Jeanne Colbois, Nicolas Laflorencie | LPT Toulouse

NanoX-Fermi Days 2023    |    06.04.2023

Extreme statistics

IN

RANDOM spin chains

Tossing a coin

1

image/svg+xml

J. COLBOIS | NANOX-FERMI | 04.2023

M. F. Schilling, The College Mathematics Journal 21(3), 196-207 (1990)

P. Révész, Proc. 1978 Int'l Cong. of Mathematicians, 749-754 (1980)

\(L = 176 \)

HTTHTHH
THTHHT

Tossing a coin

2

HTTHTHTTHTHHHTHTTHHTTHHTHTTTHHHTTHTHTHTHHTHTHTHTHTHHTHTHHTHTHTHHTHTHTHHTHTHTTHTHTHTHHHTHTHTHTTHHTHTHTHTHHTHHHTTTHHTHTHTHTHTHTHHTHTHTHHTHTHHTTHTHHTHTHTHHTHTHHTHTHTHTHTHHTHTHHTHT

176 (81 T / 95 H )

HTTTHTTTHTHTHHTHHHHHHTTTTHHHHHHHTHTHHHTTHTHHTHHTTTHHHTHHHTTHHHHTHHTHHHTTTHTHTTHTHTTHHTHTTHTHTTTTTTTHHTHTHHHTHHTTHHTTTTTHHHTTHTHTHHTHTTHTTHHHHTHTHHHTTTTTHTHTTHHTHTTHHTHHHHTHHTHT

176 (83 T / 93 H )

J. COLBOIS | NANOX-FERMI | 04.2023

M. F. Schilling, The College Mathematics Journal 21(3), 196-207 (1990)

P. Révész, Proc. 1978 Int'l Cong. of Mathematicians, 749-754 (1980)

Tossing a coin

HTTHTHTTHTHHHTHTTHHTTHHTHTTTHHHTTHTHTHTHHTHTHTHTHTHHTHTHHTHTHTHHTHTHTHHTHTHTTHTHTHTHHHTHTHTHTTHHTHTHTHTHHTHHHTTTHHTHTHTHTHTHTHHTHTHTHHTHTHHTTHTHHTHTHTHHTHTHHTHTHTHTHTHHTHTHHTHT

176 (81 T / 95 H )

HTTTHTTTHTHTHHTHHHHHHTTTTHHHHHHHTHTHHHTTHTHHTHHTTTHHHTHHHTTHHHHTHHTHHHTTTHTHTTHTHTTHHTHTTHTHTTTTTTTHHTHTHHHTHHTTHHTTTTTHHHTTHTHTHHTHTTHTTHHHHTHTHHHTTTTTHTHTTHHTHTTHHTHHHHTHHTHT

176 (83 T / 93 H )

M. F. Schilling, The College Mathematics Journal 21(3), 196-207 (1990)

P. Révész, Proc. 1978 Int'l Cong. of Mathematicians, 749-754 (1980)

J. COLBOIS | NANOX-FERMI | 04.2023

image/svg+xml

2

Tossing a coin

HTTHTHTTHTHHHTHTTHHTTHHTHTTTHHHTTHTHTHTHHTHTHTHTHTHHTHTHHTHTHTHHTHTHTHHTHTHTTHTHTHTHHHTHTHTHTTHHTHTHTHTHHTHHHTTTHHTHTHTHTHTHTHHTHTHTHHTHTHHTTHTHHTHTHTHHTHTHHTHTHTHTHTHHTHTHHTHT

176 (81 T / 95 H )

HTTTHTTTHTHTHHTHHHHHHTTTTHHHHHHHTHTHHHTTHTHHTHHTTTHHHTHHHTTHHHHTHHTHHHTTTHTHTTHTHTTHHTHTTHTHTTTTTTTHHTHTHHHTHHTTHHTTTTTHHHTTHTHTHHTHTTHTTHHHHTHTHHHTTTTTHTHTTHHTHTTHHTHHHHTHHTHT

176 (83 T / 93 H )

M. F. Schilling, The College Mathematics Journal 21(3), 196-207 (1990)

P. Révész, Proc. 1978 Int'l Cong. of Mathematicians, 749-754 (1980)

J. COLBOIS | NANOX-FERMI | 04.2023

image/svg+xml

2

\mathcal{P}(\ell) \sim 2^{-\ell}
\mathcal{P}(\ell_{\max}) \sim \frac{1}{L}

Tossing a coin

HTTHTHTTHTHHHTHTTHHTTHHTHTTTHHHTTHTHTHTHHTHTHTHTHTHHTHTHHTHTHTHHTHTHTHHTHTHTTHTHTHTHHHTHTHTHTTHHTHTHTHTHHTHHHTTTHHTHTHTHTHTHTHHTHTHTHHTHTHHTTHTHHTHTHTHHTHTHHTHTHTHTHTHHTHTHHTHT

176 (81 T / 95 H )

HTTTHTTTHTHTHHTHHHHHHTTTTHHHHHHHTHTHHHTTHTHHTHHTTTHHHTHHHTTHHHHTHHTHHHTTTHTHTTHTHTTHHTHTTHTHTTTTTTTHHTHTHHHTHHTTHHTTTTTHHHTTHTHTHHTHTTHTTHHHHTHTHHHTTTTTHTHTTHHTHTTHHTHHHHTHHTHT

176 (83 T / 93 H )

M. F. Schilling, The College Mathematics Journal 21(3), 196-207 (1990)

P. Révész, Proc. 1978 Int'l Cong. of Mathematicians, 749-754 (1980)

J. COLBOIS | NANOX-FERMI | 04.2023

image/svg+xml

2

\mathcal{P}(\ell) \sim 2^{-\ell}
\mathcal{P}(\ell_{\max}) \sim \frac{1}{L}
\ell_{\max} \sim \ln L / \ln 2 \\ \sim 7.45
\Rightarrow

Extreme value theory

3

J. COLBOIS | NANOX-FERMI | 04.2023

E. J. Gumbel, Statistics of Extremes, Dover, (1958, 2004)

S. N. Majumdar, A. Pal, G. Schehr, Physics Reports, 840, 1 (2020)

Extreme value theory

3

J. COLBOIS | NANOX-FERMI | 04.2023

E. J. Gumbel, Statistics of Extremes, Dover, (1958, 2004)

S. N. Majumdar, A. Pal, G. Schehr, Physics Reports, 840, 1 (2020)

Extreme floods

Extreme value theory

3

J. COLBOIS | NANOX-FERMI | 04.2023

Market risks

Extreme floods

E. J. Gumbel, Statistics of Extremes, Dover, (1958, 2004)

S. N. Majumdar, A. Pal, G. Schehr, Physics Reports, 840, 1 (2020)

Extreme value theory

3

J. COLBOIS | NANOX-FERMI | 04.2023

Athletic records

Market risks

Extreme floods

E. J. Gumbel, Statistics of Extremes, Dover, (1958, 2004)

S. N. Majumdar, A. Pal, G. Schehr, Physics Reports, 840, 1 (2020)

Extreme value theory

3

J. COLBOIS | NANOX-FERMI | 04.2023

Athletic records

Market risks

Extreme floods

Large wildfires

E. J. Gumbel, Statistics of Extremes, Dover, (1958, 2004)

S. N. Majumdar, A. Pal, G. Schehr, Physics Reports, 840, 1 (2020)

Extreme value theory

3

E. J. Gumbel, Statistics of Extremes, Dover, (1958, 2004)

S. N. Majumdar, A. Pal, G. Schehr, Physics Reports, 840, 1 (2020)

J. COLBOIS | NANOX-FERMI | 04.2023

Spin chains

Athletic records

Market risks

Extreme floods

Large wildfires

Condensed matter

R. Juhász, Y,C. Lin, and F, Iglói, “S Phys. Rev. B 73, 224206 (2006)

I. A. Kovács, T.Pető, and F.Iglói, Phys. Rev. Res. 3, 033140 (2021)

W.-H. Kao and N, B. Perkins,  Phys. Rev. B 106, L100402 (2022)

4

J. COLBOIS | NANOX-FERMI | 04.2023

h

Spin chain in A Random magnetic field

ED result - "typical" eigenstate

Spin chain in A Random magnetic field

4

J. COLBOIS | NANOX-FERMI | 04.2023

h

Maximal magnetization

4

J. COLBOIS | NANOX-FERMI | 04.2023

h

Maximal magnetization

Where?

How?

Consequences?

Spin chain in A Random magnetic field

Scope

5

1. Spin chain in random field and localization

2. Chain breaking

3. Extreme values & Chain breaking

J. COLBOIS | NANOX-FERMI | 04.2023

Spin chain in Random field and localization

Spin-1/2 chain in a random field 

6

J. COLBOIS | NANOX-FERMI | 04.2023

\mathcal{H} = \sum_{i = 1}^{L-1} \frac{J}{2}\left(S_i^{+} S_{i+1}^{-} + S_i^{-} S_{i+1}^{+} + 2\Delta S_i^z S_{i+1}^z\right) - \sum_{i=1}^L h_i S_i^z

Spin-1/2 chain in a random field 

6

J. COLBOIS | NANOX-FERMI | 04.2023

S^{x,y,z} = \frac{1}{2} \sigma^{x,y,z}
\mathcal{H} = \sum_{i = 1}^{L-1} \frac{J}{2}\left(S_i^{+} S_{i+1}^{-} + S_i^{-} S_{i+1}^{+} + 2\Delta S_i^z S_{i+1}^z\right) - \sum_{i=1}^L h_i S_i^z

Spin-1/2 chain in a random field 

J. COLBOIS | NANOX-FERMI | 04.2023

Spin-flip

S^{x,y,z} = \frac{1}{2} \sigma^{x,y,z}

6

\mathcal{H} = \sum_{i = 1}^{L-1} \frac{J}{2}\left({\color{lightgreen}S_i^{+} S_{i+1}^{-} + S_i^{-} S_{i+1}^{+}} + 2\Delta S_i^z S_{i+1}^z\right) - \sum_{i=1}^L h_i S_i^z

Spin-1/2 chain in a random field 

J. COLBOIS | NANOX-FERMI | 04.2023

Spin-flip

S^{x,y,z} = \frac{1}{2} \sigma^{x,y,z}

6

\mathcal{H} = \sum_{i = 1}^{L-1} \frac{J}{2}\left({\color{lightgreen}S_i^{+} S_{i+1}^{-} + S_i^{-} S_{i+1}^{+}} + 2\Delta S_i^z S_{i+1}^z\right) - \sum_{i=1}^L h_i S_i^z

Spin-1/2 chain in a random field 

J. COLBOIS | NANOX-FERMI | 04.2023

Spin-flip

S^{x,y,z} = \frac{1}{2} \sigma^{x,y,z}

6

\mathcal{H} = \sum_{i = 1}^{L-1} \frac{J}{2}\left({\color{lightgreen}S_i^{+} S_{i+1}^{-} + S_i^{-} S_{i+1}^{+}} + 2\Delta S_i^z S_{i+1}^z\right) - \sum_{i=1}^L h_i S_i^z
-1/2 < \langle S_i^z \rangle < 1/2

Spin-1/2 chain in a random field 

\mathcal{P}(h_i) = \begin{cases} \frac{1}{2W} & \text{ if } h_i \in [-W, W]\\ 0 & \text{otherwise} \end{cases}

J. COLBOIS | NANOX-FERMI | 04.2023

Magnetic field

7

S^{x,y,z} = \frac{1}{2} \sigma^{x,y,z}
h
\mathcal{H} = \sum_{i = 1}^{L-1} \frac{J}{2}\left({\color{lightgreen}S_i^{+} S_{i+1}^{-} + S_i^{-} S_{i+1}^{+}} + 2\Delta S_i^z S_{i+1}^z\right) - \sum_{i=1}^L {\color{#20B2AA} h_i S_i^z}

Spin-flip

Spin-1/2 chain in a random field 

Ising interaction

J. COLBOIS | NANOX-FERMI | 04.2023

\mathcal{H} = \sum_{i = 1}^{L-1} \frac{J}{2}\left({\color{lightgreen}S_i^{+} S_{i+1}^{-} + S_i^{-} S_{i+1}^{+}} + {\color{#FF4500} 2\Delta S_i^z S_{i+1}^z}\right) - \sum_{i=1}^L {\color{#20B2AA} h_i S_i^z}

Spin-flip

Magnetic field

7

S^{x,y,z} = \frac{1}{2} \sigma^{x,y,z}

From spins to fermions

8

J. COLBOIS | NANOX-FERMI | 04.2023

\mathcal{H}_f = \sum_{i} \Bigl[\frac{J}{2}\left(c_i^{\dagger} c_{i+1}^{\vphantom{\dagger}} + c_{i+1}^{\dagger}c_i^{\vphantom{\dagger}}+2 \Delta n_i n_{i+1} \right) -h_i n_i\Bigr]

P. Jordan and E. Wigner,  Z. Physik 47, 631–651 (1928)

From spins to fermions

J. COLBOIS | NANOX-FERMI | 04.2023

8

\mathcal{H}_f = \sum_{i} \Bigl[\frac{J}{2}\left({\color{lightgreen}c_i^{\dagger} c_{i+1}^{\vphantom{\dagger}} + c_{i+1}^{\dagger}c_i^{\vphantom{\dagger}}}+2 \Delta n_i n_{i+1} \right) -h_i n_i\Bigr]

Jump

P. Jordan and E. Wigner,  Z. Physik 47, 631–651 (1928)

From spins to fermions

J. COLBOIS | NANOX-FERMI | 04.2023

8

\mathcal{H}_f = \sum_{i} \Bigl[\frac{J}{2}\left({\color{lightgreen}c_i^{\dagger} c_{i+1}^{\vphantom{\dagger}} + c_{i+1}^{\dagger}c_i^{\vphantom{\dagger}}}+2 \Delta n_i n_{i+1} \right) -h_i n_i\Bigr]

Jump

P. Jordan and E. Wigner,  Z. Physik 47, 631–651 (1928)

From spins to fermions

J. COLBOIS | NANOX-FERMI | 04.2023

\mathcal{H}_f = \sum_{i} \Bigl[\frac{J}{2}\left({\color{lightgreen}c_i^{\dagger} c_{i+1}^{\vphantom{\dagger}} + c_{i+1}^{\dagger}c_i^{\vphantom{\dagger}}}+2 \Delta n_i n_{i+1} \right) -{\color{#20B2AA}h_i n_i}\Bigr]

On-site energy

8

Jump

P. Jordan and E. Wigner,  Z. Physik 47, 631–651 (1928)

\mathcal{P}(h_i) = \begin{cases} \frac{1}{2W} & \text{ if } h_i \in [-W, W]\\ 0 & \text{otherwise} \end{cases}

From spins to fermions

J. COLBOIS | NANOX-FERMI | 04.2023

On-site energy

8

Jump

\mathcal{H}_f = \sum_{i} \Bigl[\frac{J}{2}\left({\color{lightgreen}c_i^{\dagger} c_{i+1}^{\vphantom{\dagger}} + c_{i+1}^{\dagger}c_i^{\vphantom{\dagger}}}+{\color{#FF4500}2 \Delta n_i n_{i+1}} \right) -{\color{#20B2AA}h_i n_i}\Bigr]

Attraction/ repulsion

P. Jordan and E. Wigner,  Z. Physik 47, 631–651 (1928)

From spins to fermions

J. COLBOIS | NANOX-FERMI | 04.2023

On-site energy

8

\mathcal{H}_f = \sum_{i} \Bigl[\frac{J}{2}\left({\color{lightgreen}c_i^{\dagger} c_{i+1}^{\vphantom{\dagger}} + c_{i+1}^{\dagger}c_i^{\vphantom{\dagger}}}+{\color{#FF4500}2 \Delta n_i n_{i+1}} \right) -{\color{#20B2AA}h_i n_i}\Bigr]

Attraction/ repulsion

M. Schreiber et al. (I. Bloch) , Science 349, 842 (2015) 

From spins to fermions

J. COLBOIS | NANOX-FERMI | 04.2023

On-site energy

8

\mathcal{H}_f = \sum_{i} \Bigl[\frac{J}{2}\left({\color{lightgreen}c_i^{\dagger} c_{i+1}^{\vphantom{\dagger}} + c_{i+1}^{\dagger}c_i^{\vphantom{\dagger}}}+{\color{#FF4500}2 \Delta n_i n_{i+1}} \right) -{\color{#20B2AA}h_i n_i}\Bigr]

Attraction/ repulsion

M. Schreiber et al. (I. Bloch) , Science 349, 842 (2015) 

From spins to fermions

J. COLBOIS | NANOX-FERMI | 04.2023

On-site energy

8

\mathcal{H}_f = \sum_{i} \Bigl[\frac{J}{2}\left({\color{lightgreen}c_i^{\dagger} c_{i+1}^{\vphantom{\dagger}} + c_{i+1}^{\dagger}c_i^{\vphantom{\dagger}}}+{\color{#FF4500}2 \Delta n_i n_{i+1}} \right) -{\color{#20B2AA}h_i n_i}\Bigr]

Attraction/ repulsion

M. Schreiber et al. (I. Bloch) , Science 349, 842 (2015) 

Anderson Localization

10

J. COLBOIS | NANOX-FERMI | 04.2023

1 particle

\mathcal{H}_f = \sum_{i} \Bigl[\frac{J}{2}\left({\color{lightgreen}c_i^{\dagger} c_{i+1}^{\vphantom{\dagger}} + c_{i+1}^{\dagger}c_i^{\vphantom{\dagger}}} \right) -{\color{#20B2AA}h_i n_i}\Bigr]

P. W. Anderson, Phys. Rev. 109, 1492 (1958)

B. A. Van Tiggelen, In: J. P. Fouque (eds), Diffuse Waves in Complex Media, NATO Science Series, 531, Springer, Dordrecht, (1999)

10

J. COLBOIS | NANOX-FERMI | 04.2023

\mathcal{H}_f = \sum_{i} \Bigl[\frac{J}{2}\left({\color{lightgreen}c_i^{\dagger} c_{i+1}^{\vphantom{\dagger}} + c_{i+1}^{\dagger}c_i^{\vphantom{\dagger}}} \right) -{\color{#20B2AA}h_i n_i}\Bigr]

1 particle

Anderson Localization

P. W. Anderson, Phys. Rev. 109, 1492 (1958)

B. A. Van Tiggelen, In: J. P. Fouque (eds), Diffuse Waves in Complex Media, NATO Science Series, 531, Springer, Dordrecht, (1999)

\(L \times L \) Tridiagonal matrix \(\rightarrow\) large systems

10

J. COLBOIS | NANOX-FERMI | 04.2023

\mathcal{H}_f = \sum_{i} \Bigl[\frac{J}{2}\left({\color{lightgreen}c_i^{\dagger} c_{i+1}^{\vphantom{\dagger}} + c_{i+1}^{\dagger}c_i^{\vphantom{\dagger}}} \right) -{\color{#20B2AA}h_i n_i}\Bigr]

1 particle

Anderson Localization

P. W. Anderson, Phys. Rev. 109, 1492 (1958)

B. A. Van Tiggelen, In: J. P. Fouque (eds), Diffuse Waves in Complex Media, NATO Science Series, 531, Springer, Dordrecht, (1999)

\(L \times L \) Tridiagonal matrix \(\rightarrow\) large systems

\mathcal{H}_f = \sum_{m} \epsilon_m |\phi_m \rangle \langle \phi_m |
\epsilon_m

Anderson Localization

J. COLBOIS | NANOX-FERMI | 04.2023

1 particle

\mathcal{H}_f = \sum_{i} \Bigl[\frac{J}{2}\left({\color{lightgreen}c_i^{\dagger} c_{i+1}^{\vphantom{\dagger}} + c_{i+1}^{\dagger}c_i^{\vphantom{\dagger}}} \right) -{\color{#20B2AA}h_i n_i}\Bigr]

11

h_i = h \,\, \forall i

P. W. Anderson, Phys. Rev. 109, 1492 (1958)

B. A. Van Tiggelen, In: J. P. Fouque (eds), Diffuse Waves in Complex Media, NATO Science Series, 531, Springer, Dordrecht, (1999)

\epsilon_m
|\phi_m \rangle

Anderson Localization

J. COLBOIS | NANOX-FERMI | 04.2023

1 particle

\mathcal{H}_f = \sum_{i} \Bigl[\frac{J}{2}\left({\color{lightgreen}c_i^{\dagger} c_{i+1}^{\vphantom{\dagger}} + c_{i+1}^{\dagger}c_i^{\vphantom{\dagger}}} \right) -{\color{#20B2AA}h_i n_i}\Bigr]

11

\mathcal{P}(h_i) = \begin{cases} \frac{1}{2W} & \text{ if } h_i \in [-W, W]\\ 0 & \text{otherwise} \end{cases}

P. W. Anderson, Phys. Rev. 109, 1492 (1958)

B. A. Van Tiggelen, In: J. P. Fouque (eds), Diffuse Waves in Complex Media, NATO Science Series, 531, Springer, Dordrecht, (1999)

h_i = h \,\, \forall i
\epsilon_m
|\phi_m \rangle

Anderson Localization

J. COLBOIS | NANOX-FERMI | 04.2023

1 particle

\mathcal{H}_f = \sum_{i} \Bigl[\frac{J}{2}\left({\color{lightgreen}c_i^{\dagger} c_{i+1}^{\vphantom{\dagger}} + c_{i+1}^{\dagger}c_i^{\vphantom{\dagger}}} \right) -{\color{#20B2AA}h_i n_i}\Bigr]
\mathcal{P}(h_i) = \begin{cases} \frac{1}{2W} & \text{ if } h_i \in [-W, W]\\ 0 & \text{otherwise} \end{cases}

P. W. Anderson, Phys. Rev. 109, 1492 (1958)

B. A. Van Tiggelen, In: J. P. Fouque (eds), Diffuse Waves in Complex Media, NATO Science Series, 531, Springer, Dordrecht, (1999)

h_i = h \,\, \forall i
\epsilon_m
  • Wave interference
  • Absence of diffusion

11

J. COLBOIS | NANOX-FERMI | 04.2023

Localization length

1 particle

\mathcal{H}_f = \sum_{i} \Bigl[\frac{J}{2}\left({\color{lightgreen}c_i^{\dagger} c_{i+1}^{\vphantom{\dagger}} + c_{i+1}^{\dagger}c_i^{\vphantom{\dagger}}} \right) -{\color{#20B2AA}h_i n_i}\Bigr]
{\xi}

P. W. Anderson, Phys. Rev. 109, 1492 (1958)

B. A. Van Tiggelen, In: J. P. Fouque (eds), Diffuse Waves in Complex Media, NATO Science Series, 531, Springer, Dordrecht, (1999)

\epsilon_m

12

J. COLBOIS | NANOX-FERMI | 04.2023

Localization length

1 particle

\mathcal{H}_f = \sum_{i} \Bigl[\frac{J}{2}\left({\color{lightgreen}c_i^{\dagger} c_{i+1}^{\vphantom{\dagger}} + c_{i+1}^{\dagger}c_i^{\vphantom{\dagger}}} \right) -{\color{#20B2AA}h_i n_i}\Bigr]
{\xi}(E)

P. W. Anderson, Phys. Rev. 109, 1492 (1958)

B. A. Van Tiggelen, In: J. P. Fouque (eds), Diffuse Waves in Complex Media, NATO Science Series, 531, Springer, Dordrecht, (1999)

\epsilon_m

12

J. COLBOIS | NANOX-FERMI | 04.2023

Localization length

1 particle

\mathcal{H}_f = \sum_{i} \Bigl[\frac{J}{2}\left({\color{lightgreen}c_i^{\dagger} c_{i+1}^{\vphantom{\dagger}} + c_{i+1}^{\dagger}c_i^{\vphantom{\dagger}}} \right) -{\color{#20B2AA}h_i n_i}\Bigr]
{\xi}(E, {\color{#20B2AA}W})

P. W. Anderson, Phys. Rev. 109, 1492 (1958)

B. A. Van Tiggelen, In: J. P. Fouque (eds), Diffuse Waves in Complex Media, NATO Science Series, 531, Springer, Dordrecht, (1999)

\epsilon_m

12

\mathcal{P}(h_i) = \begin{cases} \frac{1}{2W} & \text{ if } h_i \in [-W, W]\\ 0 & \text{otherwise} \end{cases}

J. COLBOIS | NANOX-FERMI | 04.2023

Localization length

1 particle

\mathcal{H}_f = \sum_{i} \Bigl[\frac{J}{2}\left({\color{lightgreen}c_i^{\dagger} c_{i+1}^{\vphantom{\dagger}} + c_{i+1}^{\dagger}c_i^{\vphantom{\dagger}}} \right) -{\color{#20B2AA}h_i n_i}\Bigr]

JC, Laflorencie, in preparation

{\xi}({\color{#20B2AA}W})

P. W. Anderson, Phys. Rev. 109, 1492 (1958)

B. A. Van Tiggelen, In: J. P. Fouque (eds), Diffuse Waves in Complex Media, NATO Science Series, 531, Springer, Dordrecht, (1999)

\epsilon_m

12

\mathcal{P}(h_i) = \begin{cases} \frac{1}{2W} & \text{ if } h_i \in [-W, W]\\ 0 & \text{otherwise} \end{cases}

J. COLBOIS | NANOX-FERMI | 04.2023

Localization length

1 particle

\xi = \frac{1}{\ln\left(1+\left(\frac{{\color{#20B2AA}W}}{W_0}\right)^2\right)}
\mathcal{H}_f = \sum_{i} \Bigl[\frac{J}{2}\left({\color{lightgreen}c_i^{\dagger} c_{i+1}^{\vphantom{\dagger}} + c_{i+1}^{\dagger}c_i^{\vphantom{\dagger}}} \right) -{\color{#20B2AA}h_i n_i}\Bigr]
{\xi}({\color{#20B2AA}W})

JC, Laflorencie, in preparation

P. W. Anderson, Phys. Rev. 109, 1492 (1958)

B. A. Van Tiggelen, In: J. P. Fouque (eds), Diffuse Waves in Complex Media, NATO Science Series, 531, Springer, Dordrecht, (1999)

\epsilon_m

12

J. COLBOIS | NANOX-FERMI | 04.2023

Localization length

1 particle

\xi \ll 1
\mathcal{H}_f = \sum_{i} \Bigl[\frac{J}{2}\left({\color{lightgreen}c_i^{\dagger} c_{i+1}^{\vphantom{\dagger}} + c_{i+1}^{\dagger}c_i^{\vphantom{\dagger}}} \right) -{\color{#20B2AA}h_i n_i}\Bigr]
{\xi}({\color{#20B2AA}W})

JC, Laflorencie, in preparation

P. W. Anderson, Phys. Rev. 109, 1492 (1958)

B. A. Van Tiggelen, In: J. P. Fouque (eds), Diffuse Waves in Complex Media, NATO Science Series, 531, Springer, Dordrecht, (1999)

\epsilon_m
\xi = \frac{1}{\ln\left(1+\left(\frac{{\color{#20B2AA}W}}{W_0}\right)^2\right)}

12

MANY Non-interacting fermions

J. COLBOIS | NANOX-FERMI | 04.2023

\mathcal{H}_f = \sum_{i} \Bigl[\frac{J}{2}\left({\color{lightgreen}c_i^{\dagger} c_{i+1}^{\vphantom{\dagger}} + c_{i+1}^{\dagger}c_i^{\vphantom{\dagger}}} \right) -{\color{#20B2AA}h_i n_i}\Bigr]

13

\epsilon_m
\sum_i \langle n_i \rangle= N_f

MANY Non-interacting fermions

J. COLBOIS | NANOX-FERMI | 04.2023

\sum_i \langle n_i \rangle= N_f
\mathcal{H}_f = \sum_{i} \Bigl[\frac{J}{2}\left({\color{lightgreen}c_i^{\dagger} c_{i+1}^{\vphantom{\dagger}} + c_{i+1}^{\dagger}c_i^{\vphantom{\dagger}}} \right) -{\color{#20B2AA}h_i n_i}\Bigr]
\epsilon_m

13

\sum_i \langle n_i \rangle= N_f

Chain breaking, Spin freezing

14

J. COLBOIS | NANOX-FERMI | 04.2023

 

JC, Laflorencie, in preparation

ED on one sample

Some eigenstate

ED on one sample

J. COLBOIS | NANOX-FERMI | 04.2023

 

JC, Laflorencie, in preparation

14

Some eigenstate

ED on one sample

J. COLBOIS | NANOX-FERMI | 04.2023

 

JC, Laflorencie, in preparation

14

\delta_i = 1/2 -| \langle S_i^z \rangle|

Some eigenstate

J. COLBOIS | NANOX-FERMI | 04.2023

 

JC, Laflorencie, in preparation

14

\delta_i = 1/2 -| \langle S_i^z \rangle|

ED on one sample

Some eigenstate

J. COLBOIS | NANOX-FERMI | 04.2023

 

JC, Laflorencie, in preparation

14

\delta_i = 1/2 -| \langle S_i^z \rangle|

ED on one sample

Some eigenstate

14

J. COLBOIS | NANOX-FERMI | 04.2023

 

JC, Laflorencie, in preparation

\delta_i = 1/2 -| \langle S_i^z \rangle|

ED on one sample

Some eigenstate

J. COLBOIS | NANOX-FERMI | 04.2023

Chain Breaking

 

JC, Laflorencie, in preparation

\delta_i = 1/2 -| \langle S_i^z \rangle|

15

Some eigenstate

J. COLBOIS | NANOX-FERMI | 04.2023

Chain Breaking

 

JC, Laflorencie, in preparation

\delta_i = 1/2 -| \langle S_i^z \rangle|

15

Some eigenstate

J. COLBOIS | NANOX-FERMI | 04.2023

Chain Breaking

 

JC, Laflorencie, in preparation

\delta_i = 1/2 -| \langle S_i^z \rangle|

15

CHAIN BREAKING!

Some eigenstate

J. COLBOIS | NANOX-FERMI | 04.2023

Chain Breaking

 

JC, Laflorencie, in preparation

\delta_i = 1/2 -| \langle S_i^z \rangle|

15

CHAIN BREAKING!

Some eigenstate

J. COLBOIS | NANOX-FERMI | 04.2023

Toy model

16

Dupont, Macé, Laflorencie, PRB 100, 134201, (2019)

Laflorencie, Lemarié, Macé, PRR 2, 042033(R), (2020)

JC, Laflorencie, in preparation

J. COLBOIS | NANOX-FERMI | 04.2023

|\phi_m(i)|^2 \propto \exp\left(-\frac{|i - i_0^m|}{{\xi}}\right)

Toy model

16

Dupont, Macé, Laflorencie, PRB 100, 134201, (2019)

Laflorencie, Lemarié, Macé, PRR 2, 042033(R), (2020)

JC, Laflorencie, in preparation

J. COLBOIS | NANOX-FERMI | 04.2023

|\phi_m(i)|^2 \propto \exp\left(-\frac{|i - i_0^m|}{{\xi}}\right)

Toy model

|\Psi \rangle = \otimes_{m \in {\color{#56B4E9}\mathrm{occ}}} | \phi_m\rangle \Rightarrow \langle n_i \rangle = \sum_{m \in {\color{#56B4E9}\mathrm{occ}}} |\phi_m(i)|^2

Dupont, Macé, Laflorencie, PRB 100, 134201, (2019)

Laflorencie, Lemarié, Macé, PRR 2, 042033(R), (2020)

JC, Laflorencie, in preparation

16

expecTations

J. COLBOIS | NANOX-FERMI | 04.2023

\delta_i = 1/2 -|\langle n_i \rangle -1/2|

Dupont, Macé, Laflorencie, PRB 100, 134201, (2019)

Laflorencie, Lemarié, Macé, PRR 2, 042033(R), (2020)

JC, Laflorencie, in preparation

17

expecTations

J. COLBOIS | NANOX-FERMI | 04.2023

\delta_i = 1/2 -|\langle n_i \rangle -1/2|

Dupont, Macé, Laflorencie, PRB 100, 134201, (2019)

Laflorencie, Lemarié, Macé, PRR 2, 042033(R), (2020)

JC, Laflorencie, in preparation

17

expecTations

J. COLBOIS | NANOX-FERMI | 04.2023

\delta_i = 1/2 -|\langle n_i \rangle -1/2|

r
\delta_i = \langle n_i \rangle\approx e^{-\frac{r}{\xi} } + \dots

Dupont, Macé, Laflorencie, PRB 100, 134201, (2019)

Laflorencie, Lemarié, Macé, PRR 2, 042033(R), (2020)

JC, Laflorencie, in preparation

17

expecTations

J. COLBOIS | NANOX-FERMI | 04.2023

\delta_i = 1/2 -|\langle n_i \rangle -1/2|

\Rightarrow \quad \delta^{\mathrm{typ}}_{\min} \approx e^{-\frac{\overline{\ell_{\max}}}{2\xi}}
\delta_i = \langle n_i \rangle\approx e^{-\frac{r}{\xi} } + \dots
r

Dupont, Macé, Laflorencie, PRB 100, 134201, (2019)

Laflorencie, Lemarié, Macé, PRR 2, 042033(R), (2020)

JC, Laflorencie, in preparation

\ell_{\max}

17

expecTations

J. COLBOIS | NANOX-FERMI | 04.2023

\delta_i = 1/2 -|\langle n_i \rangle -1/2|

\Rightarrow \quad \delta^{\mathrm{typ}}_{\min} \approx e^{-\frac{\overline{\ell_{\max}}}{2\xi}}
\delta_i = \langle n_i \rangle\approx e^{-\frac{r}{\xi} } + \dots
r

Dupont, Macé, Laflorencie, PRB 100, 134201, (2019)

Laflorencie, Lemarié, Macé, PRR 2, 042033(R), (2020)

JC, Laflorencie, in preparation

\ell_{\max}

17

expecTations

J. COLBOIS | NANOX-FERMI | 04.2023

\delta_i = 1/2 -|\langle n_i \rangle -1/2|
r

Dupont, Macé, Laflorencie, PRB 100, 134201, (2019)

Laflorencie, Lemarié, Macé, PRR 2, 042033(R), (2020)

JC, Laflorencie, in preparation

\Rightarrow \quad \delta^{\mathrm{typ}}_{\min} \approx e^{-\frac{\overline{\ell_{\max}}}{2\xi}}
\ell_{\max}

17

expecTations

18

J. COLBOIS | NANOX-FERMI | 04.2023

\delta_i = 1/2 -|\langle n_i \rangle -1/2|
\overline{\ell_{\max}} \approx \frac{\ln L}{ \ln 2}

Dupont, Macé, Laflorencie, PRB 100, 134201, (2019)

Laflorencie, Lemarié, Macé, PRR 2, 042033(R), (2020)

JC, Laflorencie, in preparation

r
\ell_{\max}
\Rightarrow \quad \delta^{\mathrm{typ}}_{\min} \approx e^{-\frac{\overline{\ell_{\max}}}{2\xi}}

expecTations

J. COLBOIS | NANOX-FERMI | 04.2023

\delta_i = 1/2 -|\langle n_i \rangle -1/2|
\overline{\ell_{\max}} \approx \frac{\ln L}{ \ln 2}
\Rightarrow

Dupont, Macé, Laflorencie, PRB 100, 134201, (2019)

Laflorencie, Lemarié, Macé, PRR 2, 042033(R), (2020)

JC, Laflorencie, in preparation

\delta^{\mathrm{typ}}_{\min} \approx L^{-\frac{1}{2\xi \ln2}}
r
\ell_{\max}
\Rightarrow \quad \delta^{\mathrm{typ}}_{\min} \approx e^{-\frac{\overline{\ell_{\max}}}{2\xi}}

18

expecTations

J. COLBOIS | NANOX-FERMI | 04.2023

\delta_i = 1/2 -|\langle n_i \rangle -1/2|
\overline{\ell_{\max}} \approx \frac{\ln L}{ \ln 2}
\Rightarrow

Dupont, Macé, Laflorencie, PRB 100, 134201, (2019)

Laflorencie, Lemarié, Macé, PRR 2, 042033(R), (2020)

JC, Laflorencie, in preparation

\delta^{\mathrm{typ}}_{\min} \approx L^{-\frac{1}{2\xi \ln2}}
r
\ell_{\max}
\Rightarrow \quad \delta^{\mathrm{typ}}_{\min} \approx e^{-\frac{\overline{\ell_{\max}}}{2\xi}}

18

EXPONENT

19

J. COLBOIS | NANOX-FERMI | 04.2023

 

JC, Laflorencie, in preparation

=2\xi \ln2
\xi = \frac{1}{\ln\left(1+\left(\frac{{\color{#20B2AA}W}}{W_0}\right)^2\right)}
\delta^{\mathrm{typ}}_{\min} \approx L^{-\frac{1}{2\xi \ln2}}

ED results 

J. COLBOIS | NANOX-FERMI | 04.2023

 

JC, Laflorencie, in preparation

\(10^4\) samples, \(L = 512\)

19

ED results 

J. COLBOIS | NANOX-FERMI | 04.2023

 

JC, Laflorencie, in preparation

\(10^4\) samples, \(L = 512\)

19

Spin Freezing

J. COLBOIS | NANOX-FERMI | 04.2023

20

 

JC, Laflorencie, in preparation

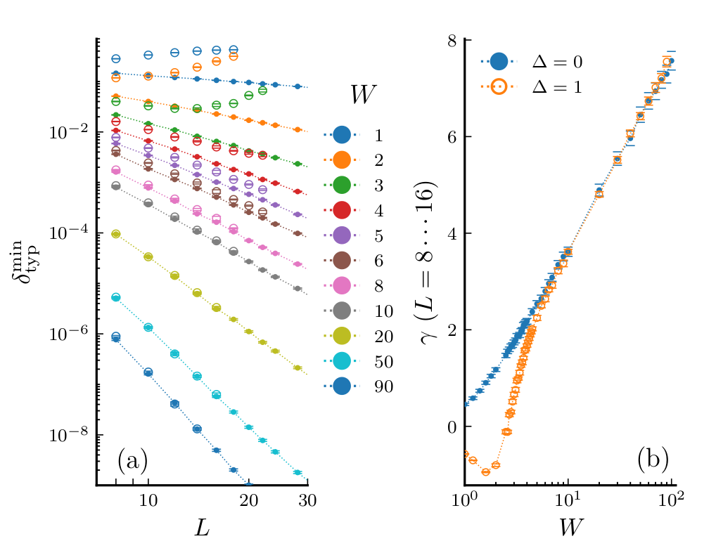
\delta^{\mathrm{typ}}_{\min} = e^{\overline{\ln\delta_{\min}}} \approx L^{-\gamma(W)}

Spin Freezing

J. COLBOIS | NANOX-FERMI | 04.2023

20

 

JC, Laflorencie, in preparation

\delta^{\mathrm{typ}}_{\min} \approx L^{-\gamma(W)}

Spin Freezing

J. COLBOIS | NANOX-FERMI | 04.2023

 

JC, Laflorencie, in preparation

20

\delta^{\mathrm{typ}}_{\min} \approx L^{-\gamma(W)}

Spin Freezing

J. COLBOIS | NANOX-FERMI | 04.2023

 

JC, Laflorencie, in preparation

20

\delta^{\mathrm{typ}}_{\min} \approx L^{-\gamma(W)}

EXPONENTS

J. COLBOIS | NANOX-FERMI | 04.2023

21

 

JC, Laflorencie, in preparation

EXPONENTS

J. COLBOIS | NANOX-FERMI | 04.2023

ED

 

JC, Laflorencie, in preparation

21

\delta^{\mathrm{typ}}_{\min} \approx L^{-\gamma_{\mathrm{typ}}(W)}
1/\gamma_{\mathrm{typ}}

EXPONENTS

J. COLBOIS | NANOX-FERMI | 04.2023

 

JC, Laflorencie, in preparation

Excellent agreement ED  - Toy model !

21

\delta^{\mathrm{typ}}_{\min} \approx L^{-\gamma_{\mathrm{typ}}(W)}

ED

1/\gamma_{\mathrm{typ}}

Extreme Values statistics & Chain breaking

J. COLBOIS | NANOX-FERMI | 04.2023

22

J. COLBOIS | NANOX-FERMI | 04.2023

Dupont, Macé, Laflorencie, PRB 100, 134201, (2019)

Laflorencie, Lemarié, Macé, PRR 2, 042033(R), (2020)

JC, Laflorencie, in preparation

Power-Law Tails

Power-Law Tails

J. COLBOIS | NANOX-FERMI | 04.2023

Dupont, Macé, Laflorencie, PRB 100, 134201, (2019)

Laflorencie, Lemarié, Macé, PRR 2, 042033(R), (2020)

JC, Laflorencie, in preparation

\mathcal{P}(\delta) \overset{\delta \rightarrow 0}{\sim} A\delta^{\alpha}

22

Extreme value theory

J. COLBOIS | NANOX-FERMI | 04.2023

\int_0^{\delta_{\min}(L)} \mathcal{P}(\delta)\, \mathrm{d} \delta \sim \frac{1}{L}

 

JC, Laflorencie, in preparation

23

23

J. COLBOIS | NANOX-FERMI | 04.2023

 

JC, Laflorencie, in preparation

\mathcal{P}(\delta) \overset{\delta \rightarrow 0}{\sim} A\delta^{\alpha}

Extreme value theory

\int_0^{\delta_{\min}(L)} \mathcal{P}(\delta)\, \mathrm{d} \delta \sim \frac{1}{L} \Rightarrow
\delta_{\mathrm{\min}}(L) \sim L^{-\frac{1}{1+\alpha}}

J. COLBOIS | NANOX-FERMI | 04.2023

 

JC, Laflorencie, in preparation

E. J. Gumbel, Statistics of Extremes, Dover, (1958, 2004)

S. N. Majumdar, A. Pal, G. Schehr, Physics Reports, 840, 1 (2020)

Fréchet \(\rightarrow \mathcal{P}(\ln\delta_{\min}) \)

\mathcal{P}(\delta) \overset{\delta \rightarrow 0}{\sim} A\delta^{\alpha}
\int_0^{\delta_{\min}(L)} \mathcal{P}(\delta)\, \mathrm{d} \delta \sim \frac{1}{L} \Rightarrow
\delta_{\mathrm{\min}}(L) \sim L^{-\frac{1}{1+\alpha}}

Extreme value theory

23

\(10^5 \) samples

J. COLBOIS | NANOX-FERMI | 04.2023

 

JC, Laflorencie, in preparation

E. J. Gumbel, Statistics of Extremes, Dover, (1958, 2004)

S. N. Majumdar, A. Pal, G. Schehr, Physics Reports, 840, 1 (2020)

Fréchet \(\rightarrow \mathcal{P}(\ln\delta_{\min}) \)

\int_0^{\delta_{\min}(L)} \mathcal{P}(\delta)\, \mathrm{d} \delta \sim \frac{1}{L} \Rightarrow
\delta_{\mathrm{\min}}(L) \sim L^{-\frac{1}{1+\alpha}}

Extreme value theory

\mathcal{P}(\delta) \overset{\delta \rightarrow 0}{\sim} A\delta^{\alpha}
\delta_{\mathrm{\min}}(L) \approx \left(\frac{A}{1+\alpha} L \right)^{-\frac{1}{1+\alpha}}

23

\(10^5 \) samples

J. COLBOIS | NANOX-FERMI | 04.2023

 

JC, Laflorencie, in preparation

E. J. Gumbel, Statistics of Extremes, Dover, (1958, 2004)

S. N. Majumdar, A. Pal, G. Schehr, Physics Reports, 840, 1 (2020)

Fréchet \(\rightarrow \mathcal{P}(\ln\delta_{\min}) \)

\int_0^{\delta_{\min}(L)} \mathcal{P}(\delta)\, \mathrm{d} \delta \sim \frac{1}{L} \Rightarrow
\delta_{\mathrm{\min}}(L) \sim L^{-\frac{1}{1+\alpha}}

Extreme value theory

\mathcal{P}(\delta) \overset{\delta \rightarrow 0}{\sim} A\delta^{\alpha}
\delta_{\mathrm{\min}}(L) \approx \left(\frac{A}{1+\alpha} L \right)^{-\frac{1}{1+\alpha}}

23

\(10^5 \) samples

Exponents

J. COLBOIS | NANOX-FERMI | 04.2023

 

JC, Laflorencie, in preparation

24

ED

1/\gamma_{\mathrm{typ}}

Exponents

J. COLBOIS | NANOX-FERMI | 04.2023

 

JC, Laflorencie, in preparation

24

1+\alpha

ED

1/\gamma_{\mathrm{typ}}

Conclusion

J. COLBOIS | NANOX-FERMI | 04.2023

25

Maximal magnetization

Where

How

Consequences

Conclusion

J. COLBOIS | NANOX-FERMI | 04.2023

25

Maximal magnetization

Where

How

Consequences

\ell_{\max}

Conclusion

J. COLBOIS | NANOX-FERMI | 04.2023

25

Maximal magnetization

Where

How

Consequences

\ell_{\max}

Conclusion

J. COLBOIS | NANOX-FERMI | 04.2023

25

Maximal magnetization

Where

How

Consequences

\ell_{\max}

Conclusion

J. COLBOIS | NANOX-FERMI | 04.2023

25

Maximal magnetization

Where

How

Consequences

\ell_{\max}

+ Attraction/ repulsion

\mathcal{H}_f = \sum_{i} \Bigl[\frac{J}{2}\left({\color{lightgreen}c_i^{\dagger} c_{i+1}^{\vphantom{\dagger}}\\ + c_{i+1}^{\dagger}c_i^{\vphantom{\dagger}}}+{\color{#FF4500}2 \Delta n_i n_{i+1}} \right) -{\color{#20B2AA}h_i n_i}\Bigr]

D. A. Abanin, E. Altman, I. Bloch, and M. Serbyn, Rev. Mod. Phys. 91, 021001 (2019)

F. Alet, N. Laflorencie, C. R. Phys. 19,498 (2018)

Dupont, Macé, Laflorencie, PRB 100, 134201, (2019)

Laflorencie, Lemarié, Macé, PRR 2, 042033(R), (2020)

JC, Laflorencie, in preparation

Conclusion

J. COLBOIS | NANOX-FERMI | 04.2023

Anderson localization: Introduction and known results | Dominique Delande | SOAL 2020

From one extreme to another: the statistics of extreme events | Jon Keating | Oxford Mathematics Public Lectures

J. P. Fouque (eds), Diffuse Waves in Complex Media, NATO Science Series, 531, Springer (1999)

F. Evers and A. D. Mirlin, Rev. Mod. Phys. 80, 1355 (2008)

D. A. Abanin, E. Altman, I. Bloch, and M. Serbyn, Rev. Mod. Phys. 91, 021001 (2019)

F. Alet, N. Laflorencie,
C. R. Phys. 19,498 (2018)

Extreme

Values

Anderson

MBL

E. J. Gumbel, Statistics of Extremes, Dover, (1958, 2004)

S. N. Majumdar, A. Pal, G. Schehr, Physics Reports, 840, 1 (2020)

25

Where

How

Consequences

\ell_{\max}
\mathcal{H}_f = \sum_{i} \Bigl[\frac{J}{2}\left({\color{lightgreen}c_i^{\dagger} c_{i+1}^{\vphantom{\dagger}}\\ + c_{i+1}^{\dagger}c_i^{\vphantom{\dagger}}}+{\color{#FF4500}2 \Delta n_i n_{i+1}} \right) -{\color{#20B2AA}h_i n_i}\Bigr]

Attraction/ repulsion

good question :D

Many interacting fermions...

J. COLBOIS | NANOX-FERMI | 04.2023

F. Alet, N. Laflorencie, C. R. Phys. 19,498 (2018)

D. Luitz, N. Laflorencie, F. Alet, PRB 91, 081103(R) (2015)

Power Law Tails

J. COLBOIS | NANOX-FERMI | 04.2023

\mathcal{P}(\delta) \overset{\delta \rightarrow 0}{\sim} \delta^{\alpha}
\mathcal{P}(\ln \delta) \overset{\delta \rightarrow 0}{\sim} e^{(1+\alpha)\ln\delta}

 

JC, Laflorencie, in preparation

  • XX Chain: all localized
  • XXZ : Adding interactions.

In the Anderson basis

H = \sum_m \epsilon_m b_m^{\dagger} b_m + \sum_{j,k,l,m} V_{j,k,l,m} b_j^{\dagger} b_k^{\dagger} b_l b_m

N. Laflorencie, slides

J. COLBOIS | NANOX-FERMI | 04.2023

From XX to XXZ

Anderson vs Many-body localization

Anderson

Many body

No spreading of entanglement

Log spreading of entanglement

J. H. Bardarson, F. Pollmann, and J. E. Moore Phys. Rev. Lett. 109, 017202

J. COLBOIS | NANOX-FERMI | 04.2023

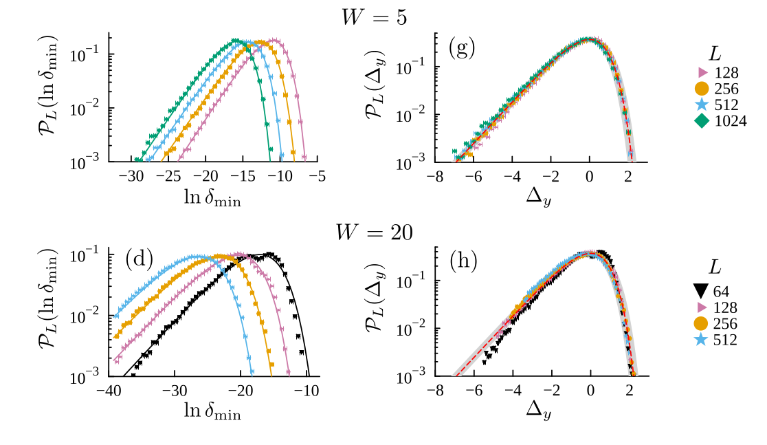
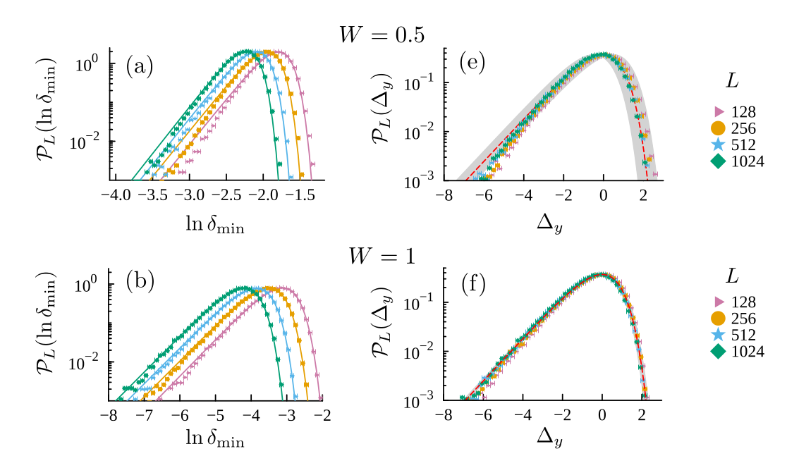
Distributions of minimal deviations

 

JC, Laflorencie, In preparation

J. COLBOIS | NANOX-FERMI | 04.2023

Distributions of minimal deviations

 

JC, Laflorencie, In preparation

J. COLBOIS | NANOX-FERMI | 04.2023

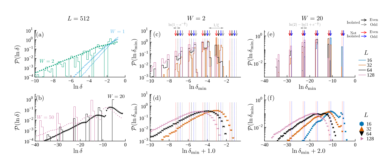
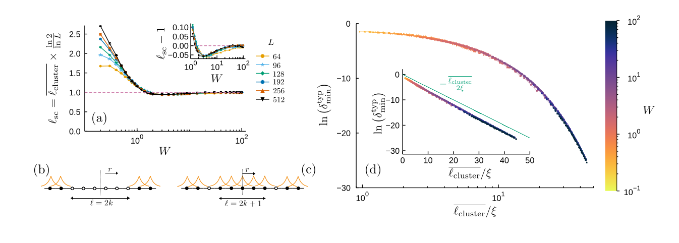
Cluster lengths

 

JC, Laflorencie, In preparation

J. COLBOIS | NANOX-FERMI | 04.2023

Consequences for MBL?

 

JC, Laflorencie, In preparation

J. COLBOIS | NANOX-FERMI | 04.2023

Magnetization

XX

XXZ

Laflorencie, Lemarié, Macé, PRR 2, 042033(R), (2020)

JC, Laflorencie, In preparation

J. COLBOIS | NANOX-FERMI | 04.2023

XX vs XXZ

J. C, Laflorencie, In preparation

J. COLBOIS | NANOX-FERMI | 04.2023

Extreme Statistics in Random spin chains

By Jeanne Colbois

Extreme Statistics in Random spin chains

Presentation for the NanoX-Fermi days 2023 in Toulouse

  • 313