Tensor networks for frustrated Ising models,

and partial lifting of a macroscopic degeneracy

JC et al., arXiv:2206.11788 (2022)

B. Vanhecke, JC, et al., Phys. Rev. Research 3 (2021)

Jeanne Colbois

Laboratoire de Physique Théorique, Université de Toulouse CNRS/UPS, France

Laurens Vanderstraeten

Bram Vanhecke

Frank Verstraete

Ghent University (Ghent, Belgium)

Andrew Smerald,

 

KIT (Germany)

Frédéric Mila, EPFL (Lausanne, Switzerland)

CMT Seminar, Göttingen, 25.06.2022

Laurens Vanderstraeten

Bram Vanhecke

Frank Verstraete

Ghent University (Ghent, Belgium)

Andrew Smerald,

 

KIT (Germany)

Frédéric Mila, EPFL (Lausanne, Switzerland)

CMT Seminar, Göttingen, 25.06.2022

CMT Seminar, Göttingen, 25.06.2022

CMT Seminar, Göttingen, 25.06.2022

CMT Seminar, Göttingen, 25.06.2022

CMT Seminar, Göttingen, 25.06.2022

Tensor networks for frustrated Ising models,

and partial lifting of a macroscopic degeneracy

JC et al., arXiv:2206.11788 (2022)

B. Vanhecke, JC, et al., Phys. Rev. Research 3 (2021)

Jeanne Colbois

Laboratoire de Physique Théorique, Université de Toulouse CNRS/UPS, France

CMT Seminar, Göttingen, 25.06.2022

Laurens Vanderstraeten

Bram Vanhecke

Frank Verstraete

Ghent University (Ghent, Belgium)

Andrew Smerald,

 

KIT (Germany)

Frédéric Mila, EPFL (Lausanne, Switzerland)

Scope

CMT SEMINAR, GÖTTINGEN, 06.2022  /  TNS FOR FRUSTRATED ISING MODELS AND PARTIAL LIFTING OF GS DEG.

Frustration and motivation: artificial spin systems

A model with several macroscopically degenerate phases

Tensor networks for frustrated Ising models

Proving the ground-state energy?

1

Scope

CMT SEMINAR, GÖTTINGEN, 06.2022  /  TNS FOR FRUSTRATED ISING MODELS AND PARTIAL LIFTING OF GS DEG.

Frustration and motivation: artificial spin systems

A model with several macroscopically degenerate phases

Tensor networks for frustrated Ising models

Proving the ground-state energy?

> Why study frustrated Ising models?

1

Scope

CMT SEMINAR, GÖTTINGEN, 06.2022  /  TNS FOR FRUSTRATED ISING MODELS AND PARTIAL LIFTING OF GS DEG.

Frustration and motivation: artificial spin systems

A model with several macroscopically degenerate phases

Tensor networks for frustrated Ising models

Proving the ground-state energy?

> Why study frustrated Ising models?

> Can we obtain exact results? An approach from the 60's

1

Scope

CMT SEMINAR, GÖTTINGEN, 06.2022  /  TNS FOR FRUSTRATED ISING MODELS AND PARTIAL LIFTING OF GS DEG.

Frustration and motivation: artificial spin systems

A model with several macroscopically degenerate phases

Tensor networks for frustrated Ising models

Proving the ground-state energy?

> Why study frustrated Ising models?

> Can we obtain exact results? An approach from the 60's

> A problem  of contraction

> To be solved by implementing the local ground-state rule

1

Scope

CMT SEMINAR, GÖTTINGEN, 06.2022  /  TNS FOR FRUSTRATED ISING MODELS AND PARTIAL LIFTING OF GS DEG.

Frustration and motivation: artificial spin systems

A model with several macroscopically degenerate phases

Tensor networks for frustrated Ising models

Proving the ground-state energy?

> Why study frustrated Ising models?

> Can we obtain exact results? An approach from the 60's

> A problem  of contraction

> To be solved by implementing the local ground-state rule

> In contrast to what is usually expected in frustrated models

> Some understanding of emergent degrees-of-freedom

1

J. Colbois

H = J\sum_{\langle i,j \rangle} \sigma_i \sigma_j \qquad \sigma_i = \pm 1

Frustration

J. Colbois

CMT SEMINAR, GÖTTINGEN, 06.2022  /  TNS FOR FRUSTRATED ISING MODELS AND PARTIAL LIFTING OF GS DEG.

2

H = J\sum_{\langle i,j \rangle} \sigma_i \sigma_j \qquad \sigma_i = \pm 1

Frustration

J. Colbois

CMT SEMINAR, GÖTTINGEN, 06.2022  /  TNS FOR FRUSTRATED ISING MODELS AND PARTIAL LIFTING OF GS DEG.

2

2-up 1-down (UUD),

2-down 1-up (DDU)

H = J\sum_{\langle i,j \rangle} \sigma_i \sigma_j \qquad \sigma_i = \pm 1

Frustration

d_{i,j} = \sigma_i \sigma_j

J. Colbois

CMT SEMINAR, GÖTTINGEN, 06.2022  /  TNS FOR FRUSTRATED ISING MODELS AND PARTIAL LIFTING OF GS DEG.

2

2-up 1-down (UUD),

2-down 1-up (DDU)

H = J\sum_{\langle i,j \rangle} \sigma_i \sigma_j \qquad \sigma_i = \pm 1

Frustration

d_{i,j} = \sigma_i \sigma_j

J. Colbois

CMT SEMINAR, GÖTTINGEN, 06.2022  /  TNS FOR FRUSTRATED ISING MODELS AND PARTIAL LIFTING OF GS DEG.

2-up 1-down (UUD),

2-down 1-up (DDU)

2

H = J\sum_{\langle i,j \rangle} \sigma_i \sigma_j \qquad \sigma_i = \pm 1

Frustration

W_{G.S.} = \# \text{ configurations } \gtrsim 2^{N/3}
d_{i,j} = \sigma_i \sigma_j

J. Colbois

CMT SEMINAR, GÖTTINGEN, 06.2022  /  TNS FOR FRUSTRATED ISING MODELS AND PARTIAL LIFTING OF GS DEG.

2-up 1-down (UUD),

2-down 1-up (DDU)

2

H = J\sum_{\langle i,j \rangle} \sigma_i \sigma_j \qquad \sigma_i = \pm 1

Frustration

W_{G.S.} = \# \text{ configurations } \gtrsim 2^{N/3}
S := \lim_{N \rightarrow \infty} \frac{\ln(W_{\text{G.S.}})}{N}
d_{i,j} = \sigma_i \sigma_j

J. Colbois

CMT SEMINAR, GÖTTINGEN, 06.2022  /  TNS FOR FRUSTRATED ISING MODELS AND PARTIAL LIFTING OF GS DEG.

2-up 1-down (UUD),

2-down 1-up (DDU)

2

H = J\sum_{\langle i,j \rangle} \sigma_i \sigma_j \qquad \sigma_i = \pm 1

Frustration

S = 0.3230659...
S = 0.501833...

G.H. Wannier, PR 79, (1950, 1973)

K. Kano and S. Naya, Prog. Theor. Phys. 10, (1953)

W_{G.S.} = \# \text{ configurations } \gtrsim 2^{N/3}
d_{i,j} = \sigma_i \sigma_j

J. Colbois

CMT SEMINAR, GÖTTINGEN, 06.2022  /  TNS FOR FRUSTRATED ISING MODELS AND PARTIAL LIFTING OF GS DEG.

S := \lim_{N \rightarrow \infty} \frac{\ln(W_{\text{G.S.}})}{N}

2-up 1-down (UUD),

2-down 1-up (DDU)

2

H = J\sum_{\langle i,j \rangle} \sigma_i \sigma_j \qquad \sigma_i = \pm 1

Frustration

S = 0.3230659...
\xi = 1.2506...

G.H. Wannier, PR 79, (1950, 1973)

A. Sütö, Z. Phys. B 44, (1981)

W. Apel, H.-U. Everts, J. Stat. Mech, (2011)

W_{G.S.} = \# \text{ configurations } \gtrsim 2^{N/3}
d_{i,j} = \sigma_i \sigma_j

J. Colbois

CMT SEMINAR, GÖTTINGEN, 06.2022  /  TNS FOR FRUSTRATED ISING MODELS AND PARTIAL LIFTING OF GS DEG.

S := \lim_{N \rightarrow \infty} \frac{\ln(W_{\text{G.S.}})}{N}

2-up 1-down (UUD),

2-down 1-up (DDU)

2

Artificial spin systems

J. Colbois

CMT SEMINAR, GÖTTINGEN, 06.2022  /  TNS FOR FRUSTRATED ISING MODELS AND PARTIAL LIFTING OF GS DEG.

H = J \sum_{\langle i,j\rangle} \vec{e}_i \cdot \vec{e}_j \sigma_i \sigma_j + D \sum_{(i,j)}\left(\frac{\vec{e_i} \cdot \vec{e_j}}{|\vec{r}_{ij}|^3} - \frac{3(\vec{e}_i \cdot \vec{r}_{ij})(\vec{e}_j \cdot \vec{r}_{ij})}{|\vec{r}_{ij}|^5}\right)\sigma_i \sigma_j

In-plane

Anghinolfi et al.,

Nat. Commun. 6, (2015)

3

H = J \sum_{\langle i,j\rangle} \vec{e}_i \cdot \vec{e}_j \sigma_i \sigma_j + D \sum_{(i,j)}\left(\frac{\vec{e_i} \cdot \vec{e_j}}{|\vec{r}_{ij}|^3} - \frac{3(\vec{e}_i \cdot \vec{r}_{ij})(\vec{e}_j \cdot \vec{r}_{ij})}{|\vec{r}_{ij}|^5}\right)\sigma_i \sigma_j

Artificial spin systems

H = J \sum_{\langle i, j \rangle } \sigma_i \sigma_j + D \sum_{(i,j)} \frac{\sigma_i \sigma_j}{r_{ij}^3}

Chioar et al., PRB 90, (2014)

TbCo

In-plane

Out-of-plane

J. Colbois

CMT SEMINAR, GÖTTINGEN, 06.2022  /  TNS FOR FRUSTRATED ISING MODELS AND PARTIAL LIFTING OF GS DEG.

Anghinolfi et al.,

Nat. Commun. 6, (2015)

3

Dipolar kagome Ising antiferromagnet (DKIAFM)

 

I. A. Chioar, N. Rougemaille, B. Canals, PRB 93, (2016)

J. Hamp, C. Castelnovo, R. Moessner, PRB 98, (2018)

L. Cugliandolo, L. Foini, M. Tarzia, PRB 101 (2020)

4

J. Colbois

CMT SEMINAR, GÖTTINGEN, 06.2022  /  TNS FOR FRUSTRATED ISING MODELS AND PARTIAL LIFTING OF GS DEG.

H = J \sum_{\langle i, j \rangle } \sigma_i \sigma_j + D \sum_{(i,j)} \frac{\sigma_i \sigma_j}{r_{ij}^3}

Chioar et al., PRB 90, (2014)

Dipolar kagome Ising antiferromagnet (DKIAFM)

J. Colbois

CMT SEMINAR, GÖTTINGEN, 06.2022  /  TNS FOR FRUSTRATED ISING MODELS AND PARTIAL LIFTING OF GS DEG.

 

I. A. Chioar, N. Rougemaille, B. Canals, PRB 93, (2016)

J. Hamp, C. Castelnovo, R. Moessner, PRB 98, (2018)

L. Cugliandolo, L. Foini, M. Tarzia, PRB 101 (2020)

H = J \sum_{\langle i, j \rangle } \sigma_i \sigma_j + D \sum_{(i,j)} \frac{\sigma_i \sigma_j}{r_{ij}^3}

Chioar et al., PRB 90, (2014)

4

Dipolar kagome Ising antiferromagnet (DKIAFM)

J. Colbois

CMT SEMINAR, GÖTTINGEN, 06.2022  /  TNS FOR FRUSTRATED ISING MODELS AND PARTIAL LIFTING OF GS DEG.

 

I. A. Chioar, N. Rougemaille, B. Canals, PRB 93, (2016)

J. Hamp, C. Castelnovo, R. Moessner, PRB 98, (2018)

L. Cugliandolo, L. Foini, M. Tarzia, PRB 101 (2020)

H = J \sum_{\langle i, j \rangle } \sigma_i \sigma_j + D \sum_{(i,j)} \frac{\sigma_i \sigma_j}{r_{ij}^3}

Chioar et al., PRB 90, (2014)

4

Dipolar kagome Ising antiferromagnet (DKIAFM)

(How) Does the degeneracy get lifted?

J. Colbois

CMT SEMINAR, GÖTTINGEN, 06.2022  /  TNS FOR FRUSTRATED ISING MODELS AND PARTIAL LIFTING OF GS DEG.

 

I. A. Chioar, N. Rougemaille, B. Canals, PRB 93, (2016)

J. Hamp, C. Castelnovo, R. Moessner, PRB 98, (2018)

L. Cugliandolo, L. Foini, M. Tarzia, PRB 101 (2020)

H = J \sum_{\langle i, j \rangle } \sigma_i \sigma_j + D \sum_{(i,j)} \frac{\sigma_i \sigma_j}{r_{ij}^3}

Chioar et al., PRB 90, (2014)

4

Expectations (1)

J. Colbois

CMT SEMINAR, GÖTTINGEN, 06.2022  /  TNS FOR FRUSTRATED ISING MODELS AND PARTIAL LIFTING OF GS DEG.

(How) Does the degeneracy get lifted?

5

The macroscopic g.s. degeneracy gets completely lifted by second-neighbor interactions.

Expectations (1)

J. Colbois

CMT SEMINAR, GÖTTINGEN, 06.2022  /  TNS FOR FRUSTRATED ISING MODELS AND PARTIAL LIFTING OF GS DEG.

(How) Does the degeneracy get lifted?

The macroscopic g.s. degeneracy gets completely lifted by second-neighbor interactions.

 

T. Takagi and M. Mekata,  JSPS 62, (1993)

A. Wills, R. Ballou, C. Lacroix, PRB 66 , (2002)

5

Expectations (1)

J. Colbois

CMT SEMINAR, GÖTTINGEN, 06.2022  /  TNS FOR FRUSTRATED ISING MODELS AND PARTIAL LIFTING OF GS DEG.

(How) Does the degeneracy get lifted?

The macroscopic degeneracy can survive in the presence of third-neighbor interactions but only at very fine-tuned points.

The macroscopic g.s. degeneracy gets completely lifted by second-neighbor interactions.

 

T. Takagi and M. Mekata,  JSPS 62, (1993)

A. Wills, R. Ballou, C. Lacroix, PRB 66 , (2002)

5

Expectations (1)

J. Colbois

CMT SEMINAR, GÖTTINGEN, 06.2022  /  TNS FOR FRUSTRATED ISING MODELS AND PARTIAL LIFTING OF GS DEG.

(How) Does the degeneracy get lifted?

J_2 = J_3

The macroscopic degeneracy can survive in the presence of third-neighbor interactions but only at very fine-tuned points.

The macroscopic g.s. degeneracy gets completely lifted by second-neighbor interactions.

5

The macroscopic g.s. degeneracy gets completely lifted by second-neighbor interactions.

Expectations (1) vs reality

J. Colbois

CMT SEMINAR, GÖTTINGEN, 06.2022  /  TNS FOR FRUSTRATED ISING MODELS AND PARTIAL LIFTING OF GS DEG.

(How) Does the degeneracy get lifted?

6

 

T. Takagi and M. Mekata,  JSPS 62, (1993)

A. Wills, R. Ballou, C. Lacroix, PRB 66, (2002)

 

The macroscopic g.s. degeneracy gets completely lifted by second-neighbor interactions.

Expectations (1) vs reality

J. Colbois

CMT SEMINAR, GÖTTINGEN, 06.2022  /  TNS FOR FRUSTRATED ISING MODELS AND PARTIAL LIFTING OF GS DEG.

(How) Does the degeneracy get lifted?

J_2 < 0

 

T. Takagi and M. Mekata,  JSPS 62, (1993)

A. Wills, R. Ballou, C. Lacroix, PRB 66, (2002)

J. Hamp, C. Castelnovo, R. Moessner, PRB 98, (2018)

JC, K. Hofhuis, et al., PRB 104, (2022)

6

The macroscopic g.s. degeneracy gets completely lifted by second-neighbor interactions.

Expectations (1) vs reality

J. Colbois

CMT SEMINAR, GÖTTINGEN, 06.2022  /  TNS FOR FRUSTRATED ISING MODELS AND PARTIAL LIFTING OF GS DEG.

(How) Does the degeneracy get lifted?

 

T. Takagi and M. Mekata,  JSPS 62, (1993)

A. Wills, R. Ballou, C. Lacroix, PRB 66, (2002)

J. Hamp, C. Castelnovo, R. Moessner, PRB 98, (2018)

JC, K. Hofhuis, et al., PRB 104, (2022)

J_2 < 0
J_2 > 0

6

Expectations (1) vs reality

J. Colbois

CMT SEMINAR, GÖTTINGEN, 06.2022  /  TNS FOR FRUSTRATED ISING MODELS AND PARTIAL LIFTING OF GS DEG.

(How) Does the degeneracy get lifted?

7

The macroscopic degeneracy can survive in the presence of third-neighbor interactions but only at very fine-tuned points.

J_2 = J_3

Expectations (1) vs reality

J. Colbois

CMT SEMINAR, GÖTTINGEN, 06.2022  /  TNS FOR FRUSTRATED ISING MODELS AND PARTIAL LIFTING OF GS DEG.

(How) Does the degeneracy get lifted?

The macroscopic degeneracy can survive in the presence of third-neighbor interactions but only at very fine-tuned points.

J_2 = J_3

 

This talk: a series of macroscopically degenerate phases

7

Short-range model and questions

8

J. Colbois

CMT SEMINAR, GÖTTINGEN, 06.2022  /  TNS FOR FRUSTRATED ISING MODELS AND PARTIAL LIFTING OF GS DEG.

H = J \sum_{\langle i, j \rangle } \sigma_i \sigma_j + D \sum_{(i,j)} \frac{\sigma_i \sigma_j}{r_{ij}^3}

Chioar et al., PRB 90, (2014)

H =
J_2 \sum_{\langle i,j \rangle_{2}} \sigma_i \sigma_j
J_{3} \sum_{\langle i,j \rangle_{3||}} \sigma_i \sigma_j
J_{3} \sum_{\langle i,j \rangle_{3\star}} \sigma_i \sigma_j
+
+
+
J_1 \sum_{\langle i,j \rangle_1} \sigma_i \sigma_j

Short-range model and questions

J. Colbois

CMT SEMINAR, GÖTTINGEN, 06.2022  /  TNS FOR FRUSTRATED ISING MODELS AND PARTIAL LIFTING OF GS DEG.

H = J \sum_{\langle i, j \rangle } \sigma_i \sigma_j + D \sum_{(i,j)} \frac{\sigma_i \sigma_j}{r_{ij}^3}

Chioar et al., PRB 90, (2014)

H =
J_2 \sum_{\langle i,j \rangle_{2}} \sigma_i \sigma_j
J_{3} \sum_{\langle i,j \rangle_{3||}} \sigma_i \sigma_j
J_{3} \sum_{\langle i,j \rangle_{3\star}} \sigma_i \sigma_j
+
+
+
J_1 \sum_{\langle i,j \rangle_1} \sigma_i \sigma_j
  • Proving the ground-state energy?
  • Evaluating the residual entropy precisely?

8

Expectations (2)

Ising model  = easy to solve?

J. Colbois

CMT SEMINAR, GÖTTINGEN, 06.2022  /  TNS FOR FRUSTRATED ISING MODELS AND PARTIAL LIFTING OF GS DEG.

9

Ising model  = easy to solve?

  • The long-range model is challenging (~300 spins) (glassy behavior)

 

I. A. Chioar, N. Rougemaille, B. Canals, PRB 93, (2016)

J. Hamp, C. Castelnovo, R. Moessner, PRB 98, (2018)

L. Cugliandolo, L. Foini, M. Tarzia, PRB 101 (2020)

J. Colbois

CMT SEMINAR, GÖTTINGEN, 06.2022  /  TNS FOR FRUSTRATED ISING MODELS AND PARTIAL LIFTING OF GS DEG.

Expectations (2) vs reality

9

Ising model  = easy to solve?

  • The long-range model is challenging (~300 spins) (glassy behavior)

 

I. A. Chioar, N. Rougemaille, B. Canals, PRB 93, (2016)

J. Hamp, C. Castelnovo, R. Moessner, PRB 98, (2018)

L. Cugliandolo, L. Foini, M. Tarzia, PRB 101 (2020)

J. Hamp, C. Castelnovo, R. Moessner, PRB 98, (2018)

J. Colbois

CMT SEMINAR, GÖTTINGEN, 06.2022  /  TNS FOR FRUSTRATED ISING MODELS AND PARTIAL LIFTING OF GS DEG.

Expectations (2) vs reality

  • Short-range model :
    • MC falls out-of-equilibrium
    • Negative results from simple Pauling estimates

9

Proving the ground-state energy

CMT SEMINAR, GÖTTINGEN, 06.2022  /  TNS FOR FRUSTRATED ISING MODELS AND PARTIAL LIFTING OF GS DEG.

Kanamori's method

10

J. Colbois

CMT SEMINAR, GÖTTINGEN, 06.2022  /  TNS FOR FRUSTRATED ISING MODELS AND PARTIAL LIFTING OF GS DEG.

 Methods: J. Kanamori, Prog. Theor. Phys. 35, (1966)

F. Ducastelle, Cohesion and Structure No 3, (1990)

G. Rakala, K. Damle, PRE 96, (2017)

 

JC, B. Vanhecke, L. Vanderstraeten, et al., arXiv:2206.11788 (2022)

J. Colbois

CMT SEMINAR, GÖTTINGEN, 06.2022  /  TNS FOR FRUSTRATED ISING MODELS AND PARTIAL LIFTING OF GS DEG.

 Methods: J. Kanamori, Prog. Theor. Phys. 35, (1966)

F. Ducastelle, Cohesion and Structure No 3, (1990)

G. Rakala, K. Damle, PRE 96, (2017)

 

JC, B. Vanhecke, L. Vanderstraeten, et al., arXiv:2206.11788 (2022)

c_k := \frac{1}{2N} \sum_{\langle i,j \rangle_k} \sigma_i \sigma_j.

Constrain the possible values of the correlations:

Kanamori's method

10

J. Colbois

CMT SEMINAR, GÖTTINGEN, 06.2022  /  TNS FOR FRUSTRATED ISING MODELS AND PARTIAL LIFTING OF GS DEG.

 Methods: J. Kanamori, Prog. Theor. Phys. 35, (1966)

F. Ducastelle, Cohesion and Structure No 3, (1990)

G. Rakala, K. Damle, PRE 96, (2017)

 

JC, B. Vanhecke, L. Vanderstraeten, et al., arXiv:2206.11788 (2022)

c_k := \frac{1}{2N} \sum_{\langle i,j \rangle_k} \sigma_i \sigma_j.

Constrain the possible values of the correlations:

\mod(n, 2) \leq \left(\sum_{i=1}^n s_i \sigma_i\right)^2 \leq n^2

Kanamori's method

10

J. Colbois

CMT SEMINAR, GÖTTINGEN, 06.2022  /  TNS FOR FRUSTRATED ISING MODELS AND PARTIAL LIFTING OF GS DEG.

 Methods: J. Kanamori, Prog. Theor. Phys. 35, (1966)

F. Ducastelle, Cohesion and Structure No 3, (1990)

G. Rakala, K. Damle, PRE 96, (2017)

 

JC, B. Vanhecke, L. Vanderstraeten, et al., arXiv:2206.11788 (2022)

\mod(n, 2) \leq \left(\sum_{i=1}^n s_i \sigma_i\right)^2 \leq n^2

Translations + rotations

to cover the lattice

\text{Cluster } A\, :\; c_1 \geq - \frac{1}{3},\\ \text{Cluster } B\, :\; c_2 \pm 2 c_1 \geq - 1,\\ \text{Cluster } C\, :\; c_2 \geq - \frac{1}{3}.
c_k := \frac{1}{2N} \sum_{\langle i,j \rangle_k} \sigma_i \sigma_j.

Constrain the possible values of the correlations:

Kanamori's method

10

11

J. Colbois

CMT SEMINAR, GÖTTINGEN, 06.2022  /  TNS FOR FRUSTRATED ISING MODELS AND PARTIAL LIFTING OF GS DEG.

 Methods: J. Kanamori, Prog. Theor. Phys. 35, (1966)

F. Ducastelle, Cohesion and Structure No 3, (1990)

G. Rakala, K. Damle, PRE 96, (2017)

 

JC, B. Vanhecke, L. Vanderstraeten, et al., arXiv:2206.11788 (2022)

Kanamori's method : applied to our problem

H = J_1 \sum_{\langle i,j \rangle_1} \sigma_i \sigma_j+J_2 \sum_{\langle i,j \rangle_{2}} \sigma_i \sigma_j +J_{3} \left(\sum_{\langle i,j \rangle_{3||}} \sigma_i \sigma_j+\sum_{\langle i,j \rangle_{3\star}} \sigma_i \sigma_j\right)\\
2N c_1
2N c_2
2N c_3

J. Colbois

CMT SEMINAR, GÖTTINGEN, 06.2022  /  TNS FOR FRUSTRATED ISING MODELS AND PARTIAL LIFTING OF GS DEG.

 Methods: J. Kanamori, Prog. Theor. Phys. 35, (1966)

F. Ducastelle, Cohesion and Structure No 3, (1990)

G. Rakala, K. Damle, PRE 96, (2017)

 

JC, B. Vanhecke, L. Vanderstraeten, et al., arXiv:2206.11788 (2022)

Kanamori's method : applied to our problem

H = J_1 \sum_{\langle i,j \rangle_1} \sigma_i \sigma_j+J_2 \sum_{\langle i,j \rangle_{2}} \sigma_i \sigma_j +J_{3} \left(\sum_{\langle i,j \rangle_{3||}} \sigma_i \sigma_j+\sum_{\langle i,j \rangle_{3\star}} \sigma_i \sigma_j\right)\\
2N c_1
2N c_2
2N c_3

11

J. Colbois

CMT SEMINAR, GÖTTINGEN, 06.2022  /  TNS FOR FRUSTRATED ISING MODELS AND PARTIAL LIFTING OF GS DEG.

 Methods: J. Kanamori, Prog. Theor. Phys. 35, (1966)

F. Ducastelle, Cohesion and Structure No 3, (1990)

G. Rakala, K. Damle, PRE 96, (2017)

 

JC, B. Vanhecke, L. Vanderstraeten, et al., arXiv:2206.11788 (2022)

Kanamori's method : applied to our problem

H = J_1 \sum_{\langle i,j \rangle_1} \sigma_i \sigma_j+J_2 \sum_{\langle i,j \rangle_{2}} \sigma_i \sigma_j +J_{3} \left(\sum_{\langle i,j \rangle_{3||}} \sigma_i \sigma_j+\sum_{\langle i,j \rangle_{3\star}} \sigma_i \sigma_j\right)\\
2N c_1
2N c_2
2N c_3

11

c_1 = -1/3

J. Colbois

CMT SEMINAR, GÖTTINGEN, 06.2022  /  TNS FOR FRUSTRATED ISING MODELS AND PARTIAL LIFTING OF GS DEG.

 Methods: J. Kanamori, Prog. Theor. Phys. 35, (1966)

F. Ducastelle, Cohesion and Structure No 3, (1990)

G. Rakala, K. Damle, PRE 96, (2017)

 

JC, B. Vanhecke, L. Vanderstraeten, et al., arXiv:2206.11788 (2022)

Kanamori's method : applied to our problem

H = J_1 \sum_{\langle i,j \rangle_1} \sigma_i \sigma_j+J_2 \sum_{\langle i,j \rangle_{2}} \sigma_i \sigma_j +J_{3} \left(\sum_{\langle i,j \rangle_{3||}} \sigma_i \sigma_j+\sum_{\langle i,j \rangle_{3\star}} \sigma_i \sigma_j\right)\\
2N c_1
2N c_2
2N c_3

11

J. Colbois

CMT SEMINAR, GÖTTINGEN, 06.2022  /  TNS FOR FRUSTRATED ISING MODELS AND PARTIAL LIFTING OF GS DEG.

 Methods: J. Kanamori, Prog. Theor. Phys. 35, (1966)

F. Ducastelle, Cohesion and Structure No 3, (1990)

G. Rakala, K. Damle, PRE 96, (2017)

 

JC, B. Vanhecke, L. Vanderstraeten, et al., arXiv:2206.11788 (2022)

Kanamori's method : applied to our problem

H = J_1 \sum_{\langle i,j \rangle_1} \sigma_i \sigma_j+J_2 \sum_{\langle i,j \rangle_{2}} \sigma_i \sigma_j +J_{3} \left(\sum_{\langle i,j \rangle_{3||}} \sigma_i \sigma_j+\sum_{\langle i,j \rangle_{3\star}} \sigma_i \sigma_j\right)\\
2N c_1
2N c_2
2N c_3
H = J_1 \sum_{\langle i,j \rangle_1} \sigma_i \sigma_j+J_2 \sum_{\langle i,j \rangle_{2}} \sigma_i \sigma_j +J_{3} \left(\sum_{\langle i,j \rangle_{3||}} \sigma_i \sigma_j+\sum_{\langle i,j \rangle_{3\star}} \sigma_i \sigma_j\right)\\
2N c_1
2N c_2
2N c_3

11

J. Colbois

CMT SEMINAR, GÖTTINGEN, 06.2022  /  TNS FOR FRUSTRATED ISING MODELS AND PARTIAL LIFTING OF GS DEG.

 Methods: J. Kanamori, Prog. Theor. Phys. 35, (1966)

F. Ducastelle, Cohesion and Structure No 3, (1990)

G. Rakala, K. Damle, PRE 96, (2017)

 

JC, B. Vanhecke, L. Vanderstraeten, et al., arXiv:2206.11788 (2022)

Kanamori's method : applied to our problem

H = J_1 \sum_{\langle i,j \rangle_1} \sigma_i \sigma_j+J_2 \sum_{\langle i,j \rangle_{2}} \sigma_i \sigma_j +J_{3} \left(\sum_{\langle i,j \rangle_{3||}} \sigma_i \sigma_j+\sum_{\langle i,j \rangle_{3\star}} \sigma_i \sigma_j\right)\\
2N c_1
2N c_2
2N c_3

11

Not all triangles can respect the UUD/DDU rule at the same time

H = J_1 \sum_{\langle i,j \rangle_1} \sigma_i \sigma_j+J_2 \sum_{\langle i,j \rangle_{2}} \sigma_i \sigma_j +J_{3} \left(\sum_{\langle i,j \rangle_{3||}} \sigma_i \sigma_j+\sum_{\langle i,j \rangle_{3\star}} \sigma_i \sigma_j\right)\\
2N c_1
2N c_2
2N c_3

J. Colbois

CMT SEMINAR, GÖTTINGEN, 06.2022  /  TNS FOR FRUSTRATED ISING MODELS AND PARTIAL LIFTING OF GS DEG.

 Methods: J. Kanamori, Prog. Theor. Phys. 35, (1966)

F. Ducastelle, Cohesion and Structure No 3, (1990)

G. Rakala, K. Damle, PRE 96, (2017)

 

JC, B. Vanhecke, L. Vanderstraeten, et al., arXiv:2206.11788 (2022)

Kanamori's method : applied to our problem

11

Obtaining the ground state phase diagram

12

J. Colbois

CMT SEMINAR, GÖTTINGEN, 06.2022  /  TNS FOR FRUSTRATED ISING MODELS AND PARTIAL LIFTING OF GS DEG.

 Methods: J. Kanamori, Prog. Theor. Phys. 35, (1966)

F. Ducastelle, Cohesion and Structure No 3, (1990)

G. Rakala, K. Damle, PRE 96, (2017)

 

JC, B. Vanhecke, L. Vanderstraeten, et al., arXiv:2206.11788 (2022)

Corners directly correspond to G.S. phases:

\vec{J}
H = J_1 \sum_{\langle i,j \rangle_1} \sigma_i \sigma_j+J_2 \sum_{\langle i,j \rangle_{2}} \sigma_i \sigma_j +J_{3} \left(\sum_{\langle i,j \rangle_{3||}} \sigma_i \sigma_j+\sum_{\langle i,j \rangle_{3\star}} \sigma_i \sigma_j\right)\\
2N c_1
2N c_2
2N c_3

Obtaining the ground state phase diagram

J. Colbois

CMT SEMINAR, GÖTTINGEN, 06.2022  /  TNS FOR FRUSTRATED ISING MODELS AND PARTIAL LIFTING OF GS DEG.

 Methods: J. Kanamori, Prog. Theor. Phys. 35, (1966)

F. Ducastelle, Cohesion and Structure No 3, (1990)

G. Rakala, K. Damle, PRE 96, (2017)

 

JC, B. Vanhecke, L. Vanderstraeten, et al., arXiv:2206.11788 (2022)

\vec{J}

12

Corners directly correspond to G.S. phases:

H = J_1 \sum_{\langle i,j \rangle_1} \sigma_i \sigma_j+J_2 \sum_{\langle i,j \rangle_{2}} \sigma_i \sigma_j +J_{3} \left(\sum_{\langle i,j \rangle_{3||}} \sigma_i \sigma_j+\sum_{\langle i,j \rangle_{3\star}} \sigma_i \sigma_j\right)\\
2N c_1
2N c_2
2N c_3

Obtaining the ground state phase diagram

J. Colbois

CMT SEMINAR, GÖTTINGEN, 06.2022  /  TNS FOR FRUSTRATED ISING MODELS AND PARTIAL LIFTING OF GS DEG.

 Methods: J. Kanamori, Prog. Theor. Phys. 35, (1966)

F. Ducastelle, Cohesion and Structure No 3, (1990)

G. Rakala, K. Damle, PRE 96, (2017)

 

JC, B. Vanhecke, L. Vanderstraeten, et al., arXiv:2206.11788 (2022)

\vec{J}

12

Corners directly correspond to G.S. phases:

H = J_1 \sum_{\langle i,j \rangle_1} \sigma_i \sigma_j+J_2 \sum_{\langle i,j \rangle_{2}} \sigma_i \sigma_j +J_{3} \left(\sum_{\langle i,j \rangle_{3||}} \sigma_i \sigma_j+\sum_{\langle i,j \rangle_{3\star}} \sigma_i \sigma_j\right)\\
2N c_1
2N c_2
2N c_3

Obtaining the ground state phase diagram

J. Colbois

CMT SEMINAR, GÖTTINGEN, 06.2022  /  TNS FOR FRUSTRATED ISING MODELS AND PARTIAL LIFTING OF GS DEG.

 Methods: J. Kanamori, Prog. Theor. Phys. 35, (1966)

F. Ducastelle, Cohesion and Structure No 3, (1990)

G. Rakala, K. Damle, PRE 96, (2017)

 

JC, B. Vanhecke, L. Vanderstraeten, et al., arXiv:2206.11788 (2022)

\vec{J}

12

Corners directly correspond to G.S. phases:

H = J_1 \sum_{\langle i,j \rangle_1} \sigma_i \sigma_j+J_2 \sum_{\langle i,j \rangle_{2}} \sigma_i \sigma_j +J_{3} \left(\sum_{\langle i,j \rangle_{3||}} \sigma_i \sigma_j+\sum_{\langle i,j \rangle_{3\star}} \sigma_i \sigma_j\right)\\
2N c_1
2N c_2
2N c_3

Proving the ground-state energy

13

J. Colbois

CMT SEMINAR, GÖTTINGEN, 06.2022  /  TNS FOR FRUSTRATED ISING MODELS AND PARTIAL LIFTING OF GS DEG.

 Methods: J. Kanamori, Prog. Theor. Phys. 35, (1966)

F. Ducastelle, Cohesion and Structure No 3, (1990)

G. Rakala, K. Damle, PRE 96, (2017)

 

JC, B. Vanhecke, L. Vanderstraeten, et al., arXiv:2206.11788 (2022)

All corners must be verified

Proving the ground-state energy

14

-\frac{2}{3}J_1 + 2 J_2- J_3

J. Colbois

CMT SEMINAR, GÖTTINGEN, 06.2022  /  TNS FOR FRUSTRATED ISING MODELS AND PARTIAL LIFTING OF GS DEG.

 Methods: J. Kanamori, Prog. Theor. Phys. 35, (1966)

F. Ducastelle, Cohesion and Structure No 3, (1990)

G. Rakala, K. Damle, PRE 96, (2017)

 

JC, B. Vanhecke, L. Vanderstraeten, et al., arXiv:2206.11788 (2022)

Proving the ground-state energy

-\frac{2}{3}J_1 + 2 J_2- J_3

J. Colbois

CMT SEMINAR, GÖTTINGEN, 06.2022  /  TNS FOR FRUSTRATED ISING MODELS AND PARTIAL LIFTING OF GS DEG.

 Methods: J. Kanamori, Prog. Theor. Phys. 35, (1966)

F. Ducastelle, Cohesion and Structure No 3, (1990)

G. Rakala, K. Damle, PRE 96, (2017)

 

JC, B. Vanhecke, L. Vanderstraeten, et al., arXiv:2206.11788 (2022)

-\frac{2}{3}J_1 - \frac{2}{3} J_2 + J_3

14

Proving the ground-state energy

-\frac{2}{3}J_1 - \frac{2}{3} J_2 + J_3
-\frac{2}{3}J_1 - \frac{1}{3}J_3
-\frac{2}{3}J_1 + \frac{2}{3}J_2- J_3
-\frac{2}{3}J_1 + 2 J_2- J_3
-\frac{2}{3}J_1 - \frac{2}{3} J_2 + J_3

J. Colbois

CMT SEMINAR, GÖTTINGEN, 06.2022  /  TNS FOR FRUSTRATED ISING MODELS AND PARTIAL LIFTING OF GS DEG.

 Methods: J. Kanamori, Prog. Theor. Phys. 35, (1966)

F. Ducastelle, Cohesion and Structure No 3, (1990)

G. Rakala, K. Damle, PRE 96, (2017)

 

JC, B. Vanhecke, L. Vanderstraeten, et al., arXiv:2206.11788 (2022)

14

Tensor networks for frustrated Ising models

CMT SEMINAR, GÖTTINGEN, 06.2022  /  TNS FOR FRUSTRATED ISING MODELS AND PARTIAL LIFTING OF GS DEG.

Why?

15

J. Colbois

CMT SEMINAR, GÖTTINGEN, 06.2022  /  TNS FOR FRUSTRATED ISING MODELS AND PARTIAL LIFTING OF GS DEG.

  • Determining the residual entropy precisely.

Why?

J. Colbois

CMT SEMINAR, GÖTTINGEN, 06.2022  /  TNS FOR FRUSTRATED ISING MODELS AND PARTIAL LIFTING OF GS DEG.

  • Determining the residual entropy precisely.

Monte Carlo challenges:

  • "Good" update
  • Thermodynamic integration
  • Good control over the finite-size scaling behavior

15

Why?

J. Colbois

CMT SEMINAR, GÖTTINGEN, 06.2022  /  TNS FOR FRUSTRATED ISING MODELS AND PARTIAL LIFTING OF GS DEG.

  • Determining the residual entropy precisely.

Monte Carlo challenges:

  • "Good" update
  • Thermodynamic integration
  • Good control over the finite-size scaling behavior
N= 9L^2

15

Why?

J. Colbois

CMT SEMINAR, GÖTTINGEN, 06.2022  /  TNS FOR FRUSTRATED ISING MODELS AND PARTIAL LIFTING OF GS DEG.

  • Determining the residual entropy precisely.

Monte Carlo challenges:

  • "Good" update
  • Thermodynamic integration
  • Good control over the finite-size scaling behavior
N= 9L^2

15

Why?

J. Colbois

CMT SEMINAR, GÖTTINGEN, 06.2022  /  TNS FOR FRUSTRATED ISING MODELS AND PARTIAL LIFTING OF GS DEG.

  • Determining the residual entropy precisely.

Monte Carlo challenges:

  • "Good" update
  • Thermodynamic integration
  • Good control over the finite-size scaling behavior
N= 9L^2

15

Why?

J. Colbois

CMT SEMINAR, GÖTTINGEN, 06.2022  /  TNS FOR FRUSTRATED ISING MODELS AND PARTIAL LIFTING OF GS DEG.

  • Determining the residual entropy precisely.

Monte Carlo challenges:

  • "Good" update
  • Thermodynamic integration
  • Good control over the finite-size scaling behavior
N= 9L^2

15

Why?

J. Colbois

CMT SEMINAR, GÖTTINGEN, 06.2022  /  TNS FOR FRUSTRATED ISING MODELS AND PARTIAL LIFTING OF GS DEG.

  • Determining the residual entropy precisely.

Monte Carlo challenges:

  • "Good" update
  • Thermodynamic integration
  • Good control over the finite-size scaling behavior
N= 9L^2

15

The idea

16

S = \lim_{N \rightarrow \infty} \frac{1}{N} \ln\left(W_N\right)

J. Colbois

CMT SEMINAR, GÖTTINGEN, 06.2022  /  TNS FOR FRUSTRATED ISING MODELS AND PARTIAL LIFTING OF GS DEG.

The idea

S = \lim_{N \rightarrow \infty} \frac{1}{N} \ln\left(W_N\right)
\mathcal{Z}_N = \sum_{\{\sigma\}} e^{-\beta \mathcal{H}(\{\sigma\})} = e^{-\beta E_{\rm{GS}}} {\color{teal}\sum_{\{\sigma\}} e^{-\beta \left(\mathcal{H}(\{\sigma\})- E_{\rm{GS}}\right)}}\\ = e^{-\beta E_{\rm{GS}}} {\color{teal}\tilde{\mathcal{Z}}_N}

J. Colbois

CMT SEMINAR, GÖTTINGEN, 06.2022  /  TNS FOR FRUSTRATED ISING MODELS AND PARTIAL LIFTING OF GS DEG.

16

The idea

\mathcal{Z}_N = \sum_{\{\sigma\}} e^{-\beta \mathcal{H}(\{\sigma\})} = e^{-\beta E_{\rm{GS}}} {\color{teal}\sum_{\{\sigma\}} e^{-\beta \left(\mathcal{H}(\{\sigma\})- E_{\rm{GS}}\right)}}\\ = e^{-\beta E_{\rm{GS}}} {\color{teal}\tilde{\mathcal{Z}}_N}
\lim_{\beta \rightarrow \infty} {\color{teal}\tilde{\mathcal{Z}}_N} = {\color{teal}W_N}
S = \lim_{N \rightarrow \infty} \frac{1}{N} \ln\left(W_N\right)
\cong {\color{teal}\Lambda_0}^N

J. Colbois

CMT SEMINAR, GÖTTINGEN, 06.2022  /  TNS FOR FRUSTRATED ISING MODELS AND PARTIAL LIFTING OF GS DEG.

16

The idea

\lim_{\beta \rightarrow \infty} {\color{teal}\tilde{\mathcal{Z}}_N} = {\color{teal}W_N}
S = \lim_{N \rightarrow \infty} \frac{1}{N} \ln\left(W_N\right)
\cong {\color{teal}\Lambda_0}^N
\mathcal{Z}_N = \sum_{\{\sigma\}} e^{-\beta \mathcal{H}(\{\sigma\})} = e^{-\beta E_{\rm{GS}}} {\color{teal}\sum_{\{\sigma\}} e^{-\beta \left(\mathcal{H}(\{\sigma\})- E_{\rm{GS}}\right)}}\\ = e^{-\beta E_{\rm{GS}}} {\color{teal}\tilde{\mathcal{Z}}_N}

J. Colbois

CMT SEMINAR, GÖTTINGEN, 06.2022  /  TNS FOR FRUSTRATED ISING MODELS AND PARTIAL LIFTING OF GS DEG.

We "just" have to compute the (normalized) partition function for one site...

16

The idea

\lim_{\beta \rightarrow \infty} {\color{teal}\tilde{\mathcal{Z}}_N} = {\color{teal}W_N}
S = \lim_{N \rightarrow \infty} \frac{1}{N} \ln\left(W_N\right)

We "just" have to compute the (normalized) partition function for one site...

\cong {\color{teal}\Lambda_0}^N
\mathcal{Z}_N = \sum_{\{\sigma\}} e^{-\beta \mathcal{H}(\{\sigma\})} = e^{-\beta E_{\rm{GS}}} {\color{teal}\sum_{\{\sigma\}} e^{-\beta \left(\mathcal{H}(\{\sigma\})- E_{\rm{GS}}\right)}}\\ = e^{-\beta E_{\rm{GS}}} {\color{teal}\tilde{\mathcal{Z}}_N}

J. Colbois

CMT SEMINAR, GÖTTINGEN, 06.2022  /  TNS FOR FRUSTRATED ISING MODELS AND PARTIAL LIFTING OF GS DEG.

No need to control the whole temperature range

16

Transfer matrix inspiring tensor networks

\mathcal{Z} = \sum_{\sigma_0} (T^N)_{\sigma_0, \sigma_0} \cong \lambda_0^N

Transfer matrix

Tensor notation: R. Penrose, in Combinatorial Mathematics and its applications, Academic Press (1971)

J. Colbois

CMT SEMINAR, GÖTTINGEN, 06.2022  /  TNS FOR FRUSTRATED ISING MODELS AND PARTIAL LIFTING OF GS DEG.

17

Transfer matrix

\mathcal{Z} = \sum_{\sigma_0} (T^N)_{\sigma_0, \sigma_0} \cong \lambda_0^N
t_{\sigma_i, \sigma_j} =
\Delta_{\sigma_{i,1},\sigma_{i,2},\sigma_{i,3},\sigma_{i,4}} =

Tensor notation: R. Penrose, in Combinatorial Mathematics and its applications, Academic Press (1971)

J. Colbois

CMT SEMINAR, GÖTTINGEN, 06.2022  /  TNS FOR FRUSTRATED ISING MODELS AND PARTIAL LIFTING OF GS DEG.

17

Transfer matrix inspiring tensor networks

Tensor networks for classical spin systems

Tensor notation: R. Penrose, in Combinatorial Mathematics and its applications, Academic Press (1971)

J. Colbois

CMT SEMINAR, GÖTTINGEN, 06.2022  /  TNS FOR FRUSTRATED ISING MODELS AND PARTIAL LIFTING OF GS DEG.

18

Tensor networks for classical spin systems

Tensor notation: R. Penrose, in Combinatorial Mathematics and its applications, Academic Press (1971)

J. Colbois

CMT SEMINAR, GÖTTINGEN, 06.2022  /  TNS FOR FRUSTRATED ISING MODELS AND PARTIAL LIFTING OF GS DEG.

18

Tensor networks for classical spin systems

(1 + 1)D

iTEBD / VUMPS

R. J. Baxter, J. Math. Phys. 9, 1968

Orús, Vidal, PRB 78, 2008;

V. Zauner-Stauber et. al. PRB 97,2018;

M. Fishman et. al PRB 98, 2018 

J. Colbois

CMT SEMINAR, GÖTTINGEN, 06.2022  /  TNS FOR FRUSTRATED ISING MODELS AND PARTIAL LIFTING OF GS DEG.

18

Tensor networks for classical spin systems

(1 + 1)D

iTEBD / VUMPS

R. J. Baxter, J. Math. Phys. 9, 1968

T. Nishino, K. Okunishi, J. Phys. Soc. Jpn 65, 1996

2D

CTMRG

TRG

M. Levin, C. P. Nave, PRL 99, 2007

J. Colbois

CMT SEMINAR, GÖTTINGEN, 06.2022  /  TNS FOR FRUSTRATED ISING MODELS AND PARTIAL LIFTING OF GS DEG.

R. J. Baxter, J. Math. Phys. 9, 1968

Orús, Vidal, PRB 78, 2008;

V. Zauner-Stauber et. al. PRB 97,2018;

M. Fishman et. al PRB 98, 2018 

12

The issue

19

J. Colbois

CMT SEMINAR, GÖTTINGEN, 06.2022  /  TNS FOR FRUSTRATED ISING MODELS AND PARTIAL LIFTING OF GS DEG.

The issue

J. Colbois

CMT SEMINAR, GÖTTINGEN, 06.2022  /  TNS FOR FRUSTRATED ISING MODELS AND PARTIAL LIFTING OF GS DEG.

C. Wang, S.-M. Qin, H.-J. Zhou, PRB 90, (2014)

Z. Zhu, H. G. Katzgraber, arXiv:1903.07721 (2019)

 B. Vanhecke, JC, et al. PRR 3, (2021)

J. G. Liu, L. Wang, P. Zhan, PRL 126, (2021)

M. Friaz-Pérez, M, Mariën et al, arXiv:2104.13264, (2021)

Fails in the presence of frustration and macroscopic g.s. degeneracy

19

The issue

J. Colbois

CMT SEMINAR, GÖTTINGEN, 06.2022  /  TNS FOR FRUSTRATED ISING MODELS AND PARTIAL LIFTING OF GS DEG.

C. Wang, S.-M. Qin, H.-J. Zhou, PRB 90, (2014)

Z. Zhu, H. G. Katzgraber, arXiv:1903.07721 (2019)

 B. Vanhecke, JC, et al. PRR 3, (2021)

J. G. Liu, L. Wang, P. Zhan, PRL 126, (2021)

M. Friaz-Pérez, M, Mariën et al, arXiv:2104.13264, (2021)

Fails in the presence of frustration and macroscopic g.s. degeneracy

19

C. Wang, S.-M. Qin, H.-J. Zhou, PRB 90, (2014)

Z. Zhu, H. G. Katzgraber, arXiv:1903.07721 (2019)

J. G. Liu, L. Wang, P. Zhan, PRL 126, (2021)

 

Related to the inexact cancellation of very large

and very small factors.

What is going on?

20

J. Colbois

CMT SEMINAR, GÖTTINGEN, 06.2022  /  TNS FOR FRUSTRATED ISING MODELS AND PARTIAL LIFTING OF GS DEG.

\tilde{t} = e^{\beta \frac{E_{\text{G.S.}}}{N_{\text{bonds}}}} t = \begin{pmatrix} 1 & e^{-2\beta |J|}\\ e^{-2\beta |J|} & 1\end{pmatrix}

Non-frustrated models:

What is going on?

J. Colbois

CMT SEMINAR, GÖTTINGEN, 06.2022  /  TNS FOR FRUSTRATED ISING MODELS AND PARTIAL LIFTING OF GS DEG.

\tilde{t} = e^{\beta \frac{E_{\text{G.S.}}}{N_{\text{bonds}}}} t = \begin{pmatrix} 1 & e^{-2\beta |J|}\\ e^{-2\beta |J|} & 1\end{pmatrix}
\tilde{t} = e^{\beta \frac{E_{\text{G.S.}}}{N_{\text{bonds}}}} t = \begin{pmatrix} e^{-2\beta |J|} & 1\\ 1 & e^{-2\beta |J|}\end{pmatrix}

Non-frustrated models:

20

What is going on?

J. Colbois

CMT SEMINAR, GÖTTINGEN, 06.2022  /  TNS FOR FRUSTRATED ISING MODELS AND PARTIAL LIFTING OF GS DEG.

\tilde{t} = e^{\beta \frac{E_{\text{G.S.}}}{N_{\text{bonds}}}} t = \begin{pmatrix} 1 & e^{-2\beta |J|}\\ e^{-2\beta |J|} & 1\end{pmatrix}
\tilde{t} = e^{\beta \frac{E_{\text{G.S.}}}{N_{\text{bonds}}}} t = \begin{pmatrix} e^{-2\beta |J|} & 1\\ 1 & e^{-2\beta |J|}\end{pmatrix}

Non-frustrated models:

E_{\text{G.S.}} = -NJ \,\,\,\, N_{\text{bonds}} = 3N
E_{\text{G.S.}} = -\frac{2}{3}NJ \,\,\,\, N_{\text{bonds}} = 2N
\tilde{t} = e^{\beta \frac{E_{\text{G.S.}}}{N_{\text{bonds}}}} t = \begin{pmatrix} e^{-\frac{4}{3}\beta J} & e^{\frac{2}{3}\beta J}\\ e^{\frac{2}{3}\beta J} & e^{-\frac{4}{3}\beta J}\end{pmatrix}

Triangular/ kagome lattices:

20

Why is it intriguing?

21

J. Colbois

CMT SEMINAR, GÖTTINGEN, 06.2022  /  TNS FOR FRUSTRATED ISING MODELS AND PARTIAL LIFTING OF GS DEG.

TNs : 10 digits, vs 5 digits for MC

Why is it intriguing?

J. Colbois

CMT SEMINAR, GÖTTINGEN, 06.2022  /  TNS FOR FRUSTRATED ISING MODELS AND PARTIAL LIFTING OF GS DEG.

TNs : 10 digits, vs 5 digits for MC

T_{\sigma_1, \sigma_2, \sigma_3} =
= \begin{cases} 0 \quad & \text{if } \sigma_1 = \sigma_2 = \sigma_3\\ 1 & \text{otherwise} \end{cases}

21

Why is it intriguing?

J. Colbois

CMT SEMINAR, GÖTTINGEN, 06.2022  /  TNS FOR FRUSTRATED ISING MODELS AND PARTIAL LIFTING OF GS DEG.

TNs : 10 digits, vs 5 digits for MC

T_{\sigma_1, \sigma_2, \sigma_3} =
= \begin{cases} 0 \quad & \text{if } \sigma_1 = \sigma_2 = \sigma_3\\ 1 & \text{otherwise} \end{cases}
T_{d_1, d_2,d_3} =
= \begin{cases} 1 \quad & \text{if } \prod_i d_i = -1\\ 0 & \text{otherwise} \end{cases}

21

Why is it intriguing?

J. Colbois

CMT SEMINAR, GÖTTINGEN, 06.2022  /  TNS FOR FRUSTRATED ISING MODELS AND PARTIAL LIFTING OF GS DEG.

TNs : 10 digits, vs 5 digits for MC

T_{\sigma_1, \sigma_2, \sigma_3} =
= \begin{cases} 0 \quad & \text{if } \sigma_1 = \sigma_2 = \sigma_3\\ 1 & \text{otherwise} \end{cases}
T_{d_1, d_2,d_3} =
= \begin{cases} 1 \quad & \text{if } \prod_i d_i = -1\\ 0 & \text{otherwise} \end{cases}

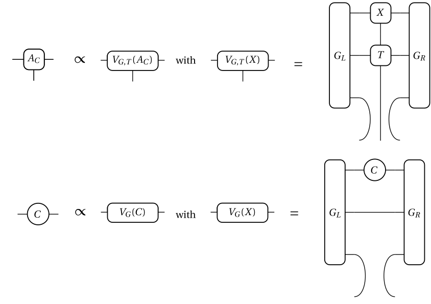
The convergence of the tensor network contraction depends on the formulation of the partition function

21

Systematically finding the local rule

22

 B. Vanhecke, JC, L. Vanderstraeten, F. Verstraete, F. Mila, PRR 3, (2021)

C. K. Majumdar and D. K. Ghosh, J. Math. Phys. 10, (1969);

M. Kaburagi, J. Kanamori, Prog. Theor. Phys. 54 , (1975);

B. Sriram Shastry and B. Sutherland, Physica 108 B+C, (1981);

W. Huang, D. A. Kitchaev, et. al. , Phys. Rev. B 94, (2016)

J. Colbois

CMT SEMINAR, GÖTTINGEN, 06.2022  /  TNS FOR FRUSTRATED ISING MODELS AND PARTIAL LIFTING OF GS DEG.

1. Split the Hamiltonian in a different way

 

 

 

H = \sum_{c} H_c^{\alpha}(\vec{\sigma}|_c)

Systematically finding the local rule

22

 B. Vanhecke, JC, L. Vanderstraeten, F. Verstraete, F. Mila, PRR 3, (2021)

C. K. Majumdar and D. K. Ghosh, J. Math. Phys. 10, (1969);

M. Kaburagi, J. Kanamori, Prog. Theor. Phys. 54 , (1975);

B. Sriram Shastry and B. Sutherland, Physica 108 B+C, (1981);

W. Huang, D. A. Kitchaev, et. al. , Phys. Rev. B 94, (2016)

J. Colbois

CMT SEMINAR, GÖTTINGEN, 06.2022  /  TNS FOR FRUSTRATED ISING MODELS AND PARTIAL LIFTING OF GS DEG.

1. Split the Hamiltonian in a different way

 

 

2. Lower bound on the ground-state energy:

 

 

H = \sum_{c} H_c^{\alpha}(\vec{\sigma}|_c)
\min_{\vec{\sigma}|_c} H_c^{\alpha}(\vec{\sigma}|_c)

Systematically finding the local rule

22

 B. Vanhecke, JC, L. Vanderstraeten, F. Verstraete, F. Mila, PRR 3, (2021)

C. K. Majumdar and D. K. Ghosh, J. Math. Phys. 10, (1969);

M. Kaburagi, J. Kanamori, Prog. Theor. Phys. 54 , (1975);

B. Sriram Shastry and B. Sutherland, Physica 108 B+C, (1981);

W. Huang, D. A. Kitchaev, et. al. , Phys. Rev. B 94, (2016)

J. Colbois

CMT SEMINAR, GÖTTINGEN, 06.2022  /  TNS FOR FRUSTRATED ISING MODELS AND PARTIAL LIFTING OF GS DEG.

1. Split the Hamiltonian in a different way

 

 

2. Lower bound on the ground-state energy:

 

 

3. This lower bound can be maximized with respect to the weights (max-min approach):

 

H = \sum_{c} H_c^{\alpha}(\vec{\sigma}|_c)
\min_{\vec{\sigma}|_c} H_c^{\alpha}(\vec{\sigma}|_c)
\rightarrow
\max_{\alpha}\,\,\min_{\vec{\sigma}|_c} H_c^{\alpha}(\vec{\sigma}|_c)

Systematically finding the local rule

 B. Vanhecke, JC, L. Vanderstraeten, F. Verstraete, F. Mila, PRR 3, (2021)

J. Colbois

CMT SEMINAR, GÖTTINGEN, 06.2022  /  TNS FOR FRUSTRATED ISING MODELS AND PARTIAL LIFTING OF GS DEG.

H = \sum_{c} H_c^{\alpha}(\vec{\sigma}|_c)

1. Split the Hamiltonian in a different way

 

 

2. Lower bound on the ground-state energy:

 

 

3. This lower bound can be maximized with respect to the weights (max-min approach):

 

4. When the lower bound is saturated:

\min_{\vec{\sigma}|_c} H_c^{\alpha}(\vec{\sigma}|_c)
\max_{\alpha}\,\,\min_{\vec{\sigma}|_c} H_c^{\alpha}(\vec{\sigma}|_c)

All the ground states are made of configurations that minimize the local Hamiltonian.

\rightarrow
\rightarrow

22

Does it work?

23

 B. Vanhecke, JC, L. Vanderstraeten, F. Verstraete, F. Mila, PRR 3, (2021)

J. Colbois

CMT SEMINAR, GÖTTINGEN, 06.2022  /  TNS FOR FRUSTRATED ISING MODELS AND PARTIAL LIFTING OF GS DEG.

Does it work?

 B. Vanhecke, JC, L. Vanderstraeten, F. Verstraete, F. Mila, PRR 3, (2021)

J. Colbois

CMT SEMINAR, GÖTTINGEN, 06.2022  /  TNS FOR FRUSTRATED ISING MODELS AND PARTIAL LIFTING OF GS DEG.

23

Does it work?

 B. Vanhecke, JC, L. Vanderstraeten, F. Verstraete, F. Mila, PRR 3, (2021)

J. Colbois

CMT SEMINAR, GÖTTINGEN, 06.2022  /  TNS FOR FRUSTRATED ISING MODELS AND PARTIAL LIFTING OF GS DEG.

23

24

Spurious tiles

 B. Vanhecke, JC, L. Vanderstraeten, F. Verstraete, F. Mila, PRR 3, (2021)

J. Colbois

CMT SEMINAR, GÖTTINGEN, 06.2022  /  TNS FOR FRUSTRATED ISING MODELS AND PARTIAL LIFTING OF GS DEG.

Spurious tiles

 B. Vanhecke, JC, L. Vanderstraeten, F. Verstraete, F. Mila, PRR 3, (2021)

J. Colbois

CMT SEMINAR, GÖTTINGEN, 06.2022  /  TNS FOR FRUSTRATED ISING MODELS AND PARTIAL LIFTING OF GS DEG.

24

Spurious tiles

 B. Vanhecke, JC, L. Vanderstraeten, F. Verstraete, F. Mila, PRR 3, (2021)

J. Colbois

CMT SEMINAR, GÖTTINGEN, 06.2022  /  TNS FOR FRUSTRATED ISING MODELS AND PARTIAL LIFTING OF GS DEG.

24

Spurious tiles

 B. Vanhecke, JC, L. Vanderstraeten, F. Verstraete, F. Mila, PRR 3, (2021)

J. Colbois

CMT SEMINAR, GÖTTINGEN, 06.2022  /  TNS FOR FRUSTRATED ISING MODELS AND PARTIAL LIFTING OF GS DEG.

24

Spurious tiles

 B. Vanhecke, JC, L. Vanderstraeten, F. Verstraete, F. Mila, PRR 3, (2021)

J. Colbois

CMT SEMINAR, GÖTTINGEN, 06.2022  /  TNS FOR FRUSTRATED ISING MODELS AND PARTIAL LIFTING OF GS DEG.

24

TNs for frustrated Ising models

25

J. Colbois

CMT SEMINAR, GÖTTINGEN, 06.2022  /  TNS FOR FRUSTRATED ISING MODELS AND PARTIAL LIFTING OF GS DEG.

 B. Vanhecke, JC, L. Vanderstraeten, F. Verstraete, F. Mila, PRR 3, (2021)

JC, B. Vanhecke, L. Vanderstraeten, et al., arXiv:2206.11788 (2022)

The convergence of the tensor network contraction depends on the formulation of the partition function

TNs for frustrated Ising models

J. Colbois

CMT SEMINAR, GÖTTINGEN, 06.2022  /  TNS FOR FRUSTRATED ISING MODELS AND PARTIAL LIFTING OF GS DEG.

 B. Vanhecke, JC, L. Vanderstraeten, F. Verstraete, F. Mila, PRR 3, (2021)

JC, B. Vanhecke, L. Vanderstraeten, et al., arXiv:2206.11788 (2022)

The convergence of the tensor network contraction depends on the formulation of the partition function

If the ground-state rule is implemented at the level of the tensor, approximate contraction aglorithms converge

25

TNs for frustrated Ising models

J. Colbois

CMT SEMINAR, GÖTTINGEN, 06.2022  /  TNS FOR FRUSTRATED ISING MODELS AND PARTIAL LIFTING OF GS DEG.

 B. Vanhecke, JC, L. Vanderstraeten, F. Verstraete, F. Mila, PRR 3, (2021)

JC, B. Vanhecke, L. Vanderstraeten, et al., arXiv:2206.11788 (2022)

The convergence of the tensor network contraction depends on the formulation of the partition function

If the ground-state rule is implemented at the level of the tensor, approximate contraction aglorithms converge

25

A model with several macroscopically degenerate phases

CMT SEMINAR, GÖTTINGEN, 06.2022  /  TNS FOR FRUSTRATED ISING MODELS AND PARTIAL LIFTING OF GS DEG.

Phase diagram

26

JC, B. Vanhecke, L. Vanderstraeten, et al., arXiv:2206.11788 (2022)

J. Colbois

CMT SEMINAR, GÖTTINGEN, 06.2022  /  TNS FOR FRUSTRATED ISING MODELS AND PARTIAL LIFTING OF GS DEG.

Phase diagram

JC, B. Vanhecke, L. Vanderstraeten, et al., arXiv:2206.11788 (2022)

J. Colbois

CMT SEMINAR, GÖTTINGEN, 06.2022  /  TNS FOR FRUSTRATED ISING MODELS AND PARTIAL LIFTING OF GS DEG.

26

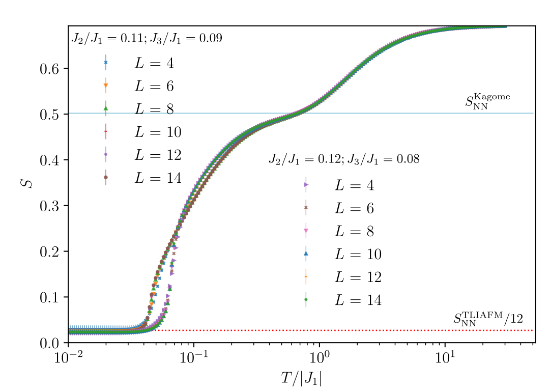
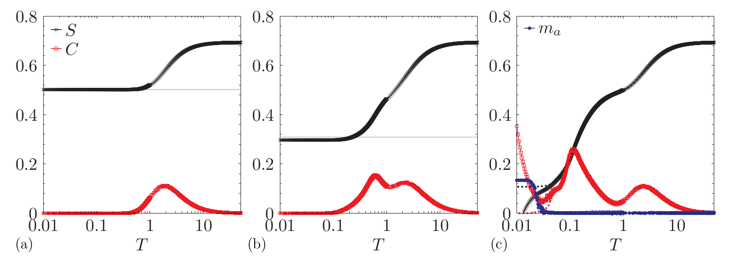
Residual entropies

JC, B. Vanhecke, L. Vanderstraeten, et al., arXiv:2206.11788 (2022)

J. Colbois

CMT SEMINAR, GÖTTINGEN, 06.2022  /  TNS FOR FRUSTRATED ISING MODELS AND PARTIAL LIFTING OF GS DEG.

27

Residual entropies

JC, B. Vanhecke, L. Vanderstraeten, et al., arXiv:2206.11788 (2022)

J. Colbois

CMT SEMINAR, GÖTTINGEN, 06.2022  /  TNS FOR FRUSTRATED ISING MODELS AND PARTIAL LIFTING OF GS DEG.

27

Residual entropies

S = 0.01920 \pm 3 \cdot 10^{-5}

JC, B. Vanhecke, L. Vanderstraeten, et al., arXiv:2206.11788 (2022)

J. Colbois

CMT SEMINAR, GÖTTINGEN, 06.2022  /  TNS FOR FRUSTRATED ISING MODELS AND PARTIAL LIFTING OF GS DEG.

27

Residual entropies

JC, B. Vanhecke, L. Vanderstraeten, et al., arXiv:2206.11788 (2022)

J. Colbois

CMT SEMINAR, GÖTTINGEN, 06.2022  /  TNS FOR FRUSTRATED ISING MODELS AND PARTIAL LIFTING OF GS DEG.

S = 0.01920 \pm 3 \cdot 10^{-5}

28

Residual entropies

29

JC, B. Vanhecke, L. Vanderstraeten, et al., arXiv:2206.11788 (2022)

J. Colbois

CMT SEMINAR, GÖTTINGEN, 06.2022  /  TNS FOR FRUSTRATED ISING MODELS AND PARTIAL LIFTING OF GS DEG.

S = 0.01920 \pm 3 \cdot 10^{-5}

Residual entropies

29

JC, B. Vanhecke, L. Vanderstraeten, et al., arXiv:2206.11788 (2022)

J. Colbois

CMT SEMINAR, GÖTTINGEN, 06.2022  /  TNS FOR FRUSTRATED ISING MODELS AND PARTIAL LIFTING OF GS DEG.

S = 0.01920 \pm 3 \cdot 10^{-5}

Residual entropies

29

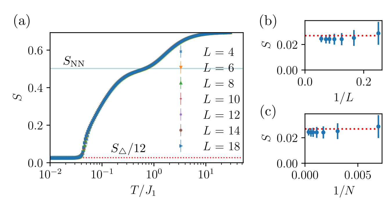
S = 0.026922 \pm 3 \cdot 10^{-6} = \frac{S_\triangle}{12}

JC, B. Vanhecke, L. Vanderstraeten, et al., arXiv:2206.11788 (2022)

J. Colbois

CMT SEMINAR, GÖTTINGEN, 06.2022  /  TNS FOR FRUSTRATED ISING MODELS AND PARTIAL LIFTING OF GS DEG.

S = 0.01920 \pm 3 \cdot 10^{-5}

Residual entropies

S = 0.026922 \pm 3 \cdot 10^{-6} = \frac{S_\triangle}{12}

JC, B. Vanhecke, L. Vanderstraeten, et al., arXiv:2206.11788 (2022)

J. Colbois

CMT SEMINAR, GÖTTINGEN, 06.2022  /  TNS FOR FRUSTRATED ISING MODELS AND PARTIAL LIFTING OF GS DEG.

S = 0.01920 \pm 3 \cdot 10^{-5}

29

Residual entropies

S = 0.026922 \pm 3 \cdot 10^{-6} = \frac{S_\triangle}{12}

JC, B. Vanhecke, L. Vanderstraeten, et al., arXiv:2206.11788 (2022)

J. Colbois

CMT SEMINAR, GÖTTINGEN, 06.2022  /  TNS FOR FRUSTRATED ISING MODELS AND PARTIAL LIFTING OF GS DEG.

S = 0.01920 \pm 3 \cdot 10^{-5}

29

Residual entropies

S = 0.026922 \pm 3 \cdot 10^{-6} = \frac{S_\triangle}{12}

JC, B. Vanhecke, L. Vanderstraeten, et al., arXiv:2206.11788 (2022)

J. Colbois

CMT SEMINAR, GÖTTINGEN, 06.2022  /  TNS FOR FRUSTRATED ISING MODELS AND PARTIAL LIFTING OF GS DEG.

S = 0.01920 \pm 3 \cdot 10^{-5}

30

Residual entropies

S = 0.026922 \pm 3 \cdot 10^{-6} = \frac{S_\triangle}{12}

JC, B. Vanhecke, L. Vanderstraeten, et al., arXiv:2206.11788 (2022)

J. Colbois

CMT SEMINAR, GÖTTINGEN, 06.2022  /  TNS FOR FRUSTRATED ISING MODELS AND PARTIAL LIFTING OF GS DEG.

S = 0.01920 \pm 3 \cdot 10^{-5}

31

Residual entropies

S = 0.026922 \pm 3 \cdot 10^{-6} = \frac{S_\triangle}{12}

JC, B. Vanhecke, L. Vanderstraeten, et al., arXiv:2206.11788 (2022)

J. Colbois

CMT SEMINAR, GÖTTINGEN, 06.2022  /  TNS FOR FRUSTRATED ISING MODELS AND PARTIAL LIFTING OF GS DEG.

S = 0.01920 \pm 3 \cdot 10^{-5}

31

Residual entropies

S = 0.026922 \pm 3 \cdot 10^{-6} = \frac{S_\triangle}{12}
S = 0.107689 \pm 2 \cdot 10^{-6} \cong \frac{S_\triangle}{3}

JC, B. Vanhecke, L. Vanderstraeten, et al., arXiv:2206.11788 (2022)

J. Colbois

CMT SEMINAR, GÖTTINGEN, 06.2022  /  TNS FOR FRUSTRATED ISING MODELS AND PARTIAL LIFTING OF GS DEG.

S = 0.01920 \pm 3 \cdot 10^{-5}

31

Residual entropies

S = 0.026922 \pm 3 \cdot 10^{-6} = \frac{S_\triangle}{12}
S = 0.107689 \pm 2 \cdot 10^{-6} \cong \frac{S_\triangle}{3}

JC, B. Vanhecke, L. Vanderstraeten, et al., arXiv:2206.11788 (2022)

J. Colbois

CMT SEMINAR, GÖTTINGEN, 06.2022  /  TNS FOR FRUSTRATED ISING MODELS AND PARTIAL LIFTING OF GS DEG.

S = 0.01920 \pm 3 \cdot 10^{-5}

32

Residual entropies

S = 0.026922 \pm 3 \cdot 10^{-6} = \frac{S_\triangle}{12}
S = 0.107689 \pm 2 \cdot 10^{-6} \cong \frac{S_\triangle}{3}

JC, B. Vanhecke, L. Vanderstraeten, et al., arXiv:2206.11788 (2022)

J. Colbois

CMT SEMINAR, GÖTTINGEN, 06.2022  /  TNS FOR FRUSTRATED ISING MODELS AND PARTIAL LIFTING OF GS DEG.

S = 0.01920 \pm 3 \cdot 10^{-5}

32

Residual entropies

S = 0.026922 \pm 3 \cdot 10^{-6} = \frac{S_\triangle}{12}
S = 0.107689 \pm 2 \cdot 10^{-6} \cong \frac{S_\triangle}{3}

JC, B. Vanhecke, L. Vanderstraeten, et al., arXiv:2206.11788 (2022)

J. Colbois

CMT SEMINAR, GÖTTINGEN, 06.2022  /  TNS FOR FRUSTRATED ISING MODELS AND PARTIAL LIFTING OF GS DEG.

S = 0.01920 \pm 3 \cdot 10^{-5}

32

Discussion

33

H = J \sum_{\langle i, j \rangle } \sigma_i \sigma_j + D \sum_{(i,j)} \frac{\sigma_i \sigma_j}{r_{ij}^3}

JC, B. Vanhecke, L. Vanderstraeten, et al., arXiv:2206.11788 (2022)

J. Colbois

CMT SEMINAR, GÖTTINGEN, 06.2022  /  TNS FOR FRUSTRATED ISING MODELS AND PARTIAL LIFTING OF GS DEG.

Discussion

H = J \sum_{\langle i, j \rangle } \sigma_i \sigma_j + D \sum_{(i,j)} \frac{\sigma_i \sigma_j}{r_{ij}^3}

JC, B. Vanhecke, L. Vanderstraeten, et al., arXiv:2206.11788 (2022)

J. Colbois

CMT SEMINAR, GÖTTINGEN, 06.2022  /  TNS FOR FRUSTRATED ISING MODELS AND PARTIAL LIFTING OF GS DEG.

33

Discussion

H = J \sum_{\langle i, j \rangle } \sigma_i \sigma_j + D \sum_{(i,j)} \frac{\sigma_i \sigma_j}{r_{ij}^3}

JC, B. Vanhecke, L. Vanderstraeten, et al., arXiv:2206.11788 (2022)

J. Colbois

CMT SEMINAR, GÖTTINGEN, 06.2022  /  TNS FOR FRUSTRATED ISING MODELS AND PARTIAL LIFTING OF GS DEG.

33

Open questions...

J. Colbois

CMT SEMINAR, GÖTTINGEN, 06.2022  /  TNS FOR FRUSTRATED ISING MODELS AND PARTIAL LIFTING OF GS DEG.

34

Nature of the phase transitions?

Open questions...

J. Colbois

CMT SEMINAR, GÖTTINGEN, 06.2022  /  TNS FOR FRUSTRATED ISING MODELS AND PARTIAL LIFTING OF GS DEG.

34

Tensor network "problem": does this solution work for TNR?

Nature of the phase transitions?

Open questions...

J. Colbois

CMT SEMINAR, GÖTTINGEN, 06.2022  /  TNS FOR FRUSTRATED ISING MODELS AND PARTIAL LIFTING OF GS DEG.

34

Tensor network "problem": does this solution work for TNR?

Nature of the phase transitions?

Contraction of PEPS wavefunctions?

Open questions...

J. Colbois

CMT SEMINAR, GÖTTINGEN, 06.2022  /  TNS FOR FRUSTRATED ISING MODELS AND PARTIAL LIFTING OF GS DEG.

34

Tensor network "problem": does this solution work for TNR?

Nature of the phase transitions?

Contraction of PEPS wavefunctions?

A different approach for spin glasses: extend to approximate contraction?

J. G. Liu, L. Wang, P. Zhan, PRL 126, (2021)

 

Open questions...

J. Colbois

CMT SEMINAR, GÖTTINGEN, 06.2022  /  TNS FOR FRUSTRATED ISING MODELS AND PARTIAL LIFTING OF GS DEG.

34

Tensor network "problem": does this solution work for TNR?

Contraction of PEPS wavefunctions?

Use of the ground-state local rule: existence of the cluster?

Nature of the phase transitions?

A different approach for spin glasses: extend to approximate contraction?

Ronceray and Le Floch, PRE 100, (2019)

J. G. Liu, L. Wang, P. Zhan, PRL 126, (2021)

 

Take home...

35

J. Colbois

CMT SEMINAR, GÖTTINGEN, 06.2022  /  TNS FOR FRUSTRATED ISING MODELS AND PARTIAL LIFTING OF GS DEG.

JC, B. Vanhecke, L. Vanderstraeten, et al., arXiv:2206.11788 (2022)

 B. Vanhecke, JC, L. Vanderstraeten, F. Verstraete, F. Mila, PRR 3, (2021)

Take home...

JC, B. Vanhecke, L. Vanderstraeten, et al., arXiv:2206.11788 (2022)

J. Colbois

CMT SEMINAR, GÖTTINGEN, 06.2022  /  TNS FOR FRUSTRATED ISING MODELS AND PARTIAL LIFTING OF GS DEG.

The convergence of the tensor network contraction depends on the formulation of the partition function

 B. Vanhecke, JC, L. Vanderstraeten, F. Verstraete, F. Mila, PRR 3, (2021)

35

Take home...

J. Colbois

CMT SEMINAR, GÖTTINGEN, 06.2022  /  TNS FOR FRUSTRATED ISING MODELS AND PARTIAL LIFTING OF GS DEG.

The convergence of the tensor network contraction depends on the formulation of the partition function

If the ground-state rule is implemented at the level of the tensor, approximate contraction aglorithms converge

35

JC, B. Vanhecke, L. Vanderstraeten, et al., arXiv:2206.11788 (2022)

 B. Vanhecke, JC, L. Vanderstraeten, F. Verstraete, F. Mila, PRR 3, (2021)

Take home...

J. Colbois

CMT SEMINAR, GÖTTINGEN, 06.2022  /  TNS FOR FRUSTRATED ISING MODELS AND PARTIAL LIFTING OF GS DEG.

If the ground-state rule is implemented at the level of the tensor, approximate contraction aglorithms converge

The convergence of the tensor network contraction depends on the formulation of the partition function

35

JC, B. Vanhecke, L. Vanderstraeten, et al., arXiv:2206.11788 (2022)

 B. Vanhecke, JC, L. Vanderstraeten, F. Verstraete, F. Mila, PRR 3, (2021)

Take home...

J. Colbois

CMT SEMINAR, GÖTTINGEN, 06.2022  /  TNS FOR FRUSTRATED ISING MODELS AND PARTIAL LIFTING OF GS DEG.

If the ground-state rule is implemented at the level of the tensor, approximate contraction aglorithms converge

The convergence of the tensor network contraction depends on the formulation of the partition function

Thank you!

35

JC, B. Vanhecke, L. Vanderstraeten, et al., arXiv:2206.11788 (2022)

 B. Vanhecke, JC, L. Vanderstraeten, F. Verstraete, F. Mila, PRR 3, (2021)

Bonus slides

 

CMT SEMINAR, GÖTTINGEN, 06.2022  /  TNS FOR FRUSTRATED ISING MODELS AND PARTIAL LIFTING OF GS DEG.

Farther-neighbor interactions : the question of the residual entropy

Very small residual entropy. How can we evaluate it precisely?

Challenges with MC

  • Good update
  • Thermodynamic integration
  • Good control over the finite-size scaling behavior
d_{i,j} = \sigma_i \sigma_j
S \geq \frac{1}{36}\ln(2) \cong 0.01925..
S = \frac{1}{12} S_{\rm{TIAFM}} \cong 0.026922...

Postulate:

J. Colbois

CMT SEMINAR, GÖTTINGEN, 06.2022  /  TNS FOR FRUSTRATED ISING MODELS AND PARTIAL LIFTING OF GS DEG.

JC, B. Vanhecke, L. Vanderstraeten, et al., arXiv:2206.11788 (2022)

Emergent U(1) symmetry and infinite correlation length

Invariance of a tensor

Gauss's law for the J1-J2 model

J. Colbois

CMT SEMINAR, GÖTTINGEN, 06.2022  /  TNS FOR FRUSTRATED ISING MODELS AND PARTIAL LIFTING OF GS DEG.

JC, B. Vanhecke, Unpublished

Emergent U(1) symmetry and infinite correlation length

J. Colbois

CMT SEMINAR, GÖTTINGEN, 06.2022  /  TNS FOR FRUSTRATED ISING MODELS AND PARTIAL LIFTING OF GS DEG.

JC, B. Vanhecke, Unpublished

Look for solutions to

Remove solutions corresponding to:

Emergent U(1) symmetry and infinite correlation length

J. Colbois

CMT SEMINAR, GÖTTINGEN, 06.2022  /  TNS FOR FRUSTRATED ISING MODELS AND PARTIAL LIFTING OF GS DEG.

JC, B. Vanhecke, Unpublished

Emergent U(1) symmetry and infinite correlation length

J. Colbois

CMT SEMINAR, GÖTTINGEN, 06.2022  /  TNS FOR FRUSTRATED ISING MODELS AND PARTIAL LIFTING OF GS DEG.

JC, B. Vanhecke, Unpublished

Phase boundaries

J. Colbois

CMT SEMINAR, GÖTTINGEN, 06.2022  /  TNS FOR FRUSTRATED ISING MODELS AND PARTIAL LIFTING OF GS DEG.

Phase diagrams

J. Colbois

CMT SEMINAR, GÖTTINGEN, 06.2022  /  TNS FOR FRUSTRATED ISING MODELS AND PARTIAL LIFTING OF GS DEG.

Phase diagrams

J. Colbois

CMT SEMINAR, GÖTTINGEN, 06.2022  /  TNS FOR FRUSTRATED ISING MODELS AND PARTIAL LIFTING OF GS DEG.

1. Ratios are fixed by energy and PBC

2. The ratios are fixed locally because

- occupied tiles have to have at least two nearest-neighbor empty tiles

- emtpy tiles cannot be 2nd NN

3. The tiles have to have different chiralities

Elements of proof for the pinwheels phase

J. Colbois

CMT SEMINAR, GÖTTINGEN, 06.2022  /  TNS FOR FRUSTRATED ISING MODELS AND PARTIAL LIFTING OF GS DEG.

Spin-Spin correlations in the pinwheels phase

J. Colbois

CMT SEMINAR, GÖTTINGEN, 06.2022  /  TNS FOR FRUSTRATED ISING MODELS AND PARTIAL LIFTING OF GS DEG.

Strings phase

J. Colbois

CMT SEMINAR, GÖTTINGEN, 06.2022  /  TNS FOR FRUSTRATED ISING MODELS AND PARTIAL LIFTING OF GS DEG.

Strings phase

J. Colbois

CMT SEMINAR, GÖTTINGEN, 06.2022  /  TNS FOR FRUSTRATED ISING MODELS AND PARTIAL LIFTING OF GS DEG.

Strings phase

J. Colbois

CMT SEMINAR, GÖTTINGEN, 06.2022  /  TNS FOR FRUSTRATED ISING MODELS AND PARTIAL LIFTING OF GS DEG.

Strings phase

J. Colbois

CMT SEMINAR, GÖTTINGEN, 06.2022  /  TNS FOR FRUSTRATED ISING MODELS AND PARTIAL LIFTING OF GS DEG.

Bonus slides

Technical aspects

J. Colbois

CMT SEMINAR, GÖTTINGEN, 06.2022  /  TNS FOR FRUSTRATED ISING MODELS AND PARTIAL LIFTING OF GS DEG.

It works...

J. Colbois

CMT SEMINAR, GÖTTINGEN, 06.2022  /  TNS FOR FRUSTRATED ISING MODELS AND PARTIAL LIFTING OF GS DEG.

17

(2D Ising square lattice)

Chiral 3-state Potts model

Six-state clock model

Kagome ferromagnet

J1-J2 square lattice away from the frustrated line

Hard rods

Nearest-neighbor kagome Ising

Nearest-neighbor triangular Ising

 

Tensor networks for classical spin systems

T^N = \lambda_{+}^N \sum_{i = +, -} \left( \frac{\lambda_i}{\lambda_+} \right)^N \left|r_i\rangle \langle l_i\right| \xrightarrow[N \to \infty]{} \lambda_+^N \left|r_+\rangle \langle l_+\right|
T = \begin{pmatrix} e^{\beta J} &e^{-\beta J}\\ e^{-\beta J} &e^{\beta J}\\ \end{pmatrix}

Transfer matrix for the 1D Ising model

Partition function and leading left/right eigenvectors

"Exact contraction"

"Approximate contraction"

The aim is essentially to find the leading eigenvectors and the largest eigenvalue

J. Colbois

CMT SEMINAR, GÖTTINGEN, 06.2022  /  TNS FOR FRUSTRATED ISING MODELS AND PARTIAL LIFTING OF GS DEG.

VUMPS

CTMRG

Tensor networks for classical spin systems


T. Nishino, K. Okunishi, J. Phys. Soc. Jpn. 65, (1996)

R. Orús, G. Vidal, PRB 80, 2009


 

R. J. Baxter,  J. Stat. Phys. 19, 1978

J. Colbois

CMT SEMINAR, GÖTTINGEN, 06.2022  /  TNS FOR FRUSTRATED ISING MODELS AND PARTIAL LIFTING OF GS DEG.

Temperature and tensor networks

\mathcal{Z}_0 =
D^{C_1, C_2, C_3, C_4}(\beta,\{\alpha\}) = \delta^{C_1, C_2, C_3,C_4} B(C_1, \beta, \{\alpha\})\\ B(C_1, \beta, \{\alpha\}) = e^{-\beta (H^{\{\alpha\}}_u(C_1)-E_u)}

J. Colbois

CMT SEMINAR, GÖTTINGEN, 06.2022  /  TNS FOR FRUSTRATED ISING MODELS AND PARTIAL LIFTING OF GS DEG.

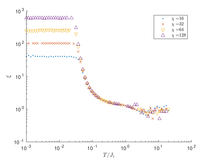
J1-J2 vs TIAFM

\text{Villain-Stephenson}:\\ \frac{1}{\xi} = -\ln(\tanh\left(\frac{1}{T}\right))\\ \xi \cong \exp{\left(\frac{1}{T}\right)}
\text{KT}:\\ \xi \cong \exp{\left(-\frac{1}{\sqrt{T-T_c}}\right)}

J. Colbois

CMT SEMINAR, GÖTTINGEN, 06.2022  /  TNS FOR FRUSTRATED ISING MODELS AND PARTIAL LIFTING OF GS DEG.

J. F. Nagle versus tensor networks

L. Vanderstraeten, B. Vanhecke, F. Verstraete, PRE 98 (2018)

J. F. Nagle, J. Math. Phys. 7, (1966)

J. F. Nagle, J. Math. Phys. 7, (1966)

E. H. Lieb, PR 162, (1967)

J. Colbois

CMT SEMINAR, GÖTTINGEN, 06.2022  /  TNS FOR FRUSTRATED ISING MODELS AND PARTIAL LIFTING OF GS DEG.

Dual worm algorithm

J. Colbois

CMT SEMINAR, GÖTTINGEN, 06.2022  /  TNS FOR FRUSTRATED ISING MODELS AND PARTIAL LIFTING OF GS DEG.

Linear program

\frac{E_0}{N} \geq E_c := \max_{\vec{\alpha}} \left(\frac{1}{n_c}\min_{\vec{\sigma}|_c} H^{\vec{\alpha}}_c(\vec{\sigma}|_c) \right)\\ \text{Constraints: } \sum_{c\in \mathcal{T}_u|n \in c} \alpha_n^c = 1 \, \forall n
\max_{\vec{y}} \vec{c}^{T} \vec{y} \text{ subject to } A \vec{y} \leq \vec{b}, \, \vec{y} \geq \vec{0}
\text{Here :}\\ \vec{c}^T = (0, 0, \dots, 0, 1), \,\, \vec{y} = \begin{bmatrix} \vec{\alpha}\\ E - E_{\text{shift}} \end{bmatrix}\\ -A \vec{y} \geq -\vec{b} \Leftrightarrow \forall \vec{\sigma}|_c, \quad \frac{1}{n_c}\, H^{\vec{\alpha}}(\vec{\sigma}|_c) \geq E

J. Colbois

CMT SEMINAR, GÖTTINGEN, 06.2022  /  TNS FOR FRUSTRATED ISING MODELS AND PARTIAL LIFTING OF GS DEG.

1. A function computing  A and b with the energy shift

2. A linear program solver

 

= Find one solution

= Find orthogonal solutions

If the energy is known

Linear program

J. Colbois

CMT SEMINAR, GÖTTINGEN, 06.2022  /  TNS FOR FRUSTRATED ISING MODELS AND PARTIAL LIFTING OF GS DEG.

1. A function computing  A and b with the energy shift

2. A linear program solver

 

Start by calling the previous algorithm

call the previous algorithm

If the energy is not known

Linear program

J. Colbois

CMT SEMINAR, GÖTTINGEN, 06.2022  /  TNS FOR FRUSTRATED ISING MODELS AND PARTIAL LIFTING OF GS DEG.

  • For each configuration on the cluster
    • going through the parameters/pairs
      • The contribution to b is the pair interaction if the parameter is fixed
      • If the parameter is free, then the contribution to A is the pair interaction.
\text{Here :}\\ \vec{c}^T = (0, 0, \dots, 0, 1), \,\, \vec{y} = \begin{bmatrix} \vec{\alpha}\\ E - E_{\text{shift}} \end{bmatrix}\\ -A \vec{y} \geq -\vec{b} \Leftrightarrow \forall \vec{\sigma}|_c, \quad \frac{1}{n_c}\, H^{\vec{\alpha}}(\vec{\sigma}|_c) \geq E

Linear program

J. Colbois

CMT SEMINAR, GÖTTINGEN, 06.2022  /  TNS FOR FRUSTRATED ISING MODELS AND PARTIAL LIFTING OF GS DEG.

  • Finite range frustration
  • Existence of long-range frustration?
  • Proving ground-state energies

Ronceray and Le Floch, PRE 100, (2019)

Finite range of frustration

J. Colbois

CMT SEMINAR, GÖTTINGEN, 06.2022  /  TNS FOR FRUSTRATED ISING MODELS AND PARTIAL LIFTING OF GS DEG.

Tensor networks for frustrated Ising models and partial lifting of a macroscopic gs degeneracy

By Jeanne Colbois

Tensor networks for frustrated Ising models and partial lifting of a macroscopic gs degeneracy

Condensed matter theory seminar, Göttingen University, invited by PD Dr. Salvatore Manmana

  • 446