Jeanne Colbois | TMC

Kasteleyn mechanism,

frustrated spin systems

and staircases

Jeanne Colbois | TMC

Kasteleyn mechanism,

frustrated spin systems

and staircases

Samuel Nyckees

Afonso Rufino

Frédéric Mila

Andrew Smerald

KIT | Germany

Frédéric Mila

EPFL | Switzerland

Frank Verstraete

Ghent University | Belgium

Laurens Vanderstraeten

Ghent University | Belgium

Bram Vanhecke

University of Vienna | Austria

COLBOIS | KASTELEYN MECHANISM |  06.2025

Acknowledgement for previous work : 

COLBOIS | KASTELEYN MECHANISM |  06.2025

the kasteleyn Phase transition

1

COLBOIS | KASTELEYN MECHANISM |  06.2025

the kasteleyn Phase transition

AKA the Pokrovsky-Talapov transition

1

COLBOIS | KASTELEYN MECHANISM |  06.2025

the kasteleyn Phase transition

AKA the Pokrovsky-Talapov transition

Constrained models

Incommensurate systems

1

COLBOIS | KASTELEYN MECHANISM |  06.2025

the kasteleyn Phase transition

2

2nd order phase transition: 

 

\(T\)

\(T\)

\(C_V\)

\(m\) (order parameter)

COLBOIS | KASTELEYN MECHANISM |  06.2025

the kasteleyn Phase transition

2

2nd order phase transition: 

 

\(T\)

\(T\)

\(T\)

\(T\)

\(C_V\)

\(m\) (order parameter)

"disorder" parameter

\(C_V\)

Kasteleyn / Pokrovsky-Talapov:

 

COLBOIS | KASTELEYN MECHANISM |  06.2025

the kasteleyn Phase transition

2

2nd order phase transition: 

 

Kasteleyn / Pokrovsky-Talapov:

 

\(T\)

\(T\)

\(T\)

\(T\)

\(C_V\)

\(m\) (order parameter)

"disorder" parameter

\(C_V\)

"Mixed order"

COLBOIS | KASTELEYN MECHANISM |  06.2025

the kasteleyn Phase transition

2

2nd order phase transition: 

 

Kasteleyn / Pokrovsky-Talapov:

 

\(T\)

\(T\)

\(T\)

\(T\)

\(C_V\)

\(m\) (order parameter)

"disorder" parameter

\(C_V\)

"Mixed order"

Fluctuationless at LOw-T

 

COLBOIS | KASTELEYN MECHANISM |  06.2025

the kasteleyn Phase transition

2

2nd order phase transition: 

 

Kasteleyn / Pokrovsky-Talapov:

 

\(T\)

\(T\)

\(T\)

\(T\)

\(C_V\)

\(m\) (order parameter)

"disorder" parameter

\(C_V\)

"Mixed order"

Fluctuationless at LOw-T

Square-root singularity

COLBOIS | KASTELEYN MECHANISM |  06.2025

sCOPE

3

COLBOIS | KASTELEYN MECHANISM |  06.2025

sCOPE

3

1. The Kasteleyn mechanism

 

COLBOIS | KASTELEYN MECHANISM |  06.2025

sCOPE

3

1. The Kasteleyn mechanism

 

2. Examples in frustrated magnetism

 

COLBOIS | KASTELEYN MECHANISM |  06.2025

sCOPE

3

1. The Kasteleyn mechanism

 

2. Examples in frustrated magnetism

 

3. Staircases in Ising models

 

COLBOIS | KASTELEYN MECHANISM |  06.2025

sCOPE

3

1. The Kasteleyn mechanism

 

2. Examples in frustrated magnetism

 

3. Staircases in Ising models

 

4. A Kasteleyn-driven topological staircase

COLBOIS | KASTELEYN MECHANISM |  06.2025

Kasteleyn mechanism : IDEA

4

Ground state of some 2D classical

constrained model

J. F. Nagle et al, Domb & Lebowitz Phase transitions and critical phenomena 13  (1989)

COLBOIS | KASTELEYN MECHANISM |  06.2025

Kasteleyn mechanism : IDEA

4

DEFECTS /EXCITATIONS:

J. F. Nagle et al, Domb & Lebowitz Phase transitions and critical phenomena 13  (1989)

COLBOIS | KASTELEYN MECHANISM |  06.2025

Kasteleyn mechanism : IDEA

4

DEFECTS /EXCITATIONS:

  • Directed

J. F. Nagle et al, Domb & Lebowitz Phase transitions and critical phenomena 13  (1989)

COLBOIS | KASTELEYN MECHANISM |  06.2025

Kasteleyn mechanism : IDEA

4

DEFECTS /EXCITATIONS:

  • Directed, non-crossing

J. F. Nagle et al, Domb & Lebowitz Phase transitions and critical phenomena 13  (1989)

COLBOIS | KASTELEYN MECHANISM |  06.2025

Kasteleyn mechanism : IDEA

4

J. F. Nagle et al, Domb & Lebowitz Phase transitions and critical phenomena 13  (1989)

DEFECTS /EXCITATIONS:

  • Directed, non-crossing, non-terminating

COLBOIS | KASTELEYN MECHANISM |  06.2025

Kasteleyn mechanism : IDEA

4

\(E \propto L \)

J. F. Nagle et al, Domb & Lebowitz Phase transitions and critical phenomena 13  (1989)

DEFECTS /EXCITATIONS:

  • Directed, non-crossing, non-terminating

Energy cost : linear in system size

COLBOIS | KASTELEYN MECHANISM |  06.2025

Kasteleyn mechanism : IDEA

4

\(E \propto L \)

J. F. Nagle et al, Domb & Lebowitz Phase transitions and critical phenomena 13  (1989)

DEFECTS /EXCITATIONS:

  • Directed, non-crossing, non-terminating

Energy cost : linear in system size

Entropy gain!

COLBOIS | KASTELEYN MECHANISM |  06.2025

Kasteleyn mechanism : IDEA

4

\(E \propto L \)

J. F. Nagle et al, Domb & Lebowitz Phase transitions and critical phenomena 13  (1989)

DEFECTS /EXCITATIONS:

  • Directed, non-crossing, non-terminating

Energy cost : linear in system size

Entropy gain!

COLBOIS | KASTELEYN MECHANISM |  06.2025

Kasteleyn mechanism : IDEA

4

\(E \propto L \)

J. F. Nagle et al, Domb & Lebowitz Phase transitions and critical phenomena 13  (1989)

DEFECTS /EXCITATIONS:

  • Directed, non-crossing, non-terminating

Energy cost : linear in system size

Entropy gain!

COLBOIS | KASTELEYN MECHANISM |  06.2025

Kasteleyn mechanism : IDEA

4

\(E \propto L \)

\(F = E - TS\)

\(S \propto L \)

\(T\)

No defects

J. F. Nagle et al, Domb & Lebowitz Phase transitions and critical phenomena 13  (1989)

DEFECTS /EXCITATIONS:

  • Directed, non-crossing, non-terminating

Energy cost : linear in system size

Entropy gain!

COLBOIS | KASTELEYN MECHANISM |  06.2025

Kasteleyn mechanism : IDEA

4

DEFECTS /EXCITATIONS:

  • Directed, non-crossing, non-terminating

Energy cost : linear in system size

Entropy gain!

\(E \propto L \)

\(F = E - TS\)

\(S \propto L \)

\(T\)

No defects

J. F. Nagle et al, Domb & Lebowitz Phase transitions and critical phenomena 13  (1989)

COLBOIS | KASTELEYN MECHANISM |  06.2025

Kasteleyn mechanism : IDEA

4

\(E \propto L \)

\(F = E - TS\)

\(S \propto L \)

\(T\)

No defects

Strings

condense

J. F. Nagle et al, Domb & Lebowitz Phase transitions and critical phenomena 13  (1989)

DEFECTS /EXCITATIONS:

  • Directed, non-crossing, non-terminating

Energy cost : linear in system size

Entropy gain!

COLBOIS | KASTELEYN MECHANISM |  06.2025

Kasteleyn mechanism : IDEA

4

\(E \propto L \)

\(F = E - TS\)

\(S \propto L \)

\(T\)

No defects

Strings

condense

J. F. Nagle et al, Domb & Lebowitz Phase transitions and critical phenomena 13  (1989)

DEFECTS /EXCITATIONS:

  • Directed, non-crossing, non-terminating

Energy cost : linear in system size

Entropy gain!

COLBOIS | KASTELEYN MECHANISM |  06.2025

Kasteleyn mechanism : IDEA

4

\(E \propto L \)

\(F = E - TS\)

\(S \propto L \)

\(T\)

No defects

Strings

condense

J. F. Nagle et al, Domb & Lebowitz Phase transitions and critical phenomena 13  (1989)

DEFECTS /EXCITATIONS:

  • Directed, non-crossing, non-terminating

Energy cost : linear in system size

Entropy gain!

COLBOIS | KASTELEYN MECHANISM |  06.2025

An example : the dimer model 

5

J. F. Nagle et al, Domb & Lebowitz Phase transitions and critical phenomena 13  (1989)

Adsorption of diatomic molecules (dimers) on crystal surfaces

COLBOIS | KASTELEYN MECHANISM |  06.2025

An example : the dimer model 

5

J. F. Nagle et al, Domb & Lebowitz Phase transitions and critical phenomena 13  (1989)

Adsorption of diatomic molecules (dimers) on crystal surfaces

\varepsilon_2

1

2

3

\varepsilon_3
\varepsilon_1
<
=

COLBOIS | KASTELEYN MECHANISM |  06.2025

An example : the dimer model 

5

J. F. Nagle et al, Domb & Lebowitz Phase transitions and critical phenomena 13  (1989)

Adsorption of diatomic molecules (dimers) on crystal surfaces

Hardcore (close-packed) dimers

\varepsilon_2

1

2

3

\varepsilon_3
\varepsilon_1
<
=

COLBOIS | KASTELEYN MECHANISM |  06.2025

An example : the dimer model 

5

J. F. Nagle et al, Domb & Lebowitz Phase transitions and critical phenomena 13  (1989)

Adsorption of diatomic molecules (dimers) on crystal surfaces

Hardcore (close-packed) dimers

\(\varepsilon_b\) : cost of putting a dimer on \(b = 1,2,3\)

z_b = e^{-\frac{\varepsilon_b}{k_B T}}
\mathcal{Z}(\mathbf{z}) = \sum_{\mathrm{coverings}} \prod_b z_b^{N_b}
\varepsilon_2
\varepsilon_1 = 0

1

2

3

\varepsilon_3
\varepsilon_1
<
=

COLBOIS | KASTELEYN MECHANISM |  06.2025

Ground state v.s. Excitations

J. F. Nagle et al, Domb & Lebowitz Phase transitions and critical phenomena 13  (1989)

\varepsilon_2
\varepsilon_3
\varepsilon_1
<
=

Constraint : hardcore

6

COLBOIS | KASTELEYN MECHANISM |  06.2025

Ground state v.s. Excitations

J. F. Nagle et al, Domb & Lebowitz Phase transitions and critical phenomena 13  (1989)

\varepsilon_2
\varepsilon_3
\varepsilon_1
<
=

Constraint : hardcore

6

COLBOIS | KASTELEYN MECHANISM |  06.2025

Ground state v.s. Excitations

J. F. Nagle et al, Domb & Lebowitz Phase transitions and critical phenomena 13  (1989)

\varepsilon_2
\varepsilon_3
\varepsilon_1
<
=

Constraint : hardcore

6

COLBOIS | KASTELEYN MECHANISM |  06.2025

Ground state v.s. Excitations

J. F. Nagle et al, Domb & Lebowitz Phase transitions and critical phenomena 13  (1989)

\varepsilon_2
\varepsilon_3
\varepsilon_1
<
=

Constraint : hardcore

6

COLBOIS | KASTELEYN MECHANISM |  06.2025

Ground state v.s. Excitations

J. F. Nagle et al, Domb & Lebowitz Phase transitions and critical phenomena 13  (1989)

\varepsilon_2
\varepsilon_3
\varepsilon_1
<
=

Constraint : hardcore

6

COLBOIS | KASTELEYN MECHANISM |  06.2025

Ground state v.s. Excitations

J. F. Nagle et al, Domb & Lebowitz Phase transitions and critical phenomena 13  (1989)

\varepsilon_2
\varepsilon_3
\varepsilon_1
<
=

Constraint : hardcore

6

COLBOIS | KASTELEYN MECHANISM |  06.2025

Ground state v.s. Excitations

J. F. Nagle et al, Domb & Lebowitz Phase transitions and critical phenomena 13  (1989)

\varepsilon_2
\varepsilon_3
\varepsilon_1
<
=

Constraint : hardcore

  • Directed, non-crossing, non-terminating

6

COLBOIS | KASTELEYN MECHANISM |  06.2025

Ground state v.s. Excitations

J. F. Nagle et al, Domb & Lebowitz Phase transitions and critical phenomena 13  (1989)

\varepsilon_2
\varepsilon_3
\varepsilon_1
<
=

Constraint : hardcore

  • Directed, non-crossing, non-terminating
  • Linear energy cost

6

COLBOIS | KASTELEYN MECHANISM |  06.2025

Ground state v.s. Excitations

J. F. Nagle et al, Domb & Lebowitz Phase transitions and critical phenomena 13  (1989)

\varepsilon_2
\varepsilon_3
\varepsilon_1
<
=

Constraint : hardcore

  • Directed, non-crossing, non-terminating
  • Linear energy cost
  • Entropic gain

6

COLBOIS | KASTELEYN MECHANISM |  06.2025

Ground state v.s. Excitations

J. F. Nagle et al, Domb & Lebowitz Phase transitions and critical phenomena 13  (1989)

\varepsilon_2
\varepsilon_3
\varepsilon_1
<
=

Constraint : hardcore

  • Directed, non-crossing, non-terminating
  • Linear energy cost
  • Entropic gain

6

COLBOIS | KASTELEYN MECHANISM |  06.2025

Disorder parameter : density of strings

7

Directed, non-crossing, non-terminating

COLBOIS | KASTELEYN MECHANISM |  06.2025

Disorder parameter : density of strings

7

\(T\)

"disorder" parameter

\((T-T_K)^{1/2}\)

n_{\mathrm{strings}} = \frac{1}{2} + \frac{3}{2}\frac{\langle N_2 + N_3 - N_1\rangle}{N_{\mathrm{bonds}}}

Directed, non-crossing, non-terminating

COLBOIS | KASTELEYN MECHANISM |  06.2025

Disorder parameter : density of strings

7

\(T\)

"disorder" parameter

\((T-T_K)^{1/2}\)

n_{\mathrm{strings}} = \frac{1}{2} + \frac{3}{2}\frac{\langle N_2 + N_3 - N_1\rangle}{N_{\mathrm{bonds}}}

0

in the ground state

1

at most

2/3

in the large \(T\) limit

Directed, non-crossing, non-terminating

COLBOIS | KASTELEYN MECHANISM |  06.2025

Disorder parameter : density of strings

7

\(T\)

"disorder" parameter

\((T-T_K)^{1/2}\)

n_{\mathrm{strings}} = \frac{1}{2} + \frac{3}{2}\frac{\langle N_2 + N_3 - N_1\rangle}{N_{\mathrm{bonds}}}

0

in the ground state

1

at most

2/3

in the large \(T\) limit

Mapping to free fermions Hamiltonian 

\(T \leftrightarrow\) chemical potential

\(n_{\mathrm{strings}} \leftrightarrow\) fermions density

Directed, non-crossing, non-terminating

Questions so far ? 

Kasteleyn / Pokrovsky-Talapov transition:

entropy-driven condensation of

directed, non-crossing, non-terminating string excitations

in a constrained model.

Questions so far ? 

Kasteleyn / Pokrovsky-Talapov transition:

entropy-driven condensation of

Not discussed here: 

algebraic decay of correlations

fundamental anisotropy in the critical exponents

etc. 

directed, non-crossing, non-terminating string excitations

in a constrained model.

2. Kasteleyn transition in frustrated magnetism

2D : triangular lattice Ising antiferromagnets

COLBOIS | KASTELEYN MECHANISM |  06.2025

8

Nearest-neighbor anisotropic

\(J_1-J_2-J_3-J_5\) (spontaneous anisotropy)

Smerald & Mila, Scipost (2019)

Smerald, Korshunov & Mila, PRL (2016)

Constrained limit \(J \gg T\)

Ground state

2D : triangular lattice Ising antiferromagnets

COLBOIS | KASTELEYN MECHANISM |  06.2025

8

Nearest-neighbor anisotropic

\(J_1-J_2-J_3-J_5\) (spontaneous anisotropy)

Smerald & Mila, Scipost (2019)

Smerald, Korshunov & Mila, PRL (2016)

Constrained limit \(J \gg T\)

Excitations

2D : triangular lattice Ising antiferromagnets

COLBOIS | KASTELEYN MECHANISM |  06.2025

8

Nearest-neighbor anisotropic

\(J_1-J_2-J_3-J_5\) (spontaneous anisotropy)

Smerald & Mila, Scipost (2019)

Smerald, Korshunov & Mila, PRL (2016)

Constrained limit \(J \gg T\)

Excitations

2D : triangular lattice Ising antiferromagnets

COLBOIS | KASTELEYN MECHANISM |  06.2025

8

Nearest-neighbor anisotropic

\(J_1-J_2-J_3-J_5\) (spontaneous anisotropy)

Smerald & Mila, Scipost (2019)

Smerald, Korshunov & Mila, PRL (2016)

Constrained limit \(J \gg T\)

Excitations

2D : triangular lattice Ising antiferromagnets

COLBOIS | KASTELEYN MECHANISM |  06.2025

8

Nearest-neighbor anisotropic

\(J_1-J_2-J_3-J_5\) (spontaneous anisotropy)

Smerald & Mila, Scipost (2019)

Smerald, Korshunov & Mila, PRL (2016)

Constrained limit \(J \gg T\)

Excitations : double domain wall

2D : triangular lattice Ising antiferromagnets

COLBOIS | KASTELEYN MECHANISM |  06.2025

8

Nearest-neighbor anisotropic

\(J_1-J_2-J_3-J_5\) (spontaneous anisotropy)

Smerald & Mila, Scipost (2019)

Smerald, Korshunov & Mila, PRL (2016)

Constrained limit \(J \gg T\)

Excitations : double domain wall

NB: NN model vs anisotropic one

2D : triangular lattice Ising antiferromagnets

COLBOIS | KASTELEYN MECHANISM |  06.2025

8

Nearest-neighbor anisotropic

\(J_1-J_2-J_3-J_5\) (spontaneous anisotropy)

Smerald & Mila, Scipost (2019)

Smerald, Korshunov & Mila, PRL (2016)

Constrained limit \(J \gg T\)

Excitations : double domain wall

NB: NN model vs anisotropic one

2D : triangular lattice Ising antiferromagnets

COLBOIS | KASTELEYN MECHANISM |  06.2025

8

Nearest-neighbor anisotropic

\(J_1-J_2-J_3-J_5\) (spontaneous anisotropy)

Smerald & Mila, Scipost (2019)

Smerald, Korshunov & Mila, PRL (2016)

Constrained limit \(J \gg T\)

Excitations : double domain wall

NB: NN model vs anisotropic one

3D kasteleyn transition in Spin ice

COLBOIS | KASTELEYN MECHANISM |  06.2025

L, Jaubert et. al. J.Phys.:Conf.Ser. 145, 012024 (2009)

9

L, Jaubert et. al. PRL 100 (2008)

Spin ice in a [100] field

2-in 2-out ground state

3D kasteleyn transition in Spin ice

COLBOIS | KASTELEYN MECHANISM |  06.2025

L, Jaubert et. al. J.Phys.:Conf.Ser. 145, 012024 (2009)

9

L, Jaubert et. al. PRL 100 (2008)

Spin ice in a [100] field

2-in 2-out ground state

Magnetization in each (100) plane is the same

3D kasteleyn transition in Spin ice

COLBOIS | KASTELEYN MECHANISM |  06.2025

L, Jaubert et. al. J.Phys.:Conf.Ser. 145, 012024 (2009)

9

L, Jaubert et. al. PRL 100 (2008)

Spin ice in a [100] field

2-in 2-out ground state

Magnetization in each (100) plane is the same

1. Start from fully polarized state

2 . Lower the field

3D kasteleyn transition in Spin ice

COLBOIS | KASTELEYN MECHANISM |  06.2025

L, Jaubert et. al. J.Phys.:Conf.Ser. 145, 012024 (2009)

9

L, Jaubert et. al. PRL 100 (2008)

Spin ice in a [100] field

2-in 2-out ground state

Magnetization in each (100) plane is the same

1. Start from fully polarized state

2 . Lower the field

Defects are strings

directed

non-terminating

non-crossing

3. Staircases

ANNNI model devil's staircase

COLBOIS | KASTELEYN MECHANISM |  06.2025

10

Ferro \(J_1\)

AF \(J_2\) in one direction

In 3D : 

Macroscopic degeneracy of arrangements for successive ferromagnetic layers

CeSb

von Boehm & Bak, PRB (1980)

commensurate wavevectors

COLBOIS | KASTELEYN MECHANISM |  06.2025

11

\kappa = -J_2/J_1

von Boehm & Bak, PRB (1980)

Fisher and Selke, PRL (1980)

4. A kasteleyn-driven staircase

Frustrated models on the kagome lattice

COLBOIS | KASTELEYN MECHANISM |  06.2025

I. A. Chioar, N. Rougemaille, B. Canals, PRB 93, (2016)

J. Hamp, C. Castelnovo, R. Moessner, PRB 98, (2018)

L. Cugliandolo, L. Foini, M. Tarzia, PRB 101 (2020)

Z. Luo et al. Science 363, (2019)

JC et al., PRB 104 (2021)

12

Frustrated models on the kagome lattice

COLBOIS | KASTELEYN MECHANISM |  06.2025

image/svg+xml
image/svg+xml
H =
J_2 \sum_{\langle i,j \rangle_{2}} \sigma_i \sigma_j
J_{3} \sum_{\langle i,j \rangle_{3||}} \sigma_i \sigma_j
J_{3} \sum_{\langle i,j \rangle_{3\star}} \sigma_i \sigma_j
+
+
+
J_1 \sum_{\langle i,j \rangle_1} \sigma_i \sigma_j
H =
J_2 \sum_{\langle i,j \rangle_{2}} \sigma_i \sigma_j
J_{3} \sum_{\langle i,j \rangle_{3||}} \sigma_i \sigma_j
J_{3} \sum_{\langle i,j \rangle_{3\star}} \sigma_i \sigma_j
+
+
+
J_1 \sum_{\langle i,j \rangle_1} \sigma_i \sigma_j

I. A. Chioar, N. Rougemaille, B. Canals, PRB 93, (2016)

J. Hamp, C. Castelnovo, R. Moessner, PRB 98, (2018)

L. Cugliandolo, L. Foini, M. Tarzia, PRB 101 (2020)

Z. Luo et al. Science 363, (2019)

JC et al., PRB 104 (2021)

12

Frustrated models on the kagome lattice

COLBOIS | KASTELEYN MECHANISM |  06.2025

image/svg+xml
image/svg+xml
H =
J_2 \sum_{\langle i,j \rangle_{2}} \sigma_i \sigma_j
J_{3} \sum_{\langle i,j \rangle_{3||}} \sigma_i \sigma_j
J_{3} \sum_{\langle i,j \rangle_{3\star}} \sigma_i \sigma_j
+
+
+
J_1 \sum_{\langle i,j \rangle_1} \sigma_i \sigma_j
H =
J_2 \sum_{\langle i,j \rangle_{2}} \sigma_i \sigma_j
J_{3} \sum_{\langle i,j \rangle_{3||}} \sigma_i \sigma_j
J_{3} \sum_{\langle i,j \rangle_{3\star}} \sigma_i \sigma_j
+
+
+
J_1 \sum_{\langle i,j \rangle_1} \sigma_i \sigma_j

I. A. Chioar, N. Rougemaille, B. Canals, PRB 93, (2016)

J. Hamp, C. Castelnovo, R. Moessner, PRB 98, (2018)

L. Cugliandolo, L. Foini, M. Tarzia, PRB 101 (2020)

Z. Luo et al. Science 363, (2019)

JC et al., PRB 104 (2021)

Kagome lattice

12

Frustrated models on the kagome lattice

COLBOIS | KASTELEYN MECHANISM |  06.2025

image/svg+xml
image/svg+xml
H =
J_2 \sum_{\langle i,j \rangle_{2}} \sigma_i \sigma_j
J_{3} \sum_{\langle i,j \rangle_{3||}} \sigma_i \sigma_j
J_{3} \sum_{\langle i,j \rangle_{3\star}} \sigma_i \sigma_j
+
+
+
J_1 \sum_{\langle i,j \rangle_1} \sigma_i \sigma_j
H =
J_2 \sum_{\langle i,j \rangle_{2}} \sigma_i \sigma_j
J_{3} \sum_{\langle i,j \rangle_{3||}} \sigma_i \sigma_j
J_{3} \sum_{\langle i,j \rangle_{3\star}} \sigma_i \sigma_j
+
+
+
J_1 \sum_{\langle i,j \rangle_1} \sigma_i \sigma_j

I. A. Chioar, N. Rougemaille, B. Canals, PRB 93, (2016)

J. Hamp, C. Castelnovo, R. Moessner, PRB 98, (2018)

L. Cugliandolo, L. Foini, M. Tarzia, PRB 101 (2020)

Z. Luo et al. Science 363, (2019)

JC et al., PRB 104 (2021)

Kagome lattice

3 Kagome sublattices

12

Frustrated models on the kagome lattice

COLBOIS | KASTELEYN MECHANISM |  06.2025

image/svg+xml
image/svg+xml
H =
J_2 \sum_{\langle i,j \rangle_{2}} \sigma_i \sigma_j
J_{3} \sum_{\langle i,j \rangle_{3||}} \sigma_i \sigma_j
J_{3} \sum_{\langle i,j \rangle_{3\star}} \sigma_i \sigma_j
+
+
+
J_1 \sum_{\langle i,j \rangle_1} \sigma_i \sigma_j
H =
J_2 \sum_{\langle i,j \rangle_{2}} \sigma_i \sigma_j
J_{3} \sum_{\langle i,j \rangle_{3||}} \sigma_i \sigma_j
J_{3} \sum_{\langle i,j \rangle_{3\star}} \sigma_i \sigma_j
+
+
+
J_1 \sum_{\langle i,j \rangle_1} \sigma_i \sigma_j

I. A. Chioar, N. Rougemaille, B. Canals, PRB 93, (2016)

J. Hamp, C. Castelnovo, R. Moessner, PRB 98, (2018)

L. Cugliandolo, L. Foini, M. Tarzia, PRB 101 (2020)

Z. Luo et al. Science 363, (2019)

JC et al., PRB 104 (2021)

Kagome lattice

3 Kagome sublattices

3 triangular sublattices

12

Frustrated models on the kagome lattice

COLBOIS | KASTELEYN MECHANISM |  06.2025

image/svg+xml
image/svg+xml
H =
J_2 \sum_{\langle i,j \rangle_{2}} \sigma_i \sigma_j
J_{3} \sum_{\langle i,j \rangle_{3||}} \sigma_i \sigma_j
J_{3} \sum_{\langle i,j \rangle_{3\star}} \sigma_i \sigma_j
+
+
+
J_1 \sum_{\langle i,j \rangle_1} \sigma_i \sigma_j
H =
J_2 \sum_{\langle i,j \rangle_{2}} \sigma_i \sigma_j
J_{3} \sum_{\langle i,j \rangle_{3||}} \sigma_i \sigma_j
J_{3} \sum_{\langle i,j \rangle_{3\star}} \sigma_i \sigma_j
+
+
+
J_1 \sum_{\langle i,j \rangle_1} \sigma_i \sigma_j

I. A. Chioar, N. Rougemaille, B. Canals, PRB 93, (2016)

J. Hamp, C. Castelnovo, R. Moessner, PRB 98, (2018)

L. Cugliandolo, L. Foini, M. Tarzia, PRB 101 (2020)

Z. Luo et al. Science 363, (2019)

JC et al., PRB 104 (2021)

Kagome lattice

3 Kagome sublattices

3 triangular sublattices

 

Highly frustrated

 

12

Macroscopically degenerate ground state phases

COLBOIS | KASTELEYN MECHANISM |  06.2025

13

JC, B. Vanhecke et. al., PRB 106 (2022)

J_1 \gg J_2, J_3

Macroscopically degenerate ground state phases

COLBOIS | KASTELEYN MECHANISM |  06.2025

13

JC, B. Vanhecke et. al., PRB 106 (2022)

J_1 \gg J_2, J_3

All antiferromagnetic couplings : 

3 phases due to the competition (exact g.s. energy)

Macroscopically degenerate ground state phases

COLBOIS | KASTELEYN MECHANISM |  06.2025

13

S = 0.026922 \pm 3 \cdot 10^{-6} = \frac{S_\triangle}{12}
S = 0.107689 \pm 2 \cdot 10^{-6} \cong \frac{S_\triangle}{3}
S = 0.01920 \pm 3 \cdot 10^{-5}

JC, B. Vanhecke et. al., PRB 106 (2022)

J_1 \gg J_2, J_3

All antiferromagnetic couplings : 

3 phases due to the competition (exact g.s. energy)

Macroscopically degenerate ground state phases

COLBOIS | KASTELEYN MECHANISM |  06.2025

S = 0.026922 \pm 3 \cdot 10^{-6} = \frac{S_\triangle}{12}
S = 0.01920 \pm 3 \cdot 10^{-5}

JC, B. Vanhecke et. al., PRB 106 (2022)

J_1 \gg J_2, J_3

All antiferromagnetic couplings : 

3 phases due to the competition (exact g.s. energy)

S = 0.107689 \pm 2 \cdot 10^{-6} \cong \frac{S_\triangle}{3}

13

"String phase" ground state

COLBOIS | KASTELEYN MECHANISM |  06.2025

JC, B. Vanhecke et. al., PRB 106 (2022)

A. Rufino, S. Nyckees, JC, F. Mila, arXiv:2505.05889 (2025)

14

Constrained \(J_1, J_3 \rightarrow \infty\) limit

"String phase" ground state

COLBOIS | KASTELEYN MECHANISM |  06.2025

JC, B. Vanhecke et. al., PRB 106 (2022)

A. Rufino, S. Nyckees, JC, F. Mila, arXiv:2505.05889 (2025)

Zero-energy "strings"!

14

Constrained \(J_1, J_3 \rightarrow \infty\) limit

"String phase" ground state

COLBOIS | KASTELEYN MECHANISM |  06.2025

JC, B. Vanhecke et. al., PRB 106 (2022)

A. Rufino, S. Nyckees, JC, F. Mila, arXiv:2505.05889 (2025)

14

"String phase" ground state

COLBOIS | KASTELEYN MECHANISM |  06.2025

JC, B. Vanhecke et. al., PRB 106 (2022)

A. Rufino, S. Nyckees, JC, F. Mila, arXiv:2505.05889 (2025)

\(\mathbb{Z}_2 \times \mathbb{Z}_3\) symmetry breaking

N.B. sub-family

14

"String phase" ground state

COLBOIS | KASTELEYN MECHANISM |  06.2025

JC, B. Vanhecke et. al., PRB 106 (2022)

A. Rufino, S. Nyckees, JC, F. Mila, arXiv:2505.05889 (2025)

\(\mathbb{Z}_2 \times \mathbb{Z}_3\) symmetry breaking

\Psi_{\mathbb{Z}_2} = \lim_{x \rightarrow \infty} | \sigma_0 \sigma_{x} |

Dense rows: AF order

N.B. sub-family

14

"String phase" ground state

COLBOIS | KASTELEYN MECHANISM |  06.2025

JC, B. Vanhecke et. al., PRB 106 (2022)

A. Rufino, S. Nyckees, JC, F. Mila, arXiv:2505.05889 (2025)

\(\mathbb{Z}_2 \times \mathbb{Z}_3\) symmetry breaking

Sparse rows: frustrated Ising model on the triangular lattice

EXPONENTIAL NUMBER

\Psi_{\mathbb{Z}_2} = \lim_{x \rightarrow \infty} | \sigma_0 \sigma_{x} |

Dense rows: AF order

N.B. sub-family

14

"String phase" ground state

COLBOIS | KASTELEYN MECHANISM |  06.2025

JC, B. Vanhecke et. al., PRB 106 (2022)

A. Rufino, S. Nyckees, JC, F. Mila, arXiv:2505.05889 (2025)

\(\mathbb{Z}_2 \times \mathbb{Z}_3\) symmetry breaking

Absence of vertical dimers

\Psi_{\mathbb{Z}_2} = \lim_{x \rightarrow \infty} | \sigma_0 \sigma_{x} |

Dense rows: AF order

N.B. sub-family

Sparse rows: frustrated Ising model on the triangular lattice

EXPONENTIAL NUMBER

14

Zero-energy double domain walls (=DDW)

COLBOIS | KASTELEYN MECHANISM |  06.2025

15

JC, B. Vanhecke et. al., PRB 106 (2022)

A. Rufino, S. Nyckees, JC, F. Mila, arXiv:2505.05889 (2025)

\(\mathbb{Z}_2 \times \mathbb{Z}_3\) symmetry breaking

Zero-energy double domain walls (=DDW)

COLBOIS | KASTELEYN MECHANISM |  06.2025

JC, B. Vanhecke et. al., PRB 106 (2022)

A. Rufino, S. Nyckees, JC, F. Mila, arXiv:2505.05889 (2025)

\(\mathbb{Z}_2 \times \mathbb{Z}_3\) symmetry breaking

DDW Break the dense rows AF order

(Introduce vertical dimers)

15

Zero-energy double domain walls (=DDW)

COLBOIS | KASTELEYN MECHANISM |  06.2025

JC, B. Vanhecke et. al., PRB 106 (2022)

A. Rufino, S. Nyckees, JC, F. Mila, arXiv:2505.05889 (2025)

\(\mathbb{Z}_2 \times \mathbb{Z}_3\) symmetry breaking

DDW Break the dense rows AF order

(Introduce vertical dimers)

Entropic suppression : one less row

15

double domain wall Excitations

COLBOIS | KASTELEYN MECHANISM |  06.2025

JC, B. Vanhecke et. al., PRB 106 (2022)

A. Rufino, S. Nyckees, JC, F. Mila, arXiv:2505.05889 (2025)

\(\mathbb{Z}_2 \times \mathbb{Z}_3\) symmetry breaking

16

double domain wall Excitations

COLBOIS | KASTELEYN MECHANISM |  06.2025

JC, B. Vanhecke et. al., PRB 106 (2022)

A. Rufino, S. Nyckees, JC, F. Mila, arXiv:2505.05889 (2025)

\(\mathbb{Z}_2 \times \mathbb{Z}_3\) symmetry breaking

Freedom inside the domain wall

Energy cost

Entropic gain

16

double domain wall Excitations

COLBOIS | KASTELEYN MECHANISM |  06.2025

JC, B. Vanhecke et. al., PRB 106 (2022)

A. Rufino, S. Nyckees, JC, F. Mila, arXiv:2505.05889 (2025)

\(\mathbb{Z}_2 \times \mathbb{Z}_3\) symmetry breaking

Freedom inside the domain wall

Energy cost

Entropic gain

Replacing a green string by a DDW

Entropic cost

16

double domain wall Excitations

COLBOIS | KASTELEYN MECHANISM |  06.2025

JC, B. Vanhecke et. al., PRB 106 (2022)

A. Rufino, S. Nyckees, JC, F. Mila, arXiv:2505.05889 (2025)

\(\mathbb{Z}_2 \times \mathbb{Z}_3\) symmetry breaking

Freedom inside the domain wall

Energy cost

Entropic gain

Replacing a green string by a DDW

Entropic cost

Repulsion between domain walls

Energy cost for condensation

16

Kasteleyn mechanism for Plateaus of topological origin

COLBOIS | KASTELEYN MECHANISM |  06.2025

A. Rufino, S. Nyckees, JC, F. Mila, arXiv:2505.05889 (2025)

Freedom inside the domain wall

Energy cost

Entropic gain

Replacing a green string by a DDW

Entropic cost

Repulsion between domain walls

Energy cost for condensation

17

\(T\)

Kasteleyn mechanism for Plateaus of topological origin

COLBOIS | KASTELEYN MECHANISM |  06.2025

A. Rufino, S. Nyckees, JC, F. Mila, arXiv:2505.05889 (2025)

Freedom inside the domain wall

Energy cost

Entropic gain

Replacing a green string by a DDW

Entropic cost

Repulsion between domain walls

Energy cost for condensation

17

\(T\)

Kasteleyn mechanism for Plateaus of topological origin

COLBOIS | KASTELEYN MECHANISM |  06.2025

A. Rufino, S. Nyckees, JC, F. Mila, arXiv:2505.05889 (2025)

Freedom inside the domain wall

Energy cost

Entropic gain

Replacing a green string by a DDW

Entropic cost

Repulsion between domain walls

Energy cost for condensation

17

\(T\)

Kasteleyn mechanism for Plateaus of topological origin

COLBOIS | KASTELEYN MECHANISM |  06.2025

A. Rufino, S. Nyckees, JC, F. Mila, arXiv:2505.05889 (2025)

Freedom inside the domain wall

Energy cost

Entropic gain

Replacing a green string by a DDW

Entropic cost

Repulsion between domain walls

Energy cost for condensation

17

\(T\)

\(T_c^{(1)}\)

 \(n_c/n_A = 1\)

 \(n_c =0\)

Kasteleyn mechanism for Plateaus of topological origin

COLBOIS | KASTELEYN MECHANISM |  06.2025

A. Rufino, S. Nyckees, JC, F. Mila, arXiv:2505.05889 (2025)

Freedom inside the domain wall

Energy cost

Entropic gain

Replacing a green string by a DDW

Entropic cost

Repulsion between domain walls

Energy cost for condensation

17

\(T\)

\(T_c^{(1)}\)

\(T_c^{(2)}\)

 \(n_c/n_A = 1\)

 \(n_c =0\)

 \(n_c/n_A = 2\)

Kasteleyn mechanism for Plateaus of topological origin

COLBOIS | KASTELEYN MECHANISM |  06.2025

A. Rufino, S. Nyckees, JC, F. Mila, arXiv:2505.05889 (2025)

Freedom inside the domain wall

Energy cost

Entropic gain

Replacing a green string by a DDW

Entropic cost

Repulsion between domain walls

Energy cost for condensation

17

\(T\)

\(T_c^{(1)}\)

 \(n_c/n_A = 1\)

 \(n_c =0\)

\(T_c^{(2)}\)

 \(n_c/n_A = 2\)

\(T_c^{(3)}\)

 \(n_c/n_A = 3\)

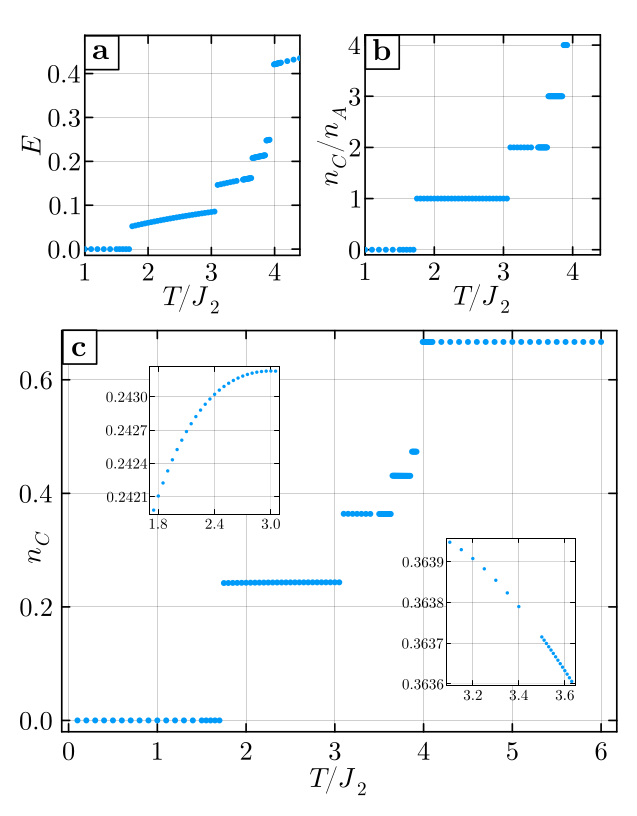
Staircase in the density of strings

COLBOIS | KASTELEYN MECHANISM |  06.2025

A. Rufino, S. Nyckees, JC, F. Mila, arXiv:2505.05889 (2025)

18

Ratio takes all integer values up to infinity

Series of 1st order transitions

Staircase in the density of strings

COLBOIS | KASTELEYN MECHANISM |  06.2025

A. Rufino, S. Nyckees, JC, F. Mila, arXiv:2505.05889 (2025)

Ratio takes all integer values up to infinity

Series of 1st order transitions

18

Staircase in the density of strings

COLBOIS | KASTELEYN MECHANISM |  06.2025

A. Rufino, S. Nyckees, JC, F. Mila, arXiv:2505.05889 (2025)

Ratio takes all integer values up to infinity

Density of strings is not exactly constant

Series of 1st order transitions

18

Staircase in the density of strings

COLBOIS | KASTELEYN MECHANISM |  06.2025

A. Rufino, S. Nyckees, JC, F. Mila, arXiv:2505.05889 (2025)

Ratio takes all integer values up to infinity

Density of strings is not exactly constant

Series of 1st order transitions

18

Topological 

"Devil's step" ? 

COLBOIS | KASTELEYN MECHANISM |  06.2025

A. Rufino, S. Nyckees, JC, F. Mila, arXiv:2505.05889 (2025)

19

Outlook

Finite-\(J\) consequences ? 

Other models ? 

Yes!

1D quantum / 2D Strings model

A. Rufino, S. Nyckees, JC, F. Mila, in preparation

Experimental realization ? 

Perhaps ?

COLBOIS | KASTELEYN MECHANISM |  06.2025

20

Take-home messages

  • Directed, non-crossing, non-terminating
  • energy cost versus entropic gain

Kasteleyn mechanism

Topological devil's "step" 

1. Two kinds of system-spanning strings
2. Internal freedom within strings.
3. Effective repulsion between strings of the same kind

COLBOIS | KASTELEYN MECHANISM |  06.2025

Kasteleyn mechanism and staircases

By Jeanne Colbois

Kasteleyn mechanism and staircases

Magnetism Meeting at Institut Néel

  • 268