LPT Toulouse  - FFC Journal Club | 09.01.2023 | J. Colbois

arXiv:2211.13089 (v1)

Motivation / promise

1

  • Large systems
  • Any energy / eigenfunctions

Need

Idea

Promise

M

+     Combine efficiently

\(10^9\) non-interacting

\(10^6\) Two interacting particles

Time evolution

arXiv:2211.13089 (v1)

Plan

  1. Models
  2. Observables
  3. Algorithm(s)
  4. Some results

2

arXiv:2211.13089 (v1)

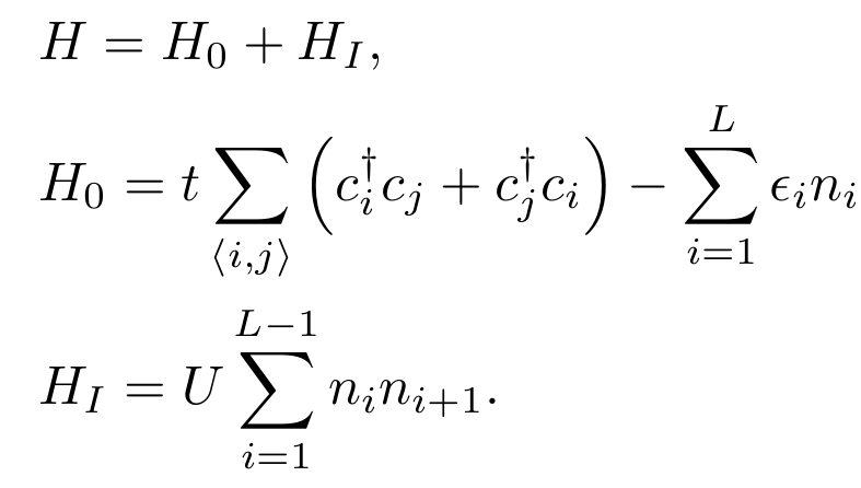
Models

3

arXiv:2211.13089 (v1)

(1) Mostly: \(t_{i, i+1} = t = 1\), \(\epsilon_i \) : 

Irrational \(\beta\)

(2) Also:

\(\epsilon_i\) constant

Models

3

arXiv:2211.13089 (v1)

(1) Mostly: \(t_{i, i+1} = t = 1\), \(\epsilon_i \) : 

Irrational \(\beta\)

(2) Also:

\(\epsilon_i\) constant

More delocalized

  • locally clean
  • translation invariance partially restored

Chiral (particle-hole) symmetry:

Delocalized region

Models : TIP

4

arXiv:2211.13089 (v1)

Only at strong disorder

Measurements

5

arXiv:2211.13089 (v1)

Density of states

Localization length

Participation ratio

D J Thouless 1972 J. Phys. C: Solid State Phys. 5 77

Algorithm(s)

arXiv:2211.13089 (v1)

General idea

H = H^S + H^{\mathrm{Env}}
H^S
  1. Partition and solve \(H_s\)
  2. Embed
  3. Eliminate 
  4. (Time-evolve)

6

arXiv:2211.13089 (v1)

General idea

H = H^S + H^{\mathrm{Env}}
H^S
  1. Partition and solve \(H_s\)
  2. Embed
  3. Eliminate 
  4. (Time-evolve)

Parallelization

6

arXiv:2211.13089 (v1)

1. Partitions: \(M\) sites

A_i = ] i, i+M] ,\quad i \in ]0, L-M]

7

arXiv:2211.13089 (v1)

i \in [0, L-M]

1. Partitions: \(M\) sites

A_i = ] i, i+M] ,\quad i \in ]0, L-M]

7

arXiv:2211.13089 (v1)

i \in [0, L-M]

1. Partitions: \(M\) sites

A_i = ] i, i+M] ,\quad i \in ]0, L-M]

7

arXiv:2211.13089 (v1)

i \in [0, L-M]

1. Partitions: \(M\) sites

A_i = ] i, i+M] ,\quad i \in ]0, L-M]

Repetitions

\(L-M\) sub-systems

7

arXiv:2211.13089 (v1)

i \in [0, L-M]

1. Partitions: \(M\) sites

A_i = ] i, i+M] ,\quad i \in ]0, L-M]

Repetitions

\(L-M\) sub-systems

7

arXiv:2211.13089 (v1)

i \in [0, L-M]
B_i = ]i \times \frac{M}{2}, i\times \frac{M}{2}+M] ,\quad 0 \leq i \leq \left \lceil \frac{2L}{M} \right \rceil
0 \leq i < \left \lfloor \frac{2L}{M} \right \rfloor

1. Partitions: \(M\) sites

A_i = ] i, i+M] ,\quad i \in ]0, L-M]

Repetitions

\(L-M\) sub-systems

B_i = ]i \times \frac{M}{2}, i\times \frac{M}{2}+M] ,\quad 0 \leq i \leq \left \lceil \frac{2L}{M} \right \rceil

7

arXiv:2211.13089 (v1)

0 \leq i < \left \lfloor \frac{2L}{M} \right \rfloor
i \in [0, L-M]

1. Partitions: \(M\) sites

A_i = ] i, i+M] ,\quad i \in ]0, L-M]

Repetitions

\(L-M\) sub-systems

B_i = ]i \times \frac{M}{2}, i\times \frac{M}{2}+M] ,\quad 0 \leq i \leq \left \lceil \frac{2L}{M} \right \rceil

7

arXiv:2211.13089 (v1)

0 \leq i < \left \lfloor \frac{2L}{M} \right \rfloor
i \in [0, L-M]

1. Partitions: \(M\) sites

A_i = ] i, i+M] ,\quad i \in ]0, L-M]

Repetitions

\(L-M\) sub-systems

B_i = ]i \times \frac{M}{2}, i\times \frac{M}{2}+M] ,\quad 0 \leq i \leq \left \lceil \frac{2L}{M} \right \rceil

7

arXiv:2211.13089 (v1)

0 \leq i < \left \lfloor \frac{2L}{M} \right \rfloor
i \in [0, L-M]

1. Partitions: \(M\) sites

A_i = ] i, i+M] ,\quad i \in ]0, L-M]

Repetitions

\(L-M\) sub-systems

B_i = ]i \times \frac{M}{2}, i\times \frac{M}{2}+M] ,\quad 0 \leq i \leq \left \lceil \frac{2L}{M} \right \rceil

7

arXiv:2211.13089 (v1)

0 \leq i < \left \lfloor \frac{2L}{M} \right \rfloor
i \in [0, L-M]

1. Partitions: \(M\) sites

A_i = ] i, i+M] ,\quad i \in ]0, L-M]

Repetitions

\(L-M\) sub-systems

B_i = ]i \times \frac{M}{2}, i\times \frac{M}{2}+M] ,\quad 0 \leq i \leq \left \lceil \frac{2L}{M} \right \rceil

7

arXiv:2211.13089 (v1)

0 \leq i < \left \lfloor \frac{2L}{M} \right \rfloor
i \in [0, L-M]

1. Partitions: \(M\) sites

A_i = ] i, i+M] ,\quad i \in ]0, L-M]

Repetitions

\(L-M\) sub-systems

B_i = ]i \times \frac{M}{2}, i\times \frac{M}{2}+M] ,\quad 0 \leq i \leq \left \lceil \frac{2L}{M} \right \rceil

7

arXiv:2211.13089 (v1)

0 \leq i < \left \lfloor \frac{2L}{M} \right \rfloor
i \in [0, L-M]

1. Partitions: \(M\) sites

A_i = ] i, i+M] ,\quad i \in ]0, L-M]

Repetitions

\(L-M\) sub-systems

B_i = ]i \times \frac{M}{2}, i\times \frac{M}{2}+M] ,\quad 0 \leq i \leq \left \lceil \frac{2L}{M} \right \rceil

7

arXiv:2211.13089 (v1)

\(\left \lceil \frac{2L}{M}\right\rceil \) sub-systems

Far less repetitions

\(M \)  twice as large

0 \leq i < \left \lfloor \frac{2L}{M} \right \rfloor
i \in [0, L-M]

1. Partitions: \(M\) sites

x_1
\rho_1 = \frac{1}{N} \sum_{\alpha} |\tilde{\Phi}_{\alpha} \rangle \langle \tilde{\Phi}_\alpha|
\langle x_1 | N \rho_1 | x_1 \rangle < 1
A_i = ] i, i+M] ,\quad i \in ]0, L-M]

Repetitions

\(L-M\) sub-systems

B_i = ]i \times \frac{M}{2}, i\times \frac{M}{2}+M] ,\quad 0 \leq i \leq \left \lceil \frac{2L}{M} \right \rceil

7

arXiv:2211.13089 (v1)

\(\left \lceil \frac{2L}{M}\right\rceil \) sub-systems

Far less repetitions

\(M \)  twice as large

0 \leq i < \left \lfloor \frac{2L}{M} \right \rfloor
i \in [0, L-M]

1. Partitions: \(M\) sites

x_1
\rho_1 = \frac{1}{N} \sum_{\alpha} |\tilde{\Phi}_{\alpha} \rangle \langle \tilde{\Phi}_\alpha|
\langle x_1 | N \rho_1 | x_1 \rangle < 1
A_i = ] i, i+M] ,\quad i \in ]0, L-M]

Repetitions

\(L-M\) sub-systems

B_i = ]i \times \frac{M}{2}, i\times \frac{M}{2}+M] ,\quad 0 \leq i \leq \left \lceil \frac{2L}{M} \right \rceil

7

arXiv:2211.13089 (v1)

\(\left \lceil \frac{2L}{M}\right\rceil \) sub-systems

Far less repetitions

\(M \)  twice as large

0 \leq i < \left \lfloor \frac{2L}{M} \right \rfloor
i \in [0, L-M]

1. Partitions: \(M\) sites

x_1
\rho_1 = \frac{1}{N} \sum_{\alpha} |\tilde{\Phi}_{\alpha} \rangle \langle \tilde{\Phi}_\alpha|
\langle x_1 | N \rho_1 | x_1 \rangle = 1
A_i = ] i, i+M] ,\quad i \in ]0, L-M]

Repetitions

\(L-M\) sub-systems

B_i = ]i \times \frac{M}{2}, i\times \frac{M}{2}+M] ,\quad 0 \leq i \leq \left \lceil \frac{2L}{M} \right \rceil

7

arXiv:2211.13089 (v1)

\(\left \lceil \frac{2L}{M}\right\rceil \) sub-systems

Far less repetitions

\(M \)  twice as large

0 \leq i < \left \lfloor \frac{2L}{M} \right \rfloor
i \in [0, L-M]

1. Partitions: \(M\) sites

x_1
x_2
\rho_1 = \frac{1}{N} \sum_{\alpha} |\tilde{\Phi}_{\alpha} \rangle \langle \tilde{\Phi}_\alpha|
\langle x_1 | N \rho_1 | x_1 \rangle = 1
\langle x_2 | N \rho_1 | x_2 \rangle < 1
A_i = ] i, i+M] ,\quad i \in ]0, L-M]

Repetitions

\(L-M\) sub-systems

B_i = ]i \times \frac{M}{2}, i\times \frac{M}{2}+M] ,\quad 0 \leq i \leq \left \lceil \frac{2L}{M} \right \rceil

7

arXiv:2211.13089 (v1)

\(\left \lceil \frac{2L}{M}\right\rceil \) sub-systems

Far less repetitions

\(M \)  twice as large

0 \leq i < \left \lfloor \frac{2L}{M} \right \rfloor
i \in [0, L-M]

1. Partitions: \(M\) sites

x_1
x_2
\rho_1 = \frac{1}{N} \sum_{\alpha} |\tilde{\Phi}_{\alpha} \rangle \langle \tilde{\Phi}_\alpha|
\langle x_1 | N \rho_1 | x_1 \rangle = 1
\langle x_2 | N \rho_1 | x_2 \rangle < 1
A_i = ] i, i+M] ,\quad i \in ]0, L-M]

Repetitions

\(L-M\) sub-systems

B_i = ]i \times \frac{M}{2}, i\times \frac{M}{2}+M] ,\quad 0 \leq i \leq \left \lceil \frac{2L}{M} \right \rceil

7

arXiv:2211.13089 (v1)

\(\left \lceil \frac{2L}{M}\right\rceil \) sub-systems

Far less repetitions

\(M \)  twice as large

0 \leq i < \left \lfloor \frac{2L}{M} \right \rfloor
i \in [0, L-M]

2. Embed

8

arXiv:2211.13089 (v1)

H = H^S + H^{\mathrm{Env}}

Real

Spurious

\(B_{i-1}\)

\ln(\tilde{\Phi}(x))

2. Embed

8

arXiv:2211.13089 (v1)

H = H^S + H^{\mathrm{Env}}

\(|\Phi\rangle\) localized in \(S\) : 

Variance w.r.t environment

\(|\Phi\rangle\) eigenvector of \( H^S\):

\sigma_{\Phi}^2(H) = ||H^{\mathrm{Env}}|\Phi\rangle||^2

3. COMBINE / ELIMINATE

9

arXiv:2211.13089 (v1)

Alternative : Gram-Schmidt

Two steps:

No arbitrary cut-off

Much slower

1.     \( |E_{\Phi} - E_{\Phi_k}| > \mathrm{num. }\, \mathrm{err} \quad \forall \, k \in \mathrm{rel.}\, \mathrm{clusters} \)

2.  \( \langle \Phi_{j} | \Phi \rangle < \theta \)  for all  relevant \(k\) 

\( \Rightarrow  | \Phi \rangle \) is a new eigenfunction 

Setting \(\theta\) : 

\rho_1 = \frac{1}{N} \sum_{\alpha} |\tilde{\Phi}_{\alpha} \rangle \langle \tilde{\Phi}_\alpha|

Pop. on each site should not be larger than 1.

3. COMBINE / ELIMINATE

9

arXiv:2211.13089 (v1)

Two steps:

1.     \( |E_{\Phi} - E_{\Phi_k}| > \mathrm{num. }\, \mathrm{err} \quad \forall \, k \in \mathrm{rel.}\, \mathrm{clusters} \)

2.  \( \langle \Phi_{j} | \Phi \rangle < \theta \)  for all  relevant \(k\) 

\( \Rightarrow  | \Phi \rangle \) is a new eigenfunction 

Setting \(\theta\) : 

\rho_1 = \frac{1}{N} \sum_{\alpha} |\tilde{\Phi}_{\alpha} \rangle \langle \tilde{\Phi}_\alpha|

Pop. on each site should not be larger than 1.

  • Before storing
  • Previous overlapping subsystems

Parallelization:

4. Time evolution

10

arXiv:2211.13089 (v1)

|\psi_0\rangle = \sum_{\mu} |\Phi_{\mu} \rangle \langle \Phi_{\mu} | \psi_0\rangle

Prec. \(\epsilon\) on \(\langle\hat{O}\rangle\) \(\Rightarrow\)

# Eigenfunctions:

Accuracy of eigenfunctions:

\langle \Phi_{\mu} | \psi_0\rangle < \delta

Valid eigenfunctions : variance smaller than \(\delta^2\)

(Err. \(\delta\) in amplitude)

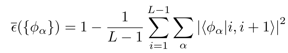
Single particle specificities

11

arXiv:2211.13089 (v1)

  • \(L\) eigenfunctions
  • Orthogonality : \(\mathrm{Tr}(\rho_1)\) = 1
  • If missing: sites s.t. \(\langle x | N \rho_1| x \rangle < 1 \)

Termination criteria

Variance

\( S = [\alpha, \Omega]\)

TIP specificities (1)

12

arXiv:2211.13089 (v1)

Idea

  • \(L \times (L-1) /2 \) eigenfunctions
  • Most pairs unaffected
  • Focus on subsystems of size M

BASIS

  • \( M \times (M-1) /2\), but sparse
  • Bandwidth \(M\) in \(\{|1,2\rangle, \dots , |1,M \rangle, |2,3 \rangle , \dots, |M-1, M \rangle\}\)
  • Can be made \(M/2\) [Reverse Cuthill-McKee]

TIP specificities (2)

13

arXiv:2211.13089 (v1)

Variance

Termination criterion

Here \(|\Phi_{i}| ^2 = \sum_{j} |\langle i,j |\Phi\rangle |^2 \)

Smaller than a given cut-off. 

Increase \(M\): new eigenstates, but independent of the value of the interaction

Algorithm Summary

arXiv:2211.13089 (v1)

Parameters

\(\sigma\)

\(\theta, \, \delta (\epsilon)\)

Simulation settings

14

\(M_{\mathrm{Max}} = 26000 \)

\(\Rightarrow V_{\mathrm{Min}} = 0.05 \): \(W^{\mathrm{box}}_{\mathrm{And.}} \sim 0.77\);  \(W^{\mathrm{Gauss.}}_{\mathrm{And.}} = W^{\mathrm{Bin.}}_{\mathrm{And.}}  \sim 0.44\)

Single particle

INteracting particles

Variance: 

\sigma_0^2 = \begin{cases} 10^{-32} & \text{ strong disorder}\\ 10^{-16} & \text{ weak disorder} \end{cases}

Time evolution:

\(M_{\mathrm{Max}} = 200 \)

Variance: 

\sigma_0^2 = 10^{-16}
\epsilon = \begin{cases} 10^{-3} & \text{ strong disorder}\\ 10^{-1} & \text{ weak disorder} \end{cases}

Overlap: 

\(\theta = 10^{-5}\)

Overlap: 

\(\theta = 10^{-7}\)

Time evolution:

\epsilon = \begin{cases} 10^{-5} & \text{ strong disorder}\\ 10^{-2} & \text{ weak disorder} \end{cases}

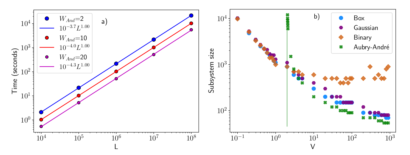
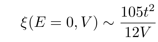
Performance

15

\(M \propto \xi \)

Assume

  • \(M\) being \(L \)-independent
  • \(M\) large enough

Limitations:

\mathcal{O}(\frac{L}{M} \times F(M)) = \begin{cases} \mathcal{O}(L \times M^2) & \text{ generic } \\ \mathcal{O}(L \times M) & \text{ tridiagonal } \end{cases}

\(\xi \sim L\) (ergodic) \(\rightarrow\) usual complexity

\(\xi \ll L\) \(\rightarrow\) Dep. \(L\) : locally larger \(M\)

arXiv:2211.13089 (v1)

Performance

16

4 cores Inter Core i7-7700 CPU

  • Box distribution
  • \(M = 1000,500, 250\)

arXiv:2211.13089 (v1)

Performance

17

\(M\)

  • Saturation : binary potential

 

  • Aubry-André : delocalized eigenstates

Potential variance

arXiv:2211.13089 (v1)

S. Aubry and G. André, Ann. Israel Phys. Soc 3, 18, (1980)

Results

Strong

Weak

Single Particle

Two Interacting Particles

Eigenfunctions / Dynamics

Disorder

Properties of eigenfunctions

Strong disorder - single particle

18

\(10^9\) sites, Box distribution

\(W_{\mathrm{And.}} = 10\)

\(W_{\mathrm{MBL}} = 2.5\)

\(W_{\mathrm{And.}} = 20\)

\(W_{\mathrm{MBL}} = 5\)

\(W_{\mathrm{And.}} = 40\)

\(W_{\mathrm{MBL}} = 10\)

arXiv:2211.13089 (v1)

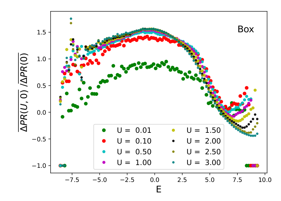
Strong disorder - TIP

19

Diff.

\(U = 0\)

\(U = 2\)

\(L = 10^5, W_{\mathrm{And.}} = 10\)

Box distribution

arXiv:2211.13089 (v1)

Strong disorder - TIP 

20

\( U = 10, L = 10^6, W_{\mathrm{And.}} = 40\)

arXiv:2211.13089 (v1)

Strong disorder - TIP 

20

\( U = 10, L = 10^6, W_{\mathrm{And.}} = 40\)

arXiv:2211.13089 (v1)

Weak disorder - Single particle

21

D.O.S., \(V = 0.05\), i.e. \(W_{\mathrm{Box, MBL}} = \) ; \(L = 10^8\) sites

arXiv:2211.13089 (v1)

Cusp : M. Kappus and F. Wegner,

Zeit. Phys. B 45,15–21 (1981)

Weak disorder - Single particle

22

Localization length, \(V = 0.05\), i.e. \(W_{\mathrm{Box, MBL}} = \) ; \(L = 10^8\) sites

arXiv:2211.13089 (v1)

 

G. Czycholl, B. Kramer, and A. MacKinnon, Zeit. Phys. B 43, 5–11 (1981)

M. Kappus and F. Wegner, Zeit. Phys. B 45,15–21 (1981)

B. Kramer and A. MacKinnon, Rep. Prog. Phys. 56, 1469 (1993)

Weak disorder - Single particle

23

Localization length, \(L = 10^8\) sites

arXiv:2211.13089 (v1)

 

G. Czycholl, B. Kramer, and A. MacKinnon, Zeit. Phys. B 43, 5–11 (1981)

M. Kappus and F. Wegner, Zeit. Phys. B 45,15–21 (1981)

B. Kramer and A. MacKinnon, Rep. Prog. Phys. 56, 1469 (1993)

Weak disorder - Single particle

24

\(L = 10^8\), Box distribution, \(V = 0.05\)

arXiv:2211.13089 (v1)

Weak disorder - Single particle

24

\(L = 10^8\), Box distribution, \(V = 0.05\)

arXiv:2211.13089 (v1)

Weak disorder - Single particle

24

\(L = 10^8\), Box distribution, \(V = 0.05\)

arXiv:2211.13089 (v1)

Weak disorder - TIP

25

\(L = 10^6\), \(W_{\mathrm{And}} = 4\)

\(V = 4\)

\(L = 10^6\), \(W_{\mathrm{And}} = 6\)

\(V = 3\)

arXiv:2211.13089 (v1)

Weak disorder - TIP

25

\(L = 10^6\), \(W_{\mathrm{And}} = 4\)

\(V = 4\)

\(L = 10^6\), \(W_{\mathrm{And}} = 6\)

\(V = 3\)

arXiv:2211.13089 (v1)

Weak disorder - TIP

25

\(L = 10^6\), \(W_{\mathrm{And}} = 4\)

\(V = 4\)

\(L = 10^6\), \(W_{\mathrm{And}} = 6\)

\(V = 3\)

arXiv:2211.13089 (v1)

Weak disorder - TIP

26

\(L = 10^6\), \(W_{\mathrm{And}} = 6\)

\(V = 3\)

\(L = 10^6\), \(W_{\mathrm{And}} = 4\)

\(V = 4\)

arXiv:2211.13089 (v1)

Weak disorder - TIP

26

\(L = 10^6\), \(W_{\mathrm{And}} = 6\)

\(V = 3\)

\(L = 10^6\), \(W_{\mathrm{And}} = 4\)

\(V = 4\)

arXiv:2211.13089 (v1)

Weak disorder - TIP

26

\(L = 10^6\), \(W_{\mathrm{And}} = 6\)

\(V = 3\)

\(L = 10^6\), \(W_{\mathrm{And}} = 4\)

\(V = 4\)

arXiv:2211.13089 (v1)

Weak disorder - TIP

26

\(L = 10^6\), \(W_{\mathrm{And}} = 6\)

\(V = 3\)

\(L = 10^6\), \(W_{\mathrm{And}} = 4\)

\(V = 4\)

arXiv:2211.13089 (v1)

Localized VS extended

27

Aubry-André model

\(L = 10^8\) sites

\rho_1 = \frac{1}{N} \sum_{\alpha} |\tilde{\Phi}_{\alpha} \rangle \langle \tilde{\Phi}_\alpha|
x_1
x_2

S. Aubry and G. André, Ann. Israel Phys. Soc 3, 18, (1980)

arXiv:2211.13089 (v1)

Localized VS extended

28

Bond disorder

\(L = 10^8\) sites

arXiv:2211.13089 (v1)

\(M = 10^4, 99.8\%\) of eigenstates

\(\Delta t = 0.5\)

Divergence : L. Balents and M. P. A. Fisher, Phys. Rev. B 56, 12970 (1997)

Localized VS extended

28

Bond disorder

\(L = 10^8\) sites

arXiv:2211.13089 (v1)

\(M = 10^4, 99.8\%\) of eigenstates

\(\Delta t = 0.5\)

Divergence : L. Balents and M. P. A. Fisher, Phys. Rev. B 56, 12970 (1997)

Localized VS extended

28

Bond disorder

\(L = 10^8\) sites

arXiv:2211.13089 (v1)

\(M = 10^4, 99.8\%\) of eigenstates

\(\Delta t = 0.5\)

Divergence : L. Balents and M. P. A. Fisher, Phys. Rev. B 56, 12970 (1997)

Localized VS extended

28

Bond disorder

\(L = 10^8\) sites

arXiv:2211.13089 (v1)

\(M = 10^4, 99.8\%\) of eigenstates

\(\Delta t = 0.5\)

Divergence : L. Balents and M. P. A. Fisher, Phys. Rev. B 56, 12970 (1997)

BONUS : Dynamics

Evolution of localized wavefunctions

Strong disorder dynamics 

29

Long-time limit

Strong disorder, \(L = 10^9\)

\(t \in [9.500, 10.500]\)

arXiv:2211.13089 (v1)

Strong disorder dynamics 

29

Long-time limit

Strong disorder, \(L = 10^9\)

\(t \in [9.500, 10.500]\)

arXiv:2211.13089 (v1)

Strong disorder dynamics 

29

Long-time limit

Strong disorder, \(L = 10^9\)

\(t \in [9.500, 10.500]\)

arXiv:2211.13089 (v1)

Strong disorder dynamics 

29

Long-time limit

Strong disorder, \(L = 10^9\)

\(t \in [9.500, 10.500]\)

arXiv:2211.13089 (v1)

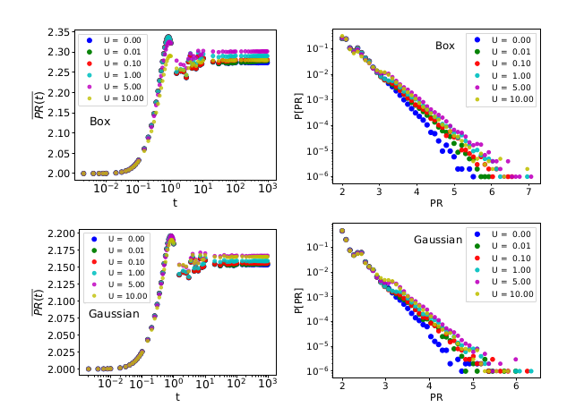
Effect of interactions on strong disorder dynamics

30

arXiv:2211.13089 (v1)

\(L= 10^6\)

Effect of interactions on strong disorder dynamics

30

arXiv:2211.13089 (v1)

\(L= 10^6\)

Effect of interactions on strong disorder dynamics

30

arXiv:2211.13089 (v1)

Long-time limit

\(L= 10^6\)

weak disorder dynamics 

31

arXiv:2211.13089 (v1)

Weak disorder, 

\(L = 10^8\)

Box, \(V = 0.05\)

weak disorder dynamics 

31

arXiv:2211.13089 (v1)

Weak disorder, 

\(L = 10^8\)

Box, \(V = 0.05\)

Effect of interactions on weak disorder dynamics

32

arXiv:2211.13089 (v1)

Effect of interactions on weak disorder dynamics

32

arXiv:2211.13089 (v1)

Effect of interactions on weak disorder dynamics

32

arXiv:2211.13089 (v1)

Summary

arXiv:2211.13089 (v1)

  • Approach from localized
  • Diagnose missing eigenfunctions
  • Large system sizes

Journal Club DaC Algorithm

By Jeanne Colbois

Journal Club DaC Algorithm

A journal club presentation of a recent preprint by L. Hernandez-Mulà and A. Läuchli on an algorithm to study Anderson localization and a two-interacting particles problem up to very large system sizes with a controllable error.

  • 424