaction \(\Delta\)

  MBL

Delocalized

disorder \(h \)

Analysis at fixed disorder

GOE = Ergodic

Poisson = localized

JC, F. Alet, N. Laflorencie, PRL 133, 116502 (2024)

3

3

13

Entanglement entropy

Spectral statistics

KL divergence

COLBOIS | INSTABILITIES AND MBL |  05.2025

{\rm{KL}}_{P | {\rm{Poisson}}} = \int_0^{1} P(r) \ln\left(\frac{P(r)}{P_{\rm{Poisson}}(r)}\right){\rm{d}}r
0.1895 \quad \mathrm{Ergodic}
0 \quad \mathrm{Localized}

Kullback-Leibler divergence :

High energy, \(\epsilon = 0.5\)

Ising interaction \(\Delta\)

  MBL

Delocalized

disorder \(h \)

Analysis at fixed disorder

Delocalized at strong enough interactions

GOE = Ergodic

Poisson = localized

JC, F. Alet, N. Laflorencie, PRL 133, 116502 (2024)

3

3

13

Delocalized at strong enough interactions

Entanglement entropy

Spectral statistics

KL divergence

COLBOIS | INSTABILITIES AND MBL |  05.2025

{\rm{KL}}_{P | {\rm{Poisson}}} = \int_0^{1} P(r) \ln\left(\frac{P(r)}{P_{\rm{Poisson}}(r)}\right){\rm{d}}r
0.1895 \quad \mathrm{Ergodic}
0 \quad \mathrm{Localized}

Kullback-Leibler divergence :

High energy, \(\epsilon = 0.5\)

Ising interaction \(\Delta\)

  MBL

Delocalized

disorder \(h \)

Analysis at fixed disorder

GOE = Ergodic

Poisson = localized

JC, F. Alet, N. Laflorencie, PRL 133, 116502 (2024)

3

3

13

Delocalized at strong enough interactions

Entanglement entropy

Spectral statistics

Critical interactions scaling

KL divergence

COLBOIS | INSTABILITIES AND MBL |  05.2025

JC, F. Alet, N. Laflorencie, PRL 133, 116502 (2024)

3

3

14

Delocalized at strong enough interactions

Entanglement entropy

Spectral statistics

Critical interactions scaling

KL divergence

COLBOIS | INSTABILITIES AND MBL |  05.2025

JC, F. Alet, N. Laflorencie, PRL 133, 116502 (2024)

3

3

14

Delocalized at strong enough interactions

Entanglement entropy

Spectral statistics

Critical interactions scaling

KL divergence

COLBOIS | INSTABILITIES AND MBL |  05.2025

JC, F. Alet, N. Laflorencie, PRL 133, 116502 (2024)

3

3

14

Delocalized at strong enough interactions

Entanglement entropy

Spectral statistics

Critical interactions scaling

KL divergence

COLBOIS | INSTABILITIES AND MBL |  05.2025

JC, F. Alet, N. Laflorencie, PRL 133, 116502 (2024)

3

3

14

Delocalized at strong enough interactions

Entanglement entropy

Spectral statistics

Critical interactions scaling

KL divergence

COLBOIS | INSTABILITIES AND MBL |  05.2025

JC, F. Alet, N. Laflorencie, PRL 133, 116502 (2024)

3

3

14

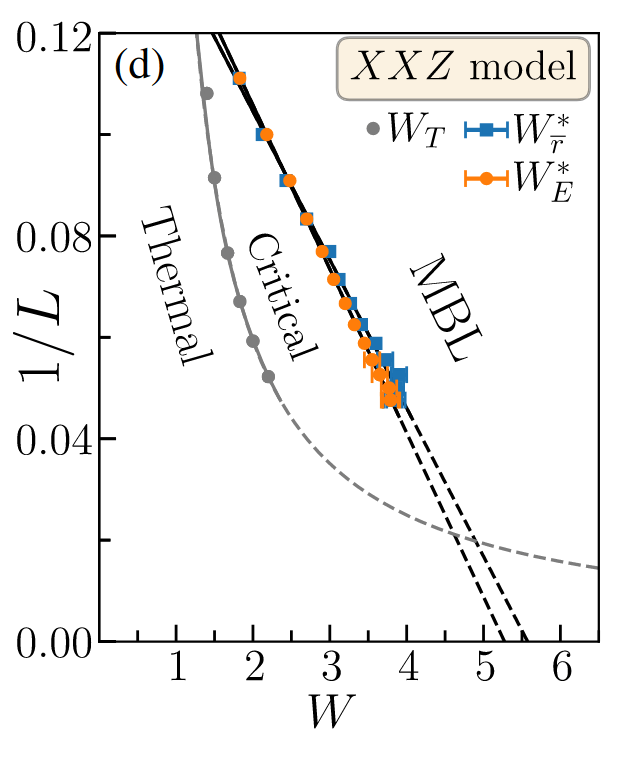
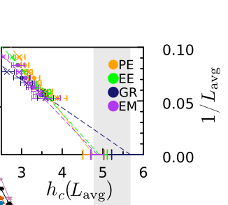
(See also LeBlond et al., PRB 104 L201117 (2021), @ h = 0.5;  Crowley and Chandran 2020 )

JC, F. Alet, N. Laflorencie, PRL 133, 116502 (2024)

\(\Delta/J\)

\(h/J \)

Ergodic instability of Anderson localization

COLBOIS | INSTABILITIES AND MBL |  05.2025

3

3

15

\(\Delta/J\)

\(h/J \)

COLBOIS | INSTABILITIES AND MBL |  05.2025

Ergodic instability of Anderson localization

(See also LeBlond et al., PRB 104 L201117 (2021), @ h = 0.5;  Crowley and Chandran 2020 )

JC, F. Alet, N. Laflorencie, PRL 133, 116502 (2024)

3

3

15

(\xi_{\rm MBA} \approx 0.5)

\(\Delta/J\)

\(h/J \)

COLBOIS | INSTABILITIES AND MBL |  05.2025

Ergodic instability of Anderson localization

(See also LeBlond et al., PRB 104 L201117 (2021), @ h = 0.5;  Crowley and Chandran 2020 )

JC, F. Alet, N. Laflorencie, PRL 133, 116502 (2024)

3

3

15

\(\Delta/J\)

\(h/J \)

Ergodic

MBL

COLBOIS | INSTABILITIES AND MBL |  05.2025

Ergodic instability of Anderson localization

(See also LeBlond et al., PRB 104 L201117 (2021), @ h = 0.5;  Crowley and Chandran 2020 )

JC, F. Alet, N. Laflorencie, PRL 133, 116502 (2024)

3

3

15

4. A Correlations short story

inspired by many-body resonances

High energy, \(\epsilon = 0.5\)

Ising interaction \(\Delta\)

  MBL

Delocalized

disorder \(h \)

Instabilities : Many-body resonances

COLBOIS | INSTABILITIES AND MBL |  05.2025

Another possible mechanism for instabilities:

resonances between more localized many-body states

Gopalakrishnan et al (2015)

Villalonga and Clark (2020)

Garratt et al (2021)

Crowley and Chandran (2022)

Morningstar et al (2022)

3

3

16

High energy, \(\epsilon = 0.5\)

Ising interaction \(\Delta\)

  MBL

Delocalized

disorder \(h \)

COLBOIS | INSTABILITIES AND MBL |  05.2025

Another possible mechanism for instabilities:

resonances between more localized many-body states

Gopalakrishnan et al (2015)

Villalonga and Clark (2020)

Garratt et al (2021)

Crowley and Chandran (2022)

Morningstar et al (2022)

|
|
\rangle_{\tau^z \, \mathrm{or}\, \sigma^z}
\rangle_{\tau^z \, \mathrm{or}\, \sigma^z}

\(r\)

Instabilities : Many-body resonances

3

3

16

High energy, \(\epsilon = 0.5\)

Ising interaction \(\Delta\)

  MBL

Delocalized

disorder \(h \)

COLBOIS | INSTABILITIES AND MBL |  05.2025

Another possible mechanism for instabilities:

resonances between more localized many-body states

|
|
\rangle_{\tau^z \, \mathrm{or}\, \sigma^z}
\rangle_{\tau^z \, \mathrm{or}\, \sigma^z}

\(r\)

|
|
\rangle_{\tau^z \, \mathrm{or}\, \sigma^z}
\rangle_{\tau^z \, \mathrm{or}\, \sigma^z}

\(r\)

\ket{E', \pm} =

Gopalakrishnan et al (2015)

Villalonga and Clark (2020)

Garratt et al (2021)

Crowley and Chandran (2022)

Morningstar et al (2022)

\(\pm\)

Perturb away from very strong disorder

Instabilities : Many-body resonances

3

3

16

High energy, \(\epsilon = 0.5\)

Ising interaction \(\Delta\)

  MBL

Delocalized

disorder \(h \)

COLBOIS | INSTABILITIES AND MBL |  05.2025

Hints in several works but extremely challenging to characterize

Jacobi method

Demixing

QMI

Fictitious evolution

|
|
\rangle_{\tau^z \, \mathrm{or}\, \sigma^z}
\rangle_{\tau^z \, \mathrm{or}\, \sigma^z}

\(r\)

|
|
\rangle_{\tau^z \, \mathrm{or}\, \sigma^z}
\rangle_{\tau^z \, \mathrm{or}\, \sigma^z}

\(r\)

\ket{E', \pm} =

Phenomenological models

Relation to avalanches

Kjäll (2018)

 Colmenarez  et al (2019)

Villalonga and Clark (2020)

\(\pm\)

Crowley and Chandran (2020)

Garatt et al (2021)

Crowley and Chandran (2022)

Long et al (2023)

Ha, Morningstar and Huse (2023)

Morningstar et al (2022)

Perturb away from very strong disorder

Gopalakrishnan et al (2015)

Another possible mechanism for instabilities:

resonances between more localized many-body states

Gopalakrishnan et al (2015)

Villalonga and Clark (2020)

Garratt et al (2021)

Crowley and Chandran (2022)

Morningstar et al (2022)

Instabilities : Many-body resonances

3

3

16

Two questions

COLBOIS | INSTABILITIES AND MBL |  05.2025

\(h/J \)

Ergodic

MBL

\(\Delta/J\)

3

3

17

Two questions

COLBOIS | INSTABILITIES AND MBL |  05.2025

\(h/J \)

Ergodic

MBL

\(\Delta/J\)

3

3

17

  1. Can we define a localization length on the non-ergodic side ?
  2. Can we see traces of "systemwide" resonances ?

Two questions

COLBOIS | INSTABILITIES AND MBL |  05.2025

\(h/J \)

Ergodic

MBL

\(\Delta/J\)

3

3

17

Two-poinT correlation Functions

  1. Can we define a localization length on the non-ergodic side ?
  2. Can we see traces of "systemwide" resonances ?

COLBOIS | INSTABILITIES AND MBL |  05.2025

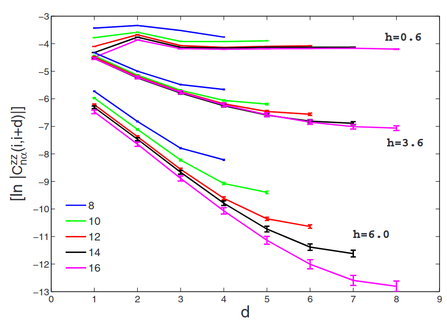
Spin-Spin Correlations

 \(C_{r}^{\alpha\alpha} = \langle S_i^{\alpha} S_{i+r}^{\alpha} \rangle  - \langle S_i^{\alpha} \rangle \langle S_{i+r}^{\alpha} \rangle\)

3

3

18

\alpha = z
\alpha = x, y

COLBOIS | INSTABILITIES AND MBL |  05.2025

SimplE

\alpha = z
\alpha = x, y

Localized

Delocalized

It depends

\(|C^{\alpha,\alpha}_{r} |= A e^{-r /\xi_{\alpha}}\)

3

3

18

 \(C_{r}^{\alpha\alpha} = \langle S_i^{\alpha} S_{i+r}^{\alpha} \rangle  - \langle S_i^{\alpha} \rangle \langle S_{i+r}^{\alpha} \rangle\)

Spin-Spin Correlations

COLBOIS | INSTABILITIES AND MBL |  05.2025

SimplE

Experimentally

accessible

\alpha = z
\alpha = x, y

Localized

Delocalized

It depends

\(|C^{\alpha,\alpha}_{r} |= A e^{-r /\xi_{\alpha}}\)

 \(C_{ij}^{zz} \rightarrow \langle n_i n_{j} \rangle  - \langle n_i \rangle \langle n_{j} \rangle\)

From spin to bosons : \(n_i = S_i^{z} + 1/2\)

Density-density correlations

Aubry-André model

3

3

18

 \(C_{r}^{\alpha\alpha} = \langle S_i^{\alpha} S_{i+r}^{\alpha} \rangle  - \langle S_i^{\alpha} \rangle \langle S_{i+r}^{\alpha} \rangle\)

Lukin et al, Science (2019)

Spin-Spin Correlations

COLBOIS | INSTABILITIES AND MBL |  05.2025

SimplE

Experimentally

accessible

Somewhat

overlooked

\alpha = z
\alpha = x, y

Localized

Delocalized

It depends

\(|C^{\alpha,\alpha}_{r} |= A e^{-r /\xi_{\alpha}}\)

 \(C_{ij}^{zz} \rightarrow \langle n_i n_{j} \rangle  - \langle n_i \rangle \langle n_{j} \rangle\)

From spin to bosons : \(n_i = S_i^{z} + 1/2\)

Density-density correlations

Aubry-André model

Main theoretical works*:

3

3

18

 \(C_{r}^{\alpha\alpha} = \langle S_i^{\alpha} S_{i+r}^{\alpha} \rangle  - \langle S_i^{\alpha} \rangle \langle S_{i+r}^{\alpha} \rangle\)

*Other works focus on QMI / on weaker disorders / on time evolution

Lukin et al, Science (2019)

Spin-Spin Correlations

COLBOIS | INSTABILITIES AND MBL |  05.2025

SimplE

Experimentally

accessible

Somewhat

overlooked

\alpha = z
\alpha = x, y

Localized

Delocalized

It depends

\(|C^{\alpha,\alpha}_{r} |= A e^{-r /\xi_{\alpha}}\)

 \(C_{ij}^{zz} \rightarrow \langle n_i n_{j} \rangle  - \langle n_i \rangle \langle n_{j} \rangle\)

From spin to bosons : \(n_i = S_i^{z} + 1/2\)

Density-density correlations

Correlations as a probe of the transition...

Aubry-André model

Pal & Huse, PRB (2010)

Lim, Sheng, PRB (2016)

Main theoretical works*:

*Other works focus on QMI / on weaker disorders / on time evolution

3

3

18

 \(C_{r}^{\alpha\alpha} = \langle S_i^{\alpha} S_{i+r}^{\alpha} \rangle  - \langle S_i^{\alpha} \rangle \langle S_{i+r}^{\alpha} \rangle\)

e.g. : Herviou et al (2019), Hemery et al (2022),Weiner et al (2019), Morningstar et al (2022)

Lukin et al, Science (2019)

Spin-Spin Correlations

COLBOIS | INSTABILITIES AND MBL |  05.2025

SimplE

Experimentally

accessible

Somewhat

overlooked

\alpha = z
\alpha = x, y

Localized

Delocalized

It depends

\(|C^{\alpha,\alpha}_{r} |= A e^{-r /\xi_{\alpha}}\)

 \(C_{ij}^{zz} \rightarrow \langle n_i n_{j} \rangle  - \langle n_i \rangle \langle n_{j} \rangle\)

From spin to bosons : \(n_i = S_i^{z} + 1/2\)

Density-density correlations

Aubry-André model

Pal & Huse, PRB (2010)

Lim, Sheng, PRB (2016)

Localization lengths are short in MBL

Varma et al., PRB (2019)

Main theoretical works*:

3

3

18

 \(C_{r}^{\alpha\alpha} = \langle S_i^{\alpha} S_{i+r}^{\alpha} \rangle  - \langle S_i^{\alpha} \rangle \langle S_{i+r}^{\alpha} \rangle\)

*Other works focus on QMI / on weaker disorders / on time evolution

e.g. : Herviou et al (2019), Hemery et al (2022),Weiner et al (2019), Morningstar et al (2022)

Lukin et al, Science (2019)

Correlations as a probe of the transition...

Spin-Spin Correlations

COLBOIS | INSTABILITIES AND MBL |  05.2025

SimplE

Experimentally

accessible

Somewhat

overlooked

\alpha = z
\alpha = x, y

Localized

Delocalized

It depends

\(|C^{\alpha,\alpha}_{r} |= A e^{-r /\xi_{\alpha}}\)

 \(C_{ij}^{zz} \rightarrow \langle n_i n_{j} \rangle  - \langle n_i \rangle \langle n_{j} \rangle\)

From spin to bosons : \(n_i = S_i^{z} + 1/2\)

Density-density correlations

Main theoretical works*:

Aubry-André model

Pal & Huse, PRB (2010)

Lim, Sheng, PRB (2016)

Localization lengths are short in MBL

Varma et al., PRB (2019)

Character of short-range distributions

Colmenarez et al, SciPost (2019)

3

3

18

 \(C_{r}^{\alpha\alpha} = \langle S_i^{\alpha} S_{i+r}^{\alpha} \rangle  - \langle S_i^{\alpha} \rangle \langle S_{i+r}^{\alpha} \rangle\)

e.g. : Herviou et al (2019), Hemery et al (2022),Weiner et al (2019), Morningstar et al (2022)

*Other works focus on QMI / on weaker disorders / on time evolution

Lukin et al, Science (2019)

Correlations as a probe of the transition...

Spin-Spin Correlations

COLBOIS | INSTABILITIES AND MBL |  05.2025

systemwide correlations

Distance-dependent \(|C^{\alpha\alpha}_r|\) :

\alpha = z
\alpha = x, y

3

3

19

 \(C_{r}^{\alpha\alpha} = \langle S_i^{\alpha} S_{i+r}^{\alpha} \rangle  - \langle S_i^{\alpha} \rangle \langle S_{i+r}^{\alpha} \rangle\)

COLBOIS | INSTABILITIES AND MBL |  05.2025

Distance-dependent \(|C^{\alpha\alpha}_r|\) :

\alpha = z
\alpha = x, y

3

3

19

 \(C_{r}^{\alpha\alpha} = \langle S_i^{\alpha} S_{i+r}^{\alpha} \rangle  - \langle S_i^{\alpha} \rangle \langle S_{i+r}^{\alpha} \rangle\)

systemwide correlations

see e.g. Varma et al., PRB (2019)

Villalonga and Clark (2020)

  • no \(r\)-dep. in the ergodic phase \(\epsilon = 0.5\)
  • inherent difficulties with PBC

COLBOIS | INSTABILITIES AND MBL |  05.2025

Distance-dependent \(|C^{\alpha\alpha}_r|\) :

Systemwide \(|C^{\alpha\alpha}_r|\) : \(r = L\)

\alpha = z
\alpha = x, y

3

3

19

 \(C_{r}^{\alpha\alpha} = \langle S_i^{\alpha} S_{i+r}^{\alpha} \rangle  - \langle S_i^{\alpha} \rangle \langle S_{i+r}^{\alpha} \rangle\)

  • used with QMI
  • risk of edge effects?

Morningstar et al (2022)

systemwide correlations

see e.g. Varma et al., PRB (2019)

Villalonga and Clark (2020)

  • no \(r\)-dep. in the ergodic phase \(\epsilon = 0.5\)
  • inherent difficulties with PBC

COLBOIS | INSTABILITIES AND MBL |  05.2025

JC, F. Alet, N. Laflorencie, PRL 133, 116502 (2024)

JC, F. Alet, N. Laflorencie, PRB 110, (2024)

Distance-dependent \(|C^{\alpha\alpha}_r|\) :

Systemwide \(|C^{\alpha\alpha}_r|\) : \(r = L\)

Systemwide \(|C^{\alpha\alpha}_r|\) : \(r = L/2\)

\alpha = z
\alpha = x, y

3

3

19

 \(C_{r}^{\alpha\alpha} = \langle S_i^{\alpha} S_{i+r}^{\alpha} \rangle  - \langle S_i^{\alpha} \rangle \langle S_{i+r}^{\alpha} \rangle\)

  • used with QMI
  • risk of edge effects?

Morningstar et al (2022)

systemwide correlations

see e.g. Varma et al., PRB (2019)

Villalonga and Clark (2020)

  • no \(r\)-dep. in the ergodic phase \(\epsilon = 0.5\)
  • inherent difficulties with PBC

COLBOIS | INSTABILITIES AND MBL |  05.2025

Distance-dependent \(|C^{\alpha\alpha}_r|\) :

Systemwide \(|C^{\alpha\alpha}_r|\) : \(r = L\)

Systemwide \(|C^{\alpha\alpha}_r|\) : \(r = L/2\)

\alpha = z
\alpha = x, y

JC, F. Alet, N. Laflorencie, PRL 133, 116502 (2024)

JC, F. Alet, N. Laflorencie, PRB 110, (2024)

3

3

19

 \(C_{r}^{\alpha\alpha} = \langle S_i^{\alpha} S_{i+r}^{\alpha} \rangle  - \langle S_i^{\alpha} \rangle \langle S_{i+r}^{\alpha} \rangle\)

  • used with QMI
  • risk of edge effects?

Morningstar et al (2022)

systemwide correlations

see e.g. Varma et al., PRB (2019)

Villalonga and Clark (2020)

  • no \(r\)-dep. in the ergodic phase \(\epsilon = 0.5\)
  • inherent difficulties with PBC

COLBOIS | INSTABILITIES AND MBL |  05.2025

Distance-dependent \(|C^{\alpha\alpha}_r|\) :

Systemwide \(|C^{\alpha\alpha}_r|\) : \(r = L\)

Systemwide \(|C^{\alpha\alpha}_r|\) : \(r = L/2\)

\alpha = z
\alpha = x, y
  • used with QMI
  • risk of edge effects?

JC, F. Alet, N. Laflorencie, PRL 133, 116502 (2024)

JC, F. Alet, N. Laflorencie, PRB 110, (2024)

3

3

19

 \(C_{r}^{\alpha\alpha} = \langle S_i^{\alpha} S_{i+r}^{\alpha} \rangle  - \langle S_i^{\alpha} \rangle \langle S_{i+r}^{\alpha} \rangle\)

Morningstar et al (2022)

systemwide correlations

see e.g. Varma et al., PRB (2019)

Villalonga and Clark (2020)

  • no \(r\)-dep. in the ergodic phase \(\epsilon = 0.5\)
  • inherent difficulties with PBC

COLBOIS | INSTABILITIES AND MBL |  05.2025

Distance-dependent \(|C^{\alpha\alpha}_r|\) :

Systemwide \(|C^{\alpha\alpha}_r|\) : \(r = L\)

Systemwide \(|C^{\alpha\alpha}_r|\) : \(r = L/2\)

\alpha = z
\alpha = x, y

JC, F. Alet, N. Laflorencie, PRL 133, 116502 (2024)

JC, F. Alet, N. Laflorencie, PRB 110, (2024)

3

3

19

 \(C_{r}^{\alpha\alpha} = \langle S_i^{\alpha} S_{i+r}^{\alpha} \rangle  - \langle S_i^{\alpha} \rangle \langle S_{i+r}^{\alpha} \rangle\)

  • used with QMI
  • risk of edge effects?

Morningstar et al (2022)

systemwide correlations

see e.g. Varma et al., PRB (2019)

Villalonga and Clark (2020)

  • no \(r\)-dep. in the ergodic phase \(\epsilon = 0.5\)
  • inherent difficulties with PBC

COLBOIS | INSTABILITIES AND MBL |  05.2025

Mid-chain correlations

Distance-dependent \(|C^{\alpha\alpha}_r|\) :

Systemwide \(|C^{\alpha\alpha}_r|\) : \(r = L\)

Systemwide \(|C^{\alpha\alpha}_r|\) : \(r = L/2\)

\alpha = z
\alpha = x, y

JC, F. Alet, N. Laflorencie, PRL 133, 116502 (2024)

JC, F. Alet, N. Laflorencie, PRB 110, (2024)

3

3

19

 \(C_{r}^{\alpha\alpha} = \langle S_i^{\alpha} S_{i+r}^{\alpha} \rangle  - \langle S_i^{\alpha} \rangle \langle S_{i+r}^{\alpha} \rangle\)

  • used with QMI
  • risk of edge effects?

Morningstar et al (2022)

systemwide correlations

see e.g. Varma et al., PRB (2019)

Villalonga and Clark (2020)

  • no \(r\)-dep. in the ergodic phase \(\epsilon = 0.5\)
  • inherent difficulties with PBC

Two simple limits

COLBOIS | INSTABILITIES AND MBL |  05.2025

Ergodic typical eigenstate = random vector

Anderson localized \(\Delta = 0\)

JC, F. Alet, N. Laflorencie, PRL 133 and  PRB 110, (2024)

3

3

20

 \(C_{r}^{\alpha\alpha} = \langle S_i^{\alpha} S_{i+r}^{\alpha} \rangle  - \langle S_i^{\alpha} \rangle \langle S_{i+r}^{\alpha} \rangle\)

COLBOIS | INSTABILITIES AND MBL |  05.2025

Ergodic typical eigenstate = random vector

Anderson localized \(\Delta = 0\)

  • bulk decay matches mid-chain decay

Two simple limits

JC, F. Alet, N. Laflorencie, PRL 133 and  PRB 110, (2024)

3

3

20

 \(C_{r}^{\alpha\alpha} = \langle S_i^{\alpha} S_{i+r}^{\alpha} \rangle  - \langle S_i^{\alpha} \rangle \langle S_{i+r}^{\alpha} \rangle\)

\(h = 5\)

COLBOIS | INSTABILITIES AND MBL |  05.2025

Ergodic typical eigenstate = random vector

Anderson localized \(\Delta = 0\)

  • bulk decay matches mid-chain decay

Two simple limits

JC, F. Alet, N. Laflorencie, PRL 133 and  PRB 110, (2024)

3

3

20

 \(C_{r}^{\alpha\alpha} = \langle S_i^{\alpha} S_{i+r}^{\alpha} \rangle  - \langle S_i^{\alpha} \rangle \langle S_{i+r}^{\alpha} \rangle\)

\(\xi^z_{\mathrm{bulk}} = 0.448 \pm 0.005\)

\(\xi^z_{\mathrm{mid}} = 0.449 \pm 0.003\)

\(\xi^x_{\mathrm{bulk}} = 0.87 \pm 0.01\)

\(\xi^x_{\mathrm{mid}} = 0.89 \pm 0.01\)

\(h = 5\)

COLBOIS | INSTABILITIES AND MBL |  05.2025

Ergodic typical eigenstate = random vector

Anderson localized \(\Delta = 0\)

  • bulk decay matches mid-chain decay
  • good proxy for the localization length

Two simple limits

JC, F. Alet, N. Laflorencie, PRL 133 and  PRB 110, (2024)

3

3

20

 \(C_{r}^{\alpha\alpha} = \langle S_i^{\alpha} S_{i+r}^{\alpha} \rangle  - \langle S_i^{\alpha} \rangle \langle S_{i+r}^{\alpha} \rangle\)

\(\xi_{\mathrm{MBA}}\)

COLBOIS | INSTABILITIES AND MBL |  05.2025

Ergodic typical eigenstate = random vector

Anderson localized \(\Delta = 0\)

\(\xi_x \approx 2 \xi_z\) : XX correlations dominate

  • bulk decay matches mid-chain decay
  • good proxy for the localization length

Two simple limits

JC, F. Alet, N. Laflorencie, PRL 133 and  PRB 110, (2024)

3

3

20

 \(C_{r}^{\alpha\alpha} = \langle S_i^{\alpha} S_{i+r}^{\alpha} \rangle  - \langle S_i^{\alpha} \rangle \langle S_{i+r}^{\alpha} \rangle\)

\(\xi_{\mathrm{MBA}}\)

COLBOIS | INSTABILITIES AND MBL |  05.2025

Ergodic typical eigenstate = random vector

Anderson localized \(\Delta = 0\)

\(\xi_x \approx 2 \xi_z\) : XX correlations dominate

Random vector

  • bulk decay matches mid-chain decay
  • good proxy for the localization length

Two simple limits

\(\ket{R} = \sum_{s= 1}^{\mathcal{N}} a_s \ket{s}\), \(\ket{s} = \ket{\uparrow, \downarrow, \dots}\),\( |a_s|^2\propto\frac{1}{\mathcal{N}}\)

JC, F. Alet, N. Laflorencie, PRL 133 and  PRB 110, (2024)

3

3

21

 \(C_{r}^{\alpha\alpha} = \langle S_i^{\alpha} S_{i+r}^{\alpha} \rangle  - \langle S_i^{\alpha} \rangle \langle S_{i+r}^{\alpha} \rangle\)

\(\xi_{\mathrm{MBA}}\)

COLBOIS | INSTABILITIES AND MBL |  05.2025

Ergodic typical eigenstate = random vector

Anderson localized \(\Delta = 0\)

\(\xi_x \approx 2 \xi_z\) : XX correlations dominate

Random vector

  • bulk decay matches mid-chain decay
  • good proxy for the localization length

Two simple limits

\(\ket{R} = \sum_{s= 1}^{\mathcal{N}} a_s \ket{s}\), \(\ket{s} = \ket{\uparrow, \downarrow, \dots}\),\( |a_s|^2\propto\frac{1}{\mathcal{N}}\)

JC, F. Alet, N. Laflorencie, PRL 133 and  PRB 110, (2024)

3

3

21

 \(C_{r}^{\alpha\alpha} = \langle S_i^{\alpha} S_{i+r}^{\alpha} \rangle  - \langle S_i^{\alpha} \rangle \langle S_{i+r}^{\alpha} \rangle\)

\(\xi_{\mathrm{MBA}}\)

COLBOIS | INSTABILITIES AND MBL |  05.2025

Ergodic typical eigenstate = random vector

Anderson localized \(\Delta = 0\)

\(\xi_x \approx 2 \xi_z\) : XX correlations dominate

Random vector

  • bulk decay matches mid-chain decay
  • good proxy for the localization length

Two simple limits

\(\ket{R} = \sum_{s= 1}^{\mathcal{N}} a_s \ket{s}\), \(\ket{s} = \ket{\uparrow, \downarrow, \dots}\),\( |a_s|^2\propto\frac{1}{\mathcal{N}}\)

ONLY SIZE DEPENDENCE!

No spatial dependence,

JC, F. Alet, N. Laflorencie, PRL 133 and  PRB 110, (2024)

3

3

21

 \(C_{r}^{\alpha\alpha} = \langle S_i^{\alpha} S_{i+r}^{\alpha} \rangle  - \langle S_i^{\alpha} \rangle \langle S_{i+r}^{\alpha} \rangle\)

\(\xi_{\mathrm{MBA}}\)

COLBOIS | INSTABILITIES AND MBL |  05.2025

Ergodic typical eigenstate = random vector

Anderson localized \(\Delta = 0\)

\(\xi_x \approx 2 \xi_z\) : XX correlations dominate

Random vector

  • bulk decay matches mid-chain decay
  • good proxy for the localization length

Two simple limits

Total spin conservation

\(\ket{R} = \sum_{s= 1}^{\mathcal{N}} a_s \ket{s}\), \(\ket{s} = \ket{\uparrow, \downarrow, \dots}\),\( |a_s|^2\propto\frac{1}{\mathcal{N}}\)

ONLY SIZE DEPENDENCE!

No spatial dependence,

|C^{zz}_{L/2}| \sim 1/4(L-1)

JC, F. Alet, N. Laflorencie, PRL 133 and  PRB 110, (2024)

3

3

21

 \(C_{r}^{\alpha\alpha} = \langle S_i^{\alpha} S_{i+r}^{\alpha} \rangle  - \langle S_i^{\alpha} \rangle \langle S_{i+r}^{\alpha} \rangle\)

\(\xi_{\mathrm{MBA}}\)

COLBOIS | INSTABILITIES AND MBL |  05.2025

Ergodic typical eigenstate = random vector

Anderson localized \(\Delta = 0\)

\(\xi_x \approx 2 \xi_z\) : XX correlations dominate

Random vector

  • bulk decay matches mid-chain decay
  • good proxy for the localization length

Two simple limits

Total spin conservation

\sum_{i,j} \langle S_i^{z} S_j^{z} \rangle = \frac{L}{4} + \sum_{i \neq j} \langle S_i^{z} S_j^{z} \rangle=0

\(\ket{R} = \sum_{s= 1}^{\mathcal{N}} a_s \ket{s}\), \(\ket{s} = \ket{\uparrow, \downarrow, \dots}\),\( |a_s|^2\propto\frac{1}{\mathcal{N}}\)

ONLY SIZE DEPENDENCE!

No spatial dependence,

|C^{zz}_{L/2}| \sim 1/4(L-1)

JC, F. Alet, N. Laflorencie, PRL 133 and  PRB 110, (2024)

3

3

21

 \(C_{r}^{\alpha\alpha} = \langle S_i^{\alpha} S_{i+r}^{\alpha} \rangle  - \langle S_i^{\alpha} \rangle \langle S_{i+r}^{\alpha} \rangle\)

\(\xi_{\mathrm{MBA}}\)

COLBOIS | INSTABILITIES AND MBL |  05.2025

Ergodic typical eigenstate = random vector

Anderson localized \(\Delta = 0\)

\(\xi_x \approx 2 \xi_z\) : XX correlations dominate

Random vector

  • bulk decay matches mid-chain decay
  • good proxy for the localization length

Two simple limits

Total spin conservation

|C^{zz}_{L/2}| \sim 1/4(L-1)

\(\ket{R} = \sum_{s= 1}^{\mathcal{N}} a_s \ket{s}\), \(\ket{s} = \ket{\uparrow, \downarrow, \dots}\),\( |a_s|^2\propto\frac{1}{\mathcal{N}}\)

\xi_z \rightarrow \infty

Power-law

JC, F. Alet, N. Laflorencie, PRL 133 and  PRB 110, (2024)

3

3

21

 \(C_{r}^{\alpha\alpha} = \langle S_i^{\alpha} S_{i+r}^{\alpha} \rangle  - \langle S_i^{\alpha} \rangle \langle S_{i+r}^{\alpha} \rangle\)

\(\xi_{\mathrm{MBA}}\)

COLBOIS | INSTABILITIES AND MBL |  05.2025

Ergodic typical eigenstate = random vector

Anderson localized \(\Delta = 0\)

\(\xi_x \approx 2 \xi_z\) : XX correlations dominate

Random vector

  • bulk decay matches mid-chain decay
  • good proxy for the localization length

Two simple limits

Total spin conservation

|C^{zz}_{L/2}| \sim 1/4(L-1)

\(\ket{R} = \sum_{s= 1}^{\mathcal{N}} a_s \ket{s}\), \(\ket{s} = \ket{\uparrow, \downarrow, \dots}\),\( |a_s|^2\propto\frac{1}{\mathcal{N}}\)

\xi_z \rightarrow \infty

Power-law

Random state : XX

|C^{xx}_{L/2}| \propto 2^{-L/2}

\(\bra{R} S_i^{+} S_j^{-} \ket{R}\)

\(= \sum_{s} a_s a_{\mathrm{flip}(s)}\) \(\propto \frac{ \sqrt{\mathcal{N}}}{\mathcal{N}}\)

JC, F. Alet, N. Laflorencie, PRL 133 and  PRB 110, (2024)

3

3

21

 \(C_{r}^{\alpha\alpha} = \langle S_i^{\alpha} S_{i+r}^{\alpha} \rangle  - \langle S_i^{\alpha} \rangle \langle S_{i+r}^{\alpha} \rangle\)

\(\xi_{\mathrm{MBA}}\)

COLBOIS | INSTABILITIES AND MBL |  05.2025

Ergodic typical eigenstate = random vector

Anderson localized \(\Delta = 0\)

\(\xi_x \approx 2 \xi_z\) : XX correlations dominate

Random vector

  • bulk decay matches mid-chain decay
  • good proxy for the localization length

Two simple limits

Total spin conservation

|C^{zz}_{L/2}| \sim 1/4(L-1)

\(\ket{R} = \sum_{s= 1}^{\mathcal{N}} a_s \ket{s}\), \(\ket{s} = \ket{\uparrow, \downarrow, \dots}\),\( |a_s|^2\propto\frac{1}{\mathcal{N}}\)

|C^{xx}_{L/2}| \propto 2^{-L/2}
\xi_z \rightarrow \infty

finite \(\xi_x\)

Power-law

Random state : XX

\(\bra{R} S_i^{+} S_j^{-} \ket{R}\)

\(= \sum_{s} a_s a_{\mathrm{flip}(s)}\) \(\propto \frac{ \sqrt{\mathcal{N}}}{\mathcal{N}}\)

JC, F. Alet, N. Laflorencie, PRL 133 and  PRB 110, (2024)

3

3

21

 \(C_{r}^{\alpha\alpha} = \langle S_i^{\alpha} S_{i+r}^{\alpha} \rangle  - \langle S_i^{\alpha} \rangle \langle S_{i+r}^{\alpha} \rangle\)

\(\xi_{\mathrm{MBA}}\)

COLBOIS | INSTABILITIES AND MBL |  05.2025

Ergodic typical eigenstate = random vector

Anderson localized \(\Delta = 0\)

\(\xi_x \approx 2 \xi_z\) : XX correlations dominate

Random vector

  • bulk decay matches mid-chain decay
  • good proxy for the localization length

Two simple limits

Total spin conservation

Random state : XX

|C^{zz}_{L/2}| \sim 1/4(L-1)

\(\ket{R} = \sum_{s= 1}^{\mathcal{N}} a_s \ket{s}\), \(\ket{s} = \ket{\uparrow, \downarrow, \dots}\),\( |a_s|^2\propto\frac{1}{\mathcal{N}}\)

|C^{xx}_{L/2}| \propto 2^{-L/2}
\xi_z \rightarrow \infty

finite \(\xi_x\)

Power-law

ZZ correlations dominate

\(\bra{R} S_i^{+} S_j^{-} \ket{R}\)

\(= \sum_{s} a_s a_{\mathrm{flip}(s)}\) \(\propto \frac{ \sqrt{\mathcal{N}}}{\mathcal{N}}\)

JC, F. Alet, N. Laflorencie, PRL 133 and  PRB 110, (2024)

3

3

21

 \(C_{r}^{\alpha\alpha} = \langle S_i^{\alpha} S_{i+r}^{\alpha} \rangle  - \langle S_i^{\alpha} \rangle \langle S_{i+r}^{\alpha} \rangle\)

\(\xi_{\mathrm{MBA}}\)

COLBOIS | INSTABILITIES AND MBL |  05.2025

Ergodic typical eigenstate = random vector

Anderson localized \(\Delta = 0\)

\(\xi_x \approx 2 \xi_z\) : XX correlations dominate

ZZ correlations dominate

|C^{xx}_{L/2}| \propto 2^{-L/2}
|C^{xx}_{L/2}| \propto e^{-L/\xi_x}

Random vector

XXZ, \(h = 1, \Delta = 1\)

|C^{zz}_{L/2}| \sim 1/4(L + \ell_0)
\xi_z \rightarrow \infty

finite \(\xi_x\)

  • bulk decay matches mid-chain decay
  • good proxy for the localization length

Two simple limits

|C^{zz}_{L/2}| \sim 1/4(L-1)

JC, F. Alet, N. Laflorencie, PRL 133 and  PRB 110, (2024)

3

3

21

 \(C_{r}^{\alpha\alpha} = \langle S_i^{\alpha} S_{i+r}^{\alpha} \rangle  - \langle S_i^{\alpha} \rangle \langle S_{i+r}^{\alpha} \rangle\)

\(\xi_{\mathrm{MBA}}\)

Expectation  : drastic change across the phase diagram

COLBOIS | INSTABILITIES AND MBL |  05.2025

\(h/J \)

Ergodic

MBL

\(\Delta/J\)

JC, F. Alet, N. Laflorencie, PRL 133, 116502 (2024)

3

3

22

 \(C_{L/2}^{\alpha\alpha} = \langle S_i^{\alpha} S_{i+L/2}^{\alpha} \rangle  - \langle S_i^{\alpha} \rangle \langle S_{i+L/2}^{\alpha} \rangle\)

Expectation  : drastic change across the phase diagram

COLBOIS | INSTABILITIES AND MBL |  05.2025

\(h/J \)

Ergodic

MBL

\(\Delta/J\)

ZZ correlations dominate

JC, F. Alet, N. Laflorencie, PRL 133, 116502 (2024)

3

3

22

 \(C_{L/2}^{\alpha\alpha} = \langle S_i^{\alpha} S_{i+L/2}^{\alpha} \rangle  - \langle S_i^{\alpha} \rangle \langle S_{i+L/2}^{\alpha} \rangle\)

Expectation  : drastic change across the phase diagram

COLBOIS | INSTABILITIES AND MBL |  05.2025

\(h/J \)

Ergodic

MBL

\(\Delta/J\)

\(\xi_x \approx 2 \xi_z\)

XX correlations dominate

ZZ correlations dominate

JC, F. Alet, N. Laflorencie, PRL 133, 116502 (2024)

3

3

22

 \(C_{L/2}^{\alpha\alpha} = \langle S_i^{\alpha} S_{i+L/2}^{\alpha} \rangle  - \langle S_i^{\alpha} \rangle \langle S_{i+L/2}^{\alpha} \rangle\)

Expectation  : drastic change across the phase diagram

COLBOIS | INSTABILITIES AND MBL |  05.2025

\(h/J \)

Ergodic

MBL

\(\Delta/J\)

\(\xi_x \approx 2 \xi_z\)

XX correlations dominate

ZZ correlations dominate

Inversion !

JC, F. Alet, N. Laflorencie, PRL 133, 116502 (2024)

3

3

22

 \(C_{L/2}^{\alpha\alpha} = \langle S_i^{\alpha} S_{i+L/2}^{\alpha} \rangle  - \langle S_i^{\alpha} \rangle \langle S_{i+L/2}^{\alpha} \rangle\)

Heisenberg line

COLBOIS | INSTABILITIES AND MBL |  05.2025

JC, F. Alet, N. Laflorencie, PRL 133, 116502 (2024)

3

3

23

Heisenberg line

COLBOIS | INSTABILITIES AND MBL |  05.2025

Extrapolated \(h_c\)

JC, F. Alet, N. Laflorencie, PRL 133, 116502 (2024)

3

3

23

Heisenberg line

COLBOIS | INSTABILITIES AND MBL |  05.2025

Extrapolated \(h_c\)

\(\xi_x > \xi_z\)

JC, F. Alet, N. Laflorencie, PRL 133, 116502 (2024)

3

3

23

Heisenberg line

COLBOIS | INSTABILITIES AND MBL |  05.2025

\(\xi_x > \xi_z\)

Inversion

Extrapolated \(h_c\)

JC, F. Alet, N. Laflorencie, PRL 133, 116502 (2024)

3

3

23

Heisenberg line

COLBOIS | INSTABILITIES AND MBL |  05.2025

\(\xi_x > \xi_z\)

Inversion

Extrapolated \(h_c\)

\(\xi_z \rightarrow \infty\)

JC, F. Alet, N. Laflorencie, PRL 133, 116502 (2024)

3

3

23

Heisenberg line - look carefully

COLBOIS | INSTABILITIES AND MBL |  05.2025

\(\xi_x > \xi_z\)

Inversion

Extrapolated \(h_c\)

\(\xi_z \rightarrow \infty\)

JC, F. Alet, N. Laflorencie, PRL 133, 116502 (2024)

3

3

24

COLBOIS | INSTABILITIES AND MBL |  05.2025

\(\xi_x > \xi_z\)

Inversion

Extrapolated \(h_c\)

\(\xi_z \rightarrow \infty\)

JC, F. Alet, N. Laflorencie, PRL 133, 116502 (2024)

3

3

24

Heisenberg line - look carefully

Vertical cut

\(\Delta/J\)

\(h/J \)

Ergodic

MBL

\(\Delta/J\)

\(h/J \)

Ergodic

MBL

COLBOIS | INSTABILITIES AND MBL |  05.2025

JC, F. Alet, N. Laflorencie, PRL 133, 116502 (2024)

Ergodic

3

3

25

Vertical cut

\(\Delta/J\)

\(h/J \)

Ergodic

MBL

\(\Delta/J\)

\(h/J \)

Ergodic

MBL

COLBOIS | INSTABILITIES AND MBL |  05.2025

  1. \(\xi_{z,x}\) very short
  2. Directly connected to AL values
  3.  Flat  \(\xi_x\), fast  increase of \(\xi_z\)
  4. Instability

Ergodic

JC, F. Alet, N. Laflorencie, PRL 133, 116502 (2024)

3

3

25

COLBOIS | INSTABILITIES AND MBL |  05.2025

Conclusion

JC, F. Alet, N. Laflorencie, PRL 133, 116502 (2024)

3

3

26

1) Ergodic instability

Below \(h^{\star} \sim 2-3\), the Anderson insulator immediately turns ergodic for \(\Delta > 0\)

COLBOIS | INSTABILITIES AND MBL |  05.2025

Conclusion

JC, F. Alet, N. Laflorencie, PRL 133, 116502 (2024)

3

3

26

1) Ergodic instability

Below \(h^{\star} \sim 2-3\), the Anderson insulator immediately turns ergodic for \(\Delta > 0\)

COLBOIS | INSTABILITIES AND MBL |  05.2025

Conclusion

  • /!\ We cannot say that our results validate avalanche theory (there could be other mechanisms)
  • Finite-size effects work "in our favor"!

JC, F. Alet, N. Laflorencie, PRL 133, 116502 (2024)

3

3

26

Conclusion

1) Ergodic instability

Below \(h^{\star} \sim 2-3\), the Anderson insulator immediately turns ergodic for \(\Delta > 0\)

COLBOIS | INSTABILITIES AND MBL |  05.2025

JC, F. Alet, N. Laflorencie, PRL 133, 116502 (2024)

3

3

26

2) Extrapolated transition

Standard estimates lead to an extrapolated transition line \(h_c(\Delta)\)

Conclusion

3) Deep MBL

MBL and AL are connected from the point of view of correlations \(\xi_z, \xi_x\) at weak interactions

1) Ergodic instability

Below \(h^{\star} \sim 2-3\), the Anderson insulator immediately turns ergodic for \(\Delta > 0\)

COLBOIS | INSTABILITIES AND MBL |  05.2025

JC, F. Alet, N. Laflorencie, PRL 133, 116502 (2024)

3

3

26

2) Extrapolated transition

Standard estimates lead to an extrapolated transition line \(h_c(\Delta)\)

Conclusion

1) Ergodic instability

Below \(h^{\star} \sim 2-3\), the Anderson insulator immediately turns ergodic for \(\Delta > 0\)

4) Instabilities of the correlation length : what do they probe ?  

JC, F. Alet, N. Laflorencie, PRB 110, (2024)

N. Laflorencie, JC, F. Alet, arXiv (2025)

3) Deep MBL

MBL and AL are connected from the point of view of correlations \(\xi_z, \xi_x\) at weak interactions

COLBOIS | INSTABILITIES AND MBL |  05.2025

JC, F. Alet, N. Laflorencie, PRL 133, 116502 (2024)

3

3

26

2) Extrapolated transition

Standard estimates lead to an extrapolated transition line \(h_c(\Delta)\)

Conclusion

1) Ergodic instability

Below \(h^{\star} \sim 2-3\), the Anderson insulator immediately turns ergodic for \(\Delta > 0\)

2) Extrapolated transition

Standard estimates lead to an extrapolated transition line \(h_c(\Delta)\)

4) Instabilities of the correlation length : what do they probe ?  

3) Deep MBL

MBL and AL are connected from the point of view of correlations \(\xi_z, \xi_x\) at weak interactions

COLBOIS | INSTABILITIES AND MBL |  05.2025

Thank you !

JC, F. Alet, N. Laflorencie, PRB 110, (2024)

N. Laflorencie, JC, F. Alet, arXiv (2025)

3

3

26

JC, F. Alet, N. Laflorencie, PRL 133, 116502 (2024)

Dynamics

Dynamics

Anderson

No growth

of entanglement

J. H. Bardarson, F. Pollmann, and J. E. Moore, PRL 109, 017202 (2012)

M. Znidaric, T. Prosen, and P. Prelovsek PRB 77, 064426 (2008)

Log growth

of entanglement

Initial \(S^z\) basis random product state

+

TEBD

 

W = 5

D. Luitz, N. Laflorencie, F. Alet (2016)

Sierant and Zakrewski (2022)

Other probes

Some eigenstate

J. C., N. Laflorencie, PRB (2023)

\(|\langle S_i^{z}\rangle| < 1/2\)

\delta_i = 1/2 -| \langle S_i^z \rangle|
\delta_{\rm min} = 1/2 -\max_{i}| \langle S_i^z \rangle|

A simple many-body effect : Maximal magnetization?

Anderson chain / XX chain

Chain breaking

Dupont, Macé, Laflorencie, PRB 100, 134201, (2019)

Laflorencie, Lemarié, Macé, PRR 2, 042033(R), (2020)

JC, Laflorencie, PRB 108, 144206 (2023)

Toy model:

\delta^{\mathrm{typ}}_{\min} \approx L^{-\frac{1}{2\xi \ln2}}
\delta_{\rm min}^{\rm typ} = \exp(\overline{\ln \delta_{\min}})
\delta_{\rm min} = 1/2 -\max_{i}| \langle S_i^z \rangle|

SPIN FREEZING !

CHAIN BREAKING !

Participation entropy

Macé et al (2019)

Colbois, Alet, Laflorencie (2024)

Participation entropy

Phenomenology,  theory and challenges

De Roeck & Huveneers 2017, Luitz, De Roeck & Huveneers 2017, Thiery et al 2018; Crowley and Chandran 2020

Condition for spin at \(r\) to relax thanks to the grain:

\Gamma \sim e^{-r/\zeta} \gg \delta_{\rm eff} \sim 2^{-(n_0+2r)}
\zeta > \zeta_{\rm av.}

Avalanche criterion:

Instabilities : Avalanches

Question:

Does the seed hybridize (absorb) the l-bits?

 

Answer: it depends on

 

(1) \(V_{ij}\) the matrix element coupling the seed to the l-bit

(2) \(1/ \rho\) the level spacing.

Typically \(V_{ij} \gg 1/\rho\).

The challenge is to quantify this, see Crowley and Chandran.

L-bits models

  • quasi-local integrals of motion
  • In spin models : dressed physical on-site Pauli spin operators
  • in fermionic models : Anderson orbitals dressed by local electron-hole excitations
  • "dressed" = quasilocal, finite-depth, unitary transformation (ideally, that diagonalizes H).
  • MODEL : instead of finding U, H', we define U (finite-depth circuit of 2-site gates) and H'

 

 

 

 

 

 

DEEP MBL :

  • strong overlap with physical dofs -> constants of motion
\tau_i^{z} := U \sigma_i^{z} U ^{\dagger}
H' = \sum_i h_i \tau_i^z + \sum_{i,j} J_{i,j} \tau_i^z \tau_j^z + \sum_{i,j,k} J_{i,j,k} \tau_i^{z} \tau_{j}^{z}\tau_{k}^{z}
  • investigate to what extent the growth of number entropy can be explained directly whithin the phenomenology of MBL
  • directly work with an effecting l-bits model:
    • expontentially decaying support
    • exponentially decaying interactions
  • is particle transport entirely absent in an l-bit model ?

 

  • ultra-slow growth, saturating in finite systems at a subextensive value increasing with system size

Landmarks

Other weak interactions results

Other spatial correlations results

COLBOIS | INSTABILITIES AND MBL |  05.2025

Model : t-V with usual XXZ units, except V = 2t

COLBOIS | INSTABILITIES AND MBL |  05.2025

Instabilities and many-body localization in the Random-Field XXZ chain

By Jeanne Colbois

Instabilities and many-body localization in the Random-Field XXZ chain

Invited talk - Quantum Thermalization - Garching

  • 295