Long-Range Correlations and Cat States

in a Many-Body Localized Regime

Anderson insulator

disorder \(h \)

Interaction \(\Delta\)

Ergodic 

Many-body localized (?)

Jeanne Colbois | Institut Néel | QuantAlps days 2025

?

Nicolas Laflorencie

Ashirbad Padhan

Fabien Alet

1

Anderson localization in 1D

Anderson localization in 1D

Anderson, Phys. Rev. 109, 1492 (1958)

Mott & Twose, Advances in Physics 10, 107 (1961)

\mathcal{H}_f = \sum_{i} \frac{J}{2}\left({\color{lightgreen}c_i^{\dagger} c_{i+1}^{\vphantom{\dagger}} + c_{i+1}^{\dagger}c_i^{\vphantom{\dagger}}}\right) -\sum_i{\color{orange}h_i n_i}

Conserves \(N_f\) 

1

Anderson localization in 1D

Anderson, Phys. Rev. 109, 1492 (1958)

Mott & Twose, Advances in Physics 10, 107 (1961)

\mathcal{H}_f = \sum_{i} \frac{J}{2}\left({\color{lightgreen}c_i^{\dagger} c_{i+1}^{\vphantom{\dagger}} + c_{i+1}^{\dagger}c_i^{\vphantom{\dagger}}}\right) -\sum_i{\color{orange}h_i n_i}

Conserves \(N_f\) 

1

\(|\psi(x)|^2\)

Anderson localization in 1D

Anderson, Phys. Rev. 109, 1492 (1958)

Mott & Twose, Advances in Physics 10, 107 (1961)

\mathcal{H}_f = \sum_{i} \frac{J}{2}\left({\color{lightgreen}c_i^{\dagger} c_{i+1}^{\vphantom{\dagger}} + c_{i+1}^{\dagger}c_i^{\vphantom{\dagger}}}\right) -\sum_i{\color{orange}h_i n_i}

\(|\psi(x)|^2\)

Conserves \(N_f\) 

1

\(h\)

\mathcal{P}(h_i)

\(-h\)

\(h\)

Anderson localization in 1D

Anderson, Phys. Rev. 109, 1492 (1958)

Mott & Twose, Advances in Physics 10, 107 (1961)

\mathcal{H}_f = \sum_{i} \frac{J}{2}\left({\color{lightgreen}c_i^{\dagger} c_{i+1}^{\vphantom{\dagger}} + c_{i+1}^{\dagger}c_i^{\vphantom{\dagger}}}\right) -\sum_i{\color{orange}h_i n_i}

\(|\psi(x)|^2\)

 \(\forall h , \, \forall E \) : localization

 (1D, NN)

\(h\)

\mathcal{P}(h_i)

\(-h\)

\(h\)

\(|\psi(x)|^2\)

\(\xi(h, E)\)

|\phi_i^{m}|^2 \lesssim \exp \left( \frac{i-i_0^m}{\xi_m}\right)

Conserves \(N_f\) 

1

Anderson localization in 1D

Anderson, Phys. Rev. 109, 1492 (1958)

Mott & Twose, Advances in Physics 10, 107 (1961)

\mathcal{H}_f = \sum_{i} \frac{J}{2}\left({\color{lightgreen}c_i^{\dagger} c_{i+1}^{\vphantom{\dagger}} + c_{i+1}^{\dagger}c_i^{\vphantom{\dagger}}}\right) -\sum_i{\color{orange}h_i n_i}

\(|\psi(x)|^2\)

 \(\forall h , \, \forall E \) : localization

 (1D, NN)

\(h\)

\mathcal{P}(h_i)

\(-h\)

\(h\)

\(|\psi(x)|^2\)

\(\xi(h, E)\)

|\phi_i^{m}|^2 \lesssim \exp \left( \frac{i-i_0^m}{\xi_m}\right)

Conserves \(N_f\) 

1

  • Absence of diffusion
  • Absence of transport

Anderson localization in 1D

Anderson, Phys. Rev. 109, 1492 (1958)

Mott & Twose, Advances in Physics 10, 107 (1961)

\mathcal{H}_f = \sum_{i} \frac{J}{2}\left({\color{lightgreen}c_i^{\dagger} c_{i+1}^{\vphantom{\dagger}} + c_{i+1}^{\dagger}c_i^{\vphantom{\dagger}}}\right) -\sum_i{\color{orange}h_i n_i}

\(|\psi(x)|^2\)

 \(\forall h , \, \forall E \) : localization

 (1D, NN)

\(h\)

\mathcal{P}(h_i)

\(-h\)

\(h\)

\(|\psi(x)|^2\)

\(\xi(h, E)\)

|\phi_i^{m}|^2 \lesssim \exp \left( \frac{i-i_0^m}{\xi_m}\right)

Conserves \(N_f\) 

1

  • Absence of diffusion
  • Absence of transport

Anderson insulator

disorder \(h \)

2

What happens For many, interacting fermions ?

Anderson insulator

disorder \(h \)

Interaction \(\Delta\)

2

What happens For many, interacting fermions ?

Anderson insulator

disorder \(h \)

Interaction \(\Delta\)

Is the many-body wavefunction still "localized"?

Absence of transport

Absence of thermalization

in some isolated quantum-many body systems

3

Fermions and spins

\mathcal{P}(h_i)

\(-h\)

\(h\)

\mathcal{H}_f = \sum_{i} \frac{J}{2}\left({\color{lightgreen}c_i^{\dagger} c_{i+1}^{\vphantom{\dagger}} + c_{i+1}^{\dagger}c_i^{\vphantom{\dagger}}}\right) -\sum_i{\color{orange}h_i n_i}

3

Fermions and spins

\mathcal{P}(h_i)

\(-h\)

\(h\)

Attraction / repulsion

\mathcal{H}_f = \sum_{i} \frac{J}{2}\left({\color{lightgreen}c_i^{\dagger} c_{i+1}^{\vphantom{\dagger}} + c_{i+1}^{\dagger}c_i^{\vphantom{\dagger}}}+{\color{cyan}2 \Delta n_i n_{i+1}} \right) -\sum_i{\color{orange}h_i n_i}

3

Fermions and spins

\mathcal{P}(h_i)

\(-h\)

\(h\)

Attraction / repulsion

\mathcal{H}_f = \sum_{i} \frac{J}{2}\left({\color{lightgreen}c_i^{\dagger} c_{i+1}^{\vphantom{\dagger}} + c_{i+1}^{\dagger}c_i^{\vphantom{\dagger}}}+{\color{cyan}2 \Delta n_i n_{i+1}} \right) -\sum_i{\color{orange}h_i n_i}

Jordan-Wigner

non-local transformation

\(n_i = S_i^z + 1/2\)

3

Fermions and spins

\mathcal{P}(h_i)

\(-h\)

\(h\)

Attraction / repulsion

\mathcal{H}_f = \sum_{i} \frac{J}{2}\left({\color{lightgreen}c_i^{\dagger} c_{i+1}^{\vphantom{\dagger}} + c_{i+1}^{\dagger}c_i^{\vphantom{\dagger}}}+{\color{cyan}2 \Delta n_i n_{i+1}} \right) -\sum_i{\color{orange}h_i n_i}

Jordan-Wigner

non-local transformation

\(n_i = S_i^z + 1/2\)

\mathcal{H} = \sum_{i} \frac{J}{2}\left({\color{lightgreen}S_i^{+} S_{i+1}^{-} + S_i^{-} S_{i+1}^{+}} + \dots \right)
S^{x,y,z} = \frac{1}{2} \sigma^{x,y,z}

Spin-flip

3

Fermions and spins

\mathcal{P}(h_i)

\(-h\)

\(h\)

Attraction / repulsion

\mathcal{H}_f = \sum_{i} \frac{J}{2}\left({\color{lightgreen}c_i^{\dagger} c_{i+1}^{\vphantom{\dagger}} + c_{i+1}^{\dagger}c_i^{\vphantom{\dagger}}}+{\color{cyan}2 \Delta n_i n_{i+1}} \right) -\sum_i{\color{orange}h_i n_i}

Jordan-Wigner

non-local transformation

\(n_i = S_i^z + 1/2\)

\mathcal{H} = \sum_{i} \frac{J}{2}\left({\color{lightgreen}S_i^{+} S_{i+1}^{-} + S_i^{-} S_{i+1}^{+}} + {\color{cyan} 2\Delta S_i^z S_{i+1}^z}\right) - \dots

ISING INTERACTION

S^{x,y,z} = \frac{1}{2} \sigma^{x,y,z}

Spin-flip

3

Fermions and spins

\mathcal{P}(h_i)

\(-h\)

\(h\)

Attraction / repulsion

\mathcal{H}_f = \sum_{i} \frac{J}{2}\left({\color{lightgreen}c_i^{\dagger} c_{i+1}^{\vphantom{\dagger}} + c_{i+1}^{\dagger}c_i^{\vphantom{\dagger}}}+{\color{cyan}2 \Delta n_i n_{i+1}} \right) -\sum_i{\color{orange}h_i n_i}
\mathcal{H} = \sum_{i} \frac{J}{2}\left({\color{lightgreen}S_i^{+} S_{i+1}^{-} + S_i^{-} S_{i+1}^{+}} + {\color{cyan} 2\Delta S_i^z S_{i+1}^z}\right) - \sum_{i} {\color{orange} h_i S_i^z}

ISING INTERACTION

S^{x,y,z} = \frac{1}{2} \sigma^{x,y,z}

Spin-flip

Jordan-Wigner

non-local transformation

\(n_i = S_i^z + 1/2\)

3

Fermions and spins

\mathcal{P}(h_i)

\(-h\)

\(h\)

Attraction / repulsion

\mathcal{H}_f = \sum_{i} \frac{J}{2}\left({\color{lightgreen}c_i^{\dagger} c_{i+1}^{\vphantom{\dagger}} + c_{i+1}^{\dagger}c_i^{\vphantom{\dagger}}}+{\color{cyan}2 \Delta n_i n_{i+1}} \right) -\sum_i{\color{orange}h_i n_i}

\(n_i = S_i^z + 1/2\)

\mathcal{H} = \sum_{i} \frac{J}{2}\left({\color{lightgreen}S_i^{+} S_{i+1}^{-} + S_i^{-} S_{i+1}^{+}} + {\color{cyan} 2\Delta S_i^z S_{i+1}^z}\right) - \sum_{i} {\color{orange} h_i S_i^z}

ISING INTERACTION

S^{x,y,z} = \frac{1}{2} \sigma^{x,y,z}

Spin-flip

\(L/2\) fermions

Charge is conserved

\(\sum_i S_i^{z} = 0\)

Magnetization is conserved

Jordan-Wigner

non-local transformation

Scope

4

1. From Anderson to many-body localization

 

2. Instabilities of many-body localization

 

On a spin chain:

3. Strong, long-range correlations deep in the MBL regime

From Anderson to many-body localization

1. From one to many fermions

2. Adding interactions

many non-interacting Fermions

\mathcal{H}_f = \sum_{i} \frac{J}{2}\left({\color{lightgreen}c_i^{\dagger} c_{i+1}^{\vphantom{\dagger}} + c_{i+1}^{\dagger}c_i^{\vphantom{\dagger}}}\right) -\sum_i{\color{orange}h_i n_i}

Conserves \(N_f\) 

5

Anderson, Phys. Rev. 109, 1492 (1958)

Mott & Twose, Advances in Physics 10, 107 (1961)

many non-interacting Fermions

\mathcal{H}_f = \sum_{i} \frac{J}{2}\left({\color{lightgreen}c_i^{\dagger} c_{i+1}^{\vphantom{\dagger}} + c_{i+1}^{\dagger}c_i^{\vphantom{\dagger}}}\right) -\sum_i{\color{orange}h_i n_i}

Conserves \(N_f\) 

Slater determinant based on localized wavefunctions

5

Anderson, Phys. Rev. 109, 1492 (1958)

Mott & Twose, Advances in Physics 10, 107 (1961)

many non-interacting Fermions

\mathcal{H}_f = \sum_{i} \frac{J}{2}\left({\color{lightgreen}c_i^{\dagger} c_{i+1}^{\vphantom{\dagger}} + c_{i+1}^{\dagger}c_i^{\vphantom{\dagger}}}\right) -\sum_i{\color{orange}h_i n_i}

Conserves \(N_f\) 

E
\epsilon_m

\(\xi(h, E)\)

|\Psi \rangle = | \left\{\phi_m, m \in {\color{#56B4E9}\mathrm{occ}} \right\}\rangle

Slater determinant based on localized wavefunctions

5

Anderson, Phys. Rev. 109, 1492 (1958)

Mott & Twose, Advances in Physics 10, 107 (1961)

\(\epsilon\)

\(\xi(\epsilon, W)\)

Many-body Anderson lOCALIZATION Length?

6

Colbois and Laflorencie (2023)

See also Müller & Delande review

\(\epsilon\)

\(\xi(\epsilon, W)\)

Many-body Anderson lOCALIZATION Length?

6

Colbois and Laflorencie (2023)

See also Müller & Delande review

\(\epsilon\)

\(\xi(\epsilon, W)\)

Many-body Anderson lOCALIZATION Length?

6

Colbois and Laflorencie (2023)

See also Müller & Delande review

\(h\)

\(\epsilon\)

\(\xi(\epsilon, W)\)

\xi = \frac{1}{\ln\left(1+\left(\frac{h}{h_0}\right)^2 \right)}

Many-body Anderson lOCALIZATION Length?

6

Colbois and Laflorencie (2023)

See also Müller & Delande review

\(h\)

\(\epsilon\)

\(\xi(\epsilon, W)\)

\xi = \frac{1}{\ln\left(1+\left(\frac{h}{h_0}\right)^2 \right)}

Many-body Anderson lOCALIZATION Length?

6

\xi \ll 1 \ll L
h \gg 2

Colbois and Laflorencie (2023)

See also Müller & Delande review

\(h\)

The role of interactions

7

\mathcal{H}_f = \sum_{i} \frac{J}{2}\left({\color{lightgreen}c_i^{\dagger} c_{i+1}^{\vphantom{\dagger}} + c_{i+1}^{\dagger}c_i^{\vphantom{\dagger}}}+{\color{cyan}2 \Delta n_i n_{i+1}} \right) -\sum_i{\color{orange}h_i n_i}

\(\epsilon= 1\)

The role of interactions

7

\mathcal{H}_f = \sum_{i} \frac{J}{2}\left({\color{lightgreen}c_i^{\dagger} c_{i+1}^{\vphantom{\dagger}} + c_{i+1}^{\dagger}c_i^{\vphantom{\dagger}}}+{\color{cyan}2 \Delta n_i n_{i+1}} \right) -\sum_i{\color{orange}h_i n_i}

\(\epsilon = 0\)

\(\epsilon= 1\)

Giamarchi & Schulz EPL 3 (1987); PRB 37, (1988);  

(and many more....)

Ground state, \(\epsilon = 0\)

Interaction \(\Delta\)

Localized

Delocalized

disorder \(h \)

The role of interactions

7

\mathcal{H}_f = \sum_{i} \frac{J}{2}\left({\color{lightgreen}c_i^{\dagger} c_{i+1}^{\vphantom{\dagger}} + c_{i+1}^{\dagger}c_i^{\vphantom{\dagger}}}+{\color{cyan}2 \Delta n_i n_{i+1}} \right) -\sum_i{\color{orange}h_i n_i}

\(\epsilon = 0\)

\(\epsilon= 1\)

Giamarchi & Schulz EPL 3 (1987); PRB 37, (1988);  

(and many more....)

Ground state, \(\epsilon = 0\)

Interaction \(\Delta\)

Localized

Delocalized

disorder \(h \)

The role of interactions

7

\mathcal{H}_f = \sum_{i} \frac{J}{2}\left({\color{lightgreen}c_i^{\dagger} c_{i+1}^{\vphantom{\dagger}} + c_{i+1}^{\dagger}c_i^{\vphantom{\dagger}}}+{\color{cyan}2 \Delta n_i n_{i+1}} \right) -\sum_i{\color{orange}h_i n_i}

\(\epsilon = 0\)

\(\epsilon= 1\)

Giamarchi & Schulz EPL 3 (1987); PRB 37, (1988);  

(and many more....)

Ground state, \(\epsilon = 0\)

Interaction \(\Delta\)

Localized

Delocalized

disorder \(h \)

Polynomial \(\rightarrow\) Exponential

Absence of translation invariance

No typicality methods

No ground-state methods

24 sites

The role of interactions

7

\mathcal{H}_f = \sum_{i} \frac{J}{2}\left({\color{lightgreen}c_i^{\dagger} c_{i+1}^{\vphantom{\dagger}} + c_{i+1}^{\dagger}c_i^{\vphantom{\dagger}}}+{\color{cyan}2 \Delta n_i n_{i+1}} \right) -\sum_i{\color{orange}h_i n_i}

\(\epsilon = 0\)

\(\epsilon= 1\)

Giamarchi & Schulz EPL 3 (1987); PRB 37, (1988);  

(and many more....)

Ground state, \(\epsilon = 0\)

Interaction \(\Delta\)

Localized

Delocalized

disorder \(h \)

Polynomial \(\rightarrow\) Exponential

Absence of translation invariance

No typicality methods

No ground-state methods

24 sites

Expectation:

interactions Favor delocalization

The role of interactions

7

\(\epsilon = 0\)

\(\epsilon= 1\)

Giamarchi & Schulz EPL 3 (1987); PRB 37, (1988);  

(and many more....)

Ground state, \(\epsilon = 0\)

Interaction \(\Delta\)

Localized

Delocalized

disorder \(h \)

\mathcal{H}_f = \sum_{i} \frac{J}{2}\left({\color{lightgreen}c_i^{\dagger} c_{i+1}^{\vphantom{\dagger}} + c_{i+1}^{\dagger}c_i^{\vphantom{\dagger}}}+{\color{cyan}2 \Delta n_i n_{i+1}} \right) -\sum_i{\color{orange}h_i n_i}

High energy, \( \epsilon = 0.5\)

Interaction \(\Delta\)

Delocalized

Delocalized

disorder \(h \)

  MBL

  MBL

Fleischman, Anderson, (1980);  Altschuler, et al  (1997); Gornyi et al (2005);

Basko et al  (2006); Pal and Huse (2010); Luitz et al (2015) [...and a whole field!...]

Localization can survive!

2025

What is many-body localization? 

8

Ergodic delocalized

Many-body localized

Entanglement entropy

A

What is many-body localization? 

Review: D'Alessio et al. Adv. Phys. (2016)

Serbyn, Papic, Abanin (2013) ; Bauer, Nayak (2014) ;

Huse, Nandkishore, Oganesyan (2014)

Reviews : Imbrie, Ros, Scardicchio (2017) Rademarker, Ortuno, Somoza (2017)

8

\(L/2\)

\(S\)

Ergodic delocalized

Many-body localized

Entanglement entropy

A

What is many-body localization? 

Review: D'Alessio et al. Adv. Phys. (2016)

Serbyn, Papic, Abanin (2013) ; Bauer, Nayak (2014) ;

Huse, Nandkishore, Oganesyan (2014)

Reviews : Imbrie, Ros, Scardicchio (2017) Rademarker, Ortuno, Somoza (2017)

8

Ergodic delocalized

Many-body localized

Entanglement entropy

A

What is many-body localization? 

Review: D'Alessio et al. Adv. Phys. (2016)

Serbyn, Papic, Abanin (2013) ; Bauer, Nayak (2014) ;

Huse, Nandkishore, Oganesyan (2014)

Reviews : Imbrie, Ros, Scardicchio (2017) Rademarker, Ortuno, Somoza (2017)

\(L/2\)

\(S\)

\(L/2\)

\(S\)

8

\(L/2\)

\(S\)

Ergodic delocalized

Many-body localized

Eigenstates are thermal

Entanglement entropy

A

What is many-body localization? 

Review: D'Alessio et al. Adv. Phys. (2016)

Eigenstate thermalization hypothesis

Random matrix theory

Serbyn, Papic, Abanin (2013) ; Bauer, Nayak (2014) ;

Huse, Nandkishore, Oganesyan (2014)

Reviews : Imbrie, Ros, Scardicchio (2017) Rademarker, Ortuno, Somoza (2017)

\(L/2\)

\(S\)

8

Ergodic delocalized

Many-body localized

Eigenstates are thermal

Entanglement entropy

A

What is many-body localization? 

Review: D'Alessio et al. Adv. Phys. (2016)

Eigenstates are like ground states

Extensive number of quasi-local 

conserved quantities

Eigenstate thermalization hypothesis

Random matrix theory

Serbyn, Papic, Abanin (2013) ; Bauer, Nayak (2014) ;

Huse, Nandkishore, Oganesyan (2014)

Reviews : Imbrie, Ros, Scardicchio (2017) Rademarker, Ortuno, Somoza (2017)

\(L/2\)

\(S\)

\(L/2\)

\(S\)

Successes of the emergent integrability description

9

Successes of the emergent integrability description

Predicts the eigenstates properties

Serbyn, Papic, Abanin (2013); Bauer, Nayak (2014); Huse, Nandkishore, Oganesyan (2014)

9

Successes of the emergent integrability description

Captures out-of-equilibrium dynamics

Predicts the eigenstates properties

M. Schreiber et al. Science (2015)

Serbyn, Papic, Abanin (2013); Bauer, Nayak (2014); Huse, Nandkishore, Oganesyan (2014)

9

Successes of the emergent integrability description

Supports analytical arguments / proofs

Ros, Müller (2017), Crowley, Chandran (2022), Imbrie (2016), ...

Captures out-of-equilibrium dynamics

Predicts the eigenstates properties

M. Schreiber et al. Science (2015)

Serbyn, Papic, Abanin (2013); Bauer, Nayak (2014); Huse, Nandkishore, Oganesyan (2014)

9

Successes of the emergent integrability description

Anderson insulator

disorder \(h \)

Interaction \(\Delta\)

Ergodic 

Many-body localized (?)

9

Successes of the emergent integrability description

Anderson insulator

disorder \(h \)

Interaction \(\Delta\)

Ergodic 

Many-body localized (?)

9

Mechanism and nature of the transition to the thermal phase?

Suntajs  et al, PRE (2020)

Suntajs  et al, PRB (2020)

Panda et al EPL (2019)

Abanin et al (2021)

Sels, Polkovnikov (2021)

LeBlond et al (2021)

Sierant & Zakrewski PRB (2022)

Morningstar et al (2022)

Evers, Modak, Bera (2023)

Long et al (2023)

Ha et al (2023)

Weisse, Gerstner, Sierker (2024)

...

Strong finite-size effects

Ultraslow dynamics

MBL "crisis"

Strong finite-size effects

Ultraslow dynamics

Suntajs  et al, PRE (2020)

Suntajs  et al, PRB (2020)

Panda et al EPL (2019)

Abanin et al (2021)

Sels, Polkovnikov (2021)

LeBlond et al (2021)

Sierant & Zakrewski PRB (2022)

Morningstar et al (2022)

Evers, Modak, Bera (2023)

Long et al (2023)

Ha et al (2023)

Weisse, Gerstner, Sierker (2024)

...

MBL "crisis"

Instabilities of many-body localization

10

\(L \rightarrow \infty\)

Kiefer-Emmanouilidis et al (2020), Suntajs et al (2020), Sels, Polkovnikov (2021), Wiesse et al (2024),...

Evers et al (2023),Long (2023)...

JC, Alet, Laflorencie (2024), Laflorencie et al (2025)

Sierant et al(2020), Morningstar et al, (2022) ,  Crowley, Chandran (2022), Szoldra et al (2024), Nieda et al (2024), Scoquart et al (2025)....

Weiner et al (2019), Sierant, Zakrewski (2022),

Biroli et al (2024)

Absence of MBL phase

Single transition from ergodic to MBL (potentially very large \(h_c\))

Intermediate phase (nature differs depending on the paper)

h

h

h

Phase diagram(s) and instabilities

11

\(L \rightarrow \infty\)

Kiefer-Emmanouilidis et al (2020), Suntajs et al (2020), Sels, Polkovnikov (2021), Wiesse et al (2024),...

Evers et al (2023),Long (2023)...

JC, Alet, Laflorencie (2024), Laflorencie et al (2025)

Sierant et al(2020), Morningstar et al, (2022) ,  Crowley, Chandran (2022), Szoldra et al (2024), Nieda et al (2024), Scoquart et al (2025)....

Weiner et al (2019), Sierant, Zakrewski (2022),

Biroli et al (2024)

Absence of MBL phase

Single transition from ergodic to MBL (potentially very large \(h_c\))

Intermediate phase (nature differs depending on the paper)

h

h

h

Phase diagram(s) and instabilities

Morningstar et al, PRB 105 (2022)

10

\(L \rightarrow \infty\)

Kiefer-Emmanouilidis et al (2020), Suntajs et al (2020), Sels, Polkovnikov (2021), Wiesse et al (2024),...

Evers et al (2023),Long (2023)...

JC, Alet, Laflorencie (2024), Laflorencie et al (2025)

Sierant et al(2020), Morningstar et al, (2022) ,  Crowley, Chandran (2022), Szoldra et al (2024), Nieda et al (2024), Scoquart et al (2025)....

Weiner et al (2019), Sierant, Zakrewski (2022),

Biroli et al (2024)

Morningstar et al, PRB 105 (2022)

Absence of MBL phase

Single transition from ergodic to MBL (potentially very large \(h_c\))

Intermediate phase (nature differs depending on the paper)

h

h

h

Phase diagram(s) and instabilities

avalanche instability

De Roeck & Huveneers (2017), Luitz, De Roeck & Huveneers (2017),

Thiery et al (2018); Crowley and Chandran (2020), Crowley and Chandran (2022)

Small ergodic region triggers runaway delocalization

10

\(L \rightarrow \infty\)

Kiefer-Emmanouilidis et al (2020), Suntajs et al (2020), Sels, Polkovnikov (2021), Wiesse et al (2024),...

Evers et al (2023),Long (2023)...

JC, Alet, Laflorencie (2024), Laflorencie et al (2025)

Sierant et al(2020), Morningstar et al, (2022) ,  Crowley, Chandran (2022), Szoldra et al (2024), Nieda et al (2024), Scoquart et al (2025)....

Weiner et al (2019), Sierant, Zakrewski (2022),

Biroli et al (2024)

Morningstar et al, PRB 105 (2022)

many-body resonances

Gopalakrishnan et al (2015)

Villalonga and Clark (2020)

Garratt et al (2021)

Crowley and Chandran (2022)

Morningstar et al (2022)

MBL is destabilized by resonances between localized eigenstates

avalanche instability

Absence of MBL phase

Single transition from ergodic to MBL (potentially very large \(h_c\))

Intermediate phase (nature differs depending on the paper)

h

h

h

Phase diagram(s) and instabilities

10

Many-body resonances

11

Resonances between more localized many-body states

Gopalakrishnan et al (2015); Kjäll (2018); Villalonga and Clark (2020); Garratt et al (2021); Crowley and Chandran (2022); Morningstar et al (2022)

Many-body resonances

11

\rangle_{\tau^z \, \mathrm{or}\, \sigma^z}

Resonances between more localized many-body states

Gopalakrishnan et al (2015); Kjäll (2018); Villalonga and Clark (2020); Garratt et al (2021); Crowley and Chandran (2022); Morningstar et al (2022)

|
\rangle_{\tau^z \, \mathrm{or}\, \sigma^z}
|

Many-body resonances

11

Resonances between more localized many-body states

Gopalakrishnan et al (2015); Kjäll (2018); Villalonga and Clark (2020); Garratt et al (2021); Crowley and Chandran (2022); Morningstar et al (2022)

\rangle_{\tau^z \, \mathrm{or}\, \sigma^z}
\rangle_{\tau^z \, \mathrm{or}\, \sigma^z}
|
|

Many-body resonances

11

\(r\)

|
|
\rangle_{\tau^z \, \mathrm{or}\, \sigma^z}
\rangle_{\tau^z \, \mathrm{or}\, \sigma^z}

\(r\)

\ket{E', \pm} =

\(\pm\)

Perturb away from very strong disorder

Resonances between more localized many-body states

Gopalakrishnan et al (2015); Kjäll (2018); Villalonga and Clark (2020); Garratt et al (2021); Crowley and Chandran (2022); Morningstar et al (2022)

\rangle_{\tau^z \, \mathrm{or}\, \sigma^z}
|
\rangle_{\tau^z \, \mathrm{or}\, \sigma^z}
|

Hints in several works but extremely challenging to characterize

12

Two questions

\(h/J \)

Ergodic

MBL

  1. Can we define a localization length on the non-ergodic side ?
  2. Can we see traces of "systemwide" resonances ?

\(\Delta/J\)

sTRONG, LONG-RANGE CORRELATIONS AND CAT STATES

\alpha = z
\alpha = x, y

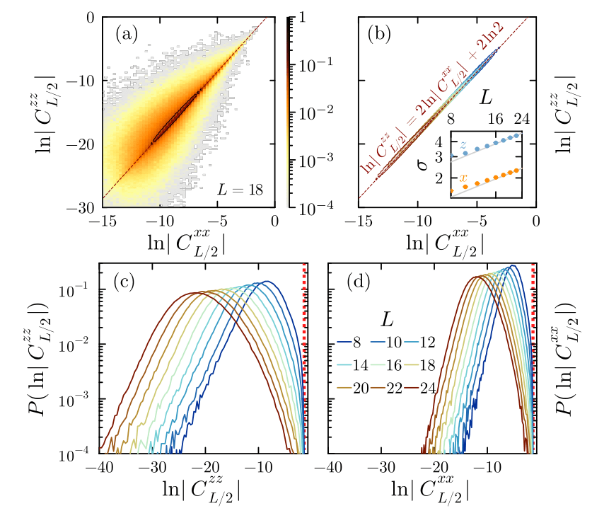
Spin-Spin (dENSITY-DENSITY) Correlations

 \(C_{r}^{\alpha\alpha} = \langle S_i^{\alpha} S_{i+r}^{\alpha} \rangle  - \langle S_i^{\alpha} \rangle \langle S_{i+r}^{\alpha} \rangle\)

13

SimplE

\alpha = z
\alpha = x, y

Localized

Delocalized

It depends

\(|C^{\alpha,\alpha}_{r} |= A e^{-r /\xi_{\alpha}}\)

Spin-Spin (dENSITY-DENSITY) Correlations

 \(C_{r}^{\alpha\alpha} = \langle S_i^{\alpha} S_{i+r}^{\alpha} \rangle  - \langle S_i^{\alpha} \rangle \langle S_{i+r}^{\alpha} \rangle\)

13

SimplE

Experimentally

accessible

\alpha = z
\alpha = x, y

Localized

Delocalized

It depends

\(|C^{\alpha,\alpha}_{r} |= A e^{-r /\xi_{\alpha}}\)

 \(C_{ij}^{zz} \rightarrow \langle n_i n_{j} \rangle  - \langle n_i \rangle \langle n_{j} \rangle\)

From spin to bosons : \(n_i = S_i^{z} + 1/2\)

Density-density correlations

Aubry-André model

Lukin et al, Science (2019)

Spin-Spin (dENSITY-DENSITY) Correlations

 \(C_{r}^{\alpha\alpha} = \langle S_i^{\alpha} S_{i+r}^{\alpha} \rangle  - \langle S_i^{\alpha} \rangle \langle S_{i+r}^{\alpha} \rangle\)

13

SimplE

Experimentally

accessible

Somewhat

overlooked

\alpha = z
\alpha = x, y

Localized

Delocalized

It depends

\(|C^{\alpha,\alpha}_{r} |= A e^{-r /\xi_{\alpha}}\)

 \(C_{ij}^{zz} \rightarrow \langle n_i n_{j} \rangle  - \langle n_i \rangle \langle n_{j} \rangle\)

From spin to bosons : \(n_i = S_i^{z} + 1/2\)

Density-density correlations

Main theoretical works*:

Aubry-André model

Pal & Huse, PRB (2010); Lim, Sheng, PRB (2016)

Localization lengths are short in MBL

Varma et al., PRB (2019)

Character of short-range distributions

Colmenarez et al, SciPost (2019)

*Other works focus on QMI / on weaker disorders / on time evolution

Correlations as a probe of the transition...

Spin-Spin (dENSITY-DENSITY) Correlations

 \(C_{r}^{\alpha\alpha} = \langle S_i^{\alpha} S_{i+r}^{\alpha} \rangle  - \langle S_i^{\alpha} \rangle \langle S_{i+r}^{\alpha} \rangle\)

Lukin et al, Science (2019)

13

Distance-dependent \(|C^{\alpha\alpha}_r|\) :

\alpha = z
\alpha = x, y

see e.g.

Pal & Huse (2010)

Varma et al. (2019)

Villalonga and Clark (2020)

Colmenarez et al (2019)

Spin-Spin (dENSITY-DENSITY) Correlations

 \(C_{r}^{\alpha\alpha} = \langle S_i^{\alpha} S_{i+r}^{\alpha} \rangle  - \langle S_i^{\alpha} \rangle \langle S_{i+r}^{\alpha} \rangle\)

14

Distance-dependent \(|C^{\alpha\alpha}_r|\) :

\alpha = z
\alpha = x, y
  • no \(r\)-dep. in the ergodic phase \(\epsilon = 0.5\)
  • inherent difficulties with PBC

see e.g.

Pal & Huse (2010)

Varma et al. (2019)

Villalonga and Clark (2020)

Colmenarez et al (2019)

Spin-Spin (dENSITY-DENSITY) Correlations

 \(C_{r}^{\alpha\alpha} = \langle S_i^{\alpha} S_{i+r}^{\alpha} \rangle  - \langle S_i^{\alpha} \rangle \langle S_{i+r}^{\alpha} \rangle\)

14

Mid-chain correlations

Distance-dependent \(|C^{\alpha\alpha}_r|\) :

Systemwide \(|C^{\alpha\alpha}_r|\) : \(r = L/2\)

\alpha = z
\alpha = x, y
  • no \(r\)-dep. in the ergodic phase \(\epsilon = 0.5\)
  • inherent difficulties with PBC

see e.g.

Pal & Huse (2010)

Varma et al. (2019)

Villalonga and Clark (2020)

Colmenarez et al (2019)

Spin-Spin (dENSITY-DENSITY) Correlations

 \(C_{r}^{\alpha\alpha} = \langle S_i^{\alpha} S_{i+r}^{\alpha} \rangle  - \langle S_i^{\alpha} \rangle \langle S_{i+r}^{\alpha} \rangle\)

14

Mid-chain correlations

Distance-dependent \(|C^{\alpha\alpha}_r|\) :

Systemwide \(|C^{\alpha\alpha}_r|\) : \(r = L/2\)

\alpha = z
\alpha = x, y
  • no \(r\)-dep. in the ergodic phase \(\epsilon = 0.5\)
  • inherent difficulties with PBC

see e.g.

Pal & Huse (2010)

Varma et al. (2019)

Villalonga and Clark (2020)

Colmenarez et al (2019)

Spin-Spin (dENSITY-DENSITY) Correlations

 \(C_{r}^{\alpha\alpha} = \langle S_i^{\alpha} S_{i+r}^{\alpha} \rangle  - \langle S_i^{\alpha} \rangle \langle S_{i+r}^{\alpha} \rangle\)

14

Mid-chain correlations

Distance-dependent \(|C^{\alpha\alpha}_r|\) :

Systemwide \(|C^{\alpha\alpha}_r|\) : \(r = L/2\)

\alpha = z
\alpha = x, y
  • no \(r\)-dep. in the ergodic phase \(\epsilon = 0.5\)
  • inherent difficulties with PBC

see e.g.

Pal & Huse (2010)

Varma et al. (2019)

Villalonga and Clark (2020)

Colmenarez et al (2019)

Spin-Spin (dENSITY-DENSITY) Correlations

 \(C_{r}^{\alpha\alpha} = \langle S_i^{\alpha} S_{i+r}^{\alpha} \rangle  - \langle S_i^{\alpha} \rangle \langle S_{i+r}^{\alpha} \rangle\)

14

Ergodic typical eigenstate = random vector

Anderson localized \(\Delta = 0\)

Two simple limits

JC, F. Alet, N. Laflorencie, PRL 133 and  PRB 110, (2024)

 \(C_{r}^{\alpha\alpha} = \langle S_i^{\alpha} S_{i+r}^{\alpha} \rangle  - \langle S_i^{\alpha} \rangle \langle S_{i+r}^{\alpha} \rangle\)

15

15

Ergodic typical eigenstate = random vector

Anderson localized \(\Delta = 0\)

Two simple limits

JC, F. Alet, N. Laflorencie, PRL 133 and  PRB 110, (2024)

 \(C_{r}^{\alpha\alpha} = \langle S_i^{\alpha} S_{i+r}^{\alpha} \rangle  - \langle S_i^{\alpha} \rangle \langle S_{i+r}^{\alpha} \rangle\)

  • bulk decay matches mid-chain decay

\(h = 5\)

Ergodic typical eigenstate = random vector

Anderson localized \(\Delta = 0\)

Two simple limits

JC, F. Alet, N. Laflorencie, PRL 133 and  PRB 110, (2024)

 \(C_{r}^{\alpha\alpha} = \langle S_i^{\alpha} S_{i+r}^{\alpha} \rangle  - \langle S_i^{\alpha} \rangle \langle S_{i+r}^{\alpha} \rangle\)

  • bulk decay matches mid-chain decay
  • good proxy for the localization length

15

Ergodic typical eigenstate = random vector

Anderson localized \(\Delta = 0\)

Two simple limits

JC, F. Alet, N. Laflorencie, PRL 133 and  PRB 110, (2024)

 \(C_{r}^{\alpha\alpha} = \langle S_i^{\alpha} S_{i+r}^{\alpha} \rangle  - \langle S_i^{\alpha} \rangle \langle S_{i+r}^{\alpha} \rangle\)

  • bulk decay matches mid-chain decay
  • good proxy for the localization length

\(\xi_x \approx 2 \xi_z\) : XX correlations dominate

15

Ergodic typical eigenstate = random vector

Anderson localized \(\Delta = 0\)

Two simple limits

JC, F. Alet, N. Laflorencie, PRL 133 and  PRB 110, (2024)

 \(C_{r}^{\alpha\alpha} = \langle S_i^{\alpha} S_{i+r}^{\alpha} \rangle  - \langle S_i^{\alpha} \rangle \langle S_{i+r}^{\alpha} \rangle\)

  • bulk decay matches mid-chain decay
  • good proxy for the localization length

\(\xi_x \approx 2 \xi_z\) : XX correlations dominate

ONLY SIZE DEPENDENCE!

No spatial dependence,

Random vector

15

Ergodic typical eigenstate = random vector

Anderson localized \(\Delta = 0\)

Two simple limits

JC, F. Alet, N. Laflorencie, PRL 133 and  PRB 110, (2024)

 \(C_{r}^{\alpha\alpha} = \langle S_i^{\alpha} S_{i+r}^{\alpha} \rangle  - \langle S_i^{\alpha} \rangle \langle S_{i+r}^{\alpha} \rangle\)

  • bulk decay matches mid-chain decay
  • good proxy for the localization length

\(\xi_x \approx 2 \xi_z\) : XX correlations dominate

ONLY SIZE DEPENDENCE!

No spatial dependence,

Random vector

15

Ergodic typical eigenstate = random vector

Anderson localized \(\Delta = 0\)

Two simple limits

JC, F. Alet, N. Laflorencie, PRL 133 and  PRB 110, (2024)

 \(C_{r}^{\alpha\alpha} = \langle S_i^{\alpha} S_{i+r}^{\alpha} \rangle  - \langle S_i^{\alpha} \rangle \langle S_{i+r}^{\alpha} \rangle\)

  • bulk decay matches mid-chain decay
  • good proxy for the localization length

\(\xi_x \approx 2 \xi_z\) : XX correlations dominate

Random vector

Total spin conservation

|C^{zz}_{L/2}| \sim 1/4(L-1)
\xi_z \rightarrow \infty

15

Ergodic typical eigenstate = random vector

Anderson localized \(\Delta = 0\)

Two simple limits

JC, F. Alet, N. Laflorencie, PRL 133 and  PRB 110, (2024)

 \(C_{r}^{\alpha\alpha} = \langle S_i^{\alpha} S_{i+r}^{\alpha} \rangle  - \langle S_i^{\alpha} \rangle \langle S_{i+r}^{\alpha} \rangle\)

  • bulk decay matches mid-chain decay
  • good proxy for the localization length

\(\xi_x \approx 2 \xi_z\) : XX correlations dominate

Random vector

Total spin conservation

|C^{zz}_{L/2}| \sim 1/4(L-1)
\xi_z \rightarrow \infty

Random state : XX

|C^{xx}_{L/2}| \propto 2^{-L/2}

finite \(\xi_x\)

15

Ergodic typical eigenstate = random vector

Anderson localized \(\Delta = 0\)

Two simple limits

JC, F. Alet, N. Laflorencie, PRL 133 and  PRB 110, (2024)

 \(C_{r}^{\alpha\alpha} = \langle S_i^{\alpha} S_{i+r}^{\alpha} \rangle  - \langle S_i^{\alpha} \rangle \langle S_{i+r}^{\alpha} \rangle\)

  • bulk decay matches mid-chain decay
  • good proxy for the localization length

\(\xi_x \approx 2 \xi_z\) : XX correlations dominate

Random vector

|C^{zz}_{L/2}| \sim 1/4(L-1)
|C^{xx}_{L/2}| \propto 2^{-L/2}

XXZ, \(h = 1, \Delta = 1\)

\xi_z \rightarrow \infty

finite \(\xi_x\)

15

Ergodic typical eigenstate = random vector

Anderson localized \(\Delta = 0\)

Two simple limits

JC, F. Alet, N. Laflorencie, PRL 133 and  PRB 110, (2024)

 \(C_{r}^{\alpha\alpha} = \langle S_i^{\alpha} S_{i+r}^{\alpha} \rangle  - \langle S_i^{\alpha} \rangle \langle S_{i+r}^{\alpha} \rangle\)

  • bulk decay matches mid-chain decay
  • good proxy for the localization length

\(\xi_x \approx 2 \xi_z\) : XX correlations dominate

Random vector

|C^{zz}_{L/2}| \sim 1/4(L-1)
|C^{xx}_{L/2}| \propto 2^{-L/2}

XXZ, \(h = 1, \Delta = 1\)

\xi_z \rightarrow \infty

finite \(\xi_x\)

15

|C^{xx}_{L/2}| \propto e^{-L/\xi_x}
|C^{zz}_{L/2}| \sim 1/4(L + \ell_0)

Ergodic typical eigenstate = random vector

Anderson localized \(\Delta = 0\)

\(\xi_x \approx 2 \xi_z\) : XX correlations dominate

ZZ correlations dominate

|C^{xx}_{L/2}| \propto 2^{-L/2}
|C^{xx}_{L/2}| \propto e^{-L/\xi_x}

Random vector

XXZ, \(h = 1, \Delta = 1\)

|C^{zz}_{L/2}| \sim 1/4(L + \ell_0)
\xi_z \rightarrow \infty

finite \(\xi_x\)

  • bulk decay matches mid-chain decay
  • good proxy for the localization length

Two simple limits

|C^{zz}_{L/2}| \sim 1/4(L-1)

JC, F. Alet, N. Laflorencie, PRL 133 and  PRB 110, (2024)

 \(C_{r}^{\alpha\alpha} = \langle S_i^{\alpha} S_{i+r}^{\alpha} \rangle  - \langle S_i^{\alpha} \rangle \langle S_{i+r}^{\alpha} \rangle\)

15

14

Random vector

JC, F. Alet, N. Laflorencie, PRL 133 and  PRB 110, (2024)

Inversion of the dominant correlations

16

 \(C_{L/2}^{\alpha\alpha} = \langle S_i^{\alpha} S_{i+L/2}^{\alpha} \rangle  - \langle S_i^{\alpha} \rangle \langle S_{i+L/2}^{\alpha} \rangle\)

Random vector

JC, F. Alet, N. Laflorencie, PRL 133 and  PRB 110, (2024)

Inversion of the dominant correlations

Extrapolated transition

Standard estimates lead to an extrapolated transition line \(h_c(\Delta)\)

14

16

Random vector

JC, F. Alet, N. Laflorencie, PRL 133 and  PRB 110, (2024)

Inversion of the dominant correlations

Extrapolated transition

Standard estimates lead to an extrapolated transition line \(h_c(\Delta)\)

Deep MBL

MBL and AL are connected from the point of view of correlations \(\xi_z, \xi_x\) at weak interactions

14

16

Random vector

JC, F. Alet, N. Laflorencie, PRL 133 and  PRB 110, (2024)

Inversion of the dominant correlations

Extrapolated transition

Standard estimates lead to an extrapolated transition line \(h_c(\Delta)\)

An inversion of the dominant correlations occurs deeper in the MBL regime

Deep MBL

MBL and AL are connected from the point of view of correlations \(\xi_z, \xi_x\) at weak interactions

14

16

Random vector

JC, F. Alet, N. Laflorencie, PRL 133 and  PRB 110, (2024)

Inversion of the dominant correlations

Extrapolated transition

Standard estimates lead to an extrapolated transition line \(h_c(\Delta)\)

An inversion of the dominant correlations occurs deeper in the MBL regime

Deep MBL

MBL and AL are connected from the point of view of correlations \(\xi_z, \xi_x\) at weak interactions

?

14

16

17

JC, F. Alet, N. Laflorencie, PRL 133 and  PRB 110, (2024)

Large correlations along the Heisenberg line

Large correlations along the Heisenberg line

XX

JC, F. Alet, N. Laflorencie, PRL 133 and  PRB 110, (2024)

17

Large correlations along the Heisenberg line

XX

L

Limited weight at large correlations

JC, F. Alet, N. Laflorencie, PRL 133 and  PRB 110, (2024)

17

Large correlations along the Heisenberg line

ZZ

XX

Non-zero probability of large correlations

JC, F. Alet, N. Laflorencie, PRL 133 and  PRB 110, (2024)

Limited weight at large correlations

17

1. Do these rare, large, long-distance correlations matter ?

2. How deep in the MBL phase can we find large correlations ? 

3. What are these events ?

18

JC, F. Alet, N. Laflorencie, PRL 133 and  PRB 110, (2024)

1. Do these large correlations matter ?

Semi-log

 \(C_{L/2}^{\alpha\alpha} = \langle S_i^{\alpha} S_{i+L/2}^{\alpha} \rangle  - \langle S_i^{\alpha} \rangle \langle S_{i+L/2}^{\alpha} \rangle\)

JC, F. Alet, N. Laflorencie, PRL 133 and  PRB 110, (2024)

1. Do these large correlations matter ?

Semi-log

Average

\(\overline{|C^{zz}_{L/2}|}\)

18

 \(C_{L/2}^{\alpha\alpha} = \langle S_i^{\alpha} S_{i+L/2}^{\alpha} \rangle  - \langle S_i^{\alpha} \rangle \langle S_{i+L/2}^{\alpha} \rangle\)

JC, F. Alet, N. Laflorencie, PRL 133 and  PRB 110, (2024)

1. Do these large correlations matter ?

Average

\(\overline{|C^{zz}_{L/2}|}\)

vs typical 

\(\exp(\overline{\ln|C^{zz}_{L/2}|})\)

Semi-log

18

 \(C_{L/2}^{\alpha\alpha} = \langle S_i^{\alpha} S_{i+L/2}^{\alpha} \rangle  - \langle S_i^{\alpha} \rangle \langle S_{i+L/2}^{\alpha} \rangle\)

JC, F. Alet, N. Laflorencie, PRL 133 and  PRB 110, (2024)

1. Do these large correlations matter ?

Average

\(\overline{|C^{zz}_{L/2}|}\)

vs typical 

\(\exp(\overline{\ln|C^{zz}_{L/2}|})\)

Semi-log

Log-log

18

 \(C_{L/2}^{\alpha\alpha} = \langle S_i^{\alpha} S_{i+L/2}^{\alpha} \rangle  - \langle S_i^{\alpha} \rangle \langle S_{i+L/2}^{\alpha} \rangle\)

19

2. How deep can we find large correlationS ? 

Average of the maximum over all eigenstates

Up to \(h \sim 20-25\)

 

N. Laflorencie, JC, F. Alet, arXiv:2504.10566

20

 

N. Laflorencie, JC, F. Alet, arXiv:2504.10566

\(L = 20, h = 12\)

3. What are these events?

 

N. Laflorencie, JC, F. Alet, arXiv:2504.10566

\(L = 20, h = 12\)

3. What are these events?

  1.  Large correlations : pairs
  2. Extremely small gap

20

 

N. Laflorencie, JC, F. Alet, arXiv:2504.10566

\(L = 20, h = 12\)

3. What are these events?

  1.  Large correlations : pairs
  2. Extremely small gap
  3. Cat states picture

20

21

JC, F. Alet, N. Laflorencie, PRB 110, (2024)

N. Laflorencie, JC, F. Alet, arXiv:2504.10566

A. Padhan et al. arXiv2510.xxxx

Diagram and questions

Diagram of the correlations regimes:

21

JC, F. Alet, N. Laflorencie, PRB 110, (2024)

N. Laflorencie, JC, F. Alet, arXiv:2504.10566

A. Padhan et al. arXiv2510.xxxx

Diagram and questions

Diagram of the correlations regimes:

Average: power-law

Average: exponential

21

JC, F. Alet, N. Laflorencie, PRB 110, (2024)

N. Laflorencie, JC, F. Alet, arXiv:2504.10566

A. Padhan et al. arXiv2510.xxxx

Diagram and questions

Diagram of the correlations regimes:

Particular realizations of disorder?

Unclear because very fine-tuned resonances

Average: power-law

Average: exponential

21

JC, F. Alet, N. Laflorencie, PRB 110, (2024)

N. Laflorencie, JC, F. Alet, arXiv:2504.10566

A. Padhan et al. arXiv2510.xxxx

Diagram and questions

Diagram of the correlations regimes:

Particular realizations of disorder?

Related to avalanches and rare regions?

Ashirbad Padhan

Unclear because very fine-tuned resonances

Probably not : we find them in quasiperiodic models too!

Average: power-law

Average: exponential

21

JC, F. Alet, N. Laflorencie, PRB 110, (2024)

N. Laflorencie, JC, F. Alet, arXiv:2504.10566

A. Padhan et al. arXiv2510.xxxx

Diagram and questions

Diagram of the correlations regimes:

Particular realizations of disorder?

Related to avalanches and rare regions?

Unclear because very fine-tuned resonances

Probably not : we find them in quasiperiodic models too!

Can they destabilize MBL?

That is the main question!

Average: power-law

Average: exponential

Ashirbad Padhan

tAKE-HOME MESSAGEs

\(|\psi(x)|^2\)

\(\xi(h, E)\)

Anderson localization

in 1D: \(\forall E\), states are localized

Interactions:

Ergodic (thermal) phase vs. Many-body localization

tAKE-HOME MESSAGEs

\(|\psi(x)|^2\)

\(\xi(h, E)\)

Anderson localization

in 1D: \(\forall E\), states are localized

Interactions:

Ergodic (thermal) phase vs. Many-body localization

OUR CONTRIBUTION:

1. Large correlations at maximal distance deep in the MBL regime.

2. They can dominate the average

3. They signal cat-like states. Toy model to spot them systematically.

Links with dynamics and with Fock space rare events?

Bonus slide unlocked

\mathcal{H} = \sum_m \epsilon_m b_m^{\dagger} b_m + \sum_{j,k,l,m} {\color{#ff9900}V_{j,k,l,m} b_j^{\dagger} b_k^{\dagger} b_l b_m}

In the Anderson basis: 

Anderson 

orbitals \(m\)

JC, F. Alet, N. Laflorencie, PRL, (2024)

JC, F. Alet, N. Laflorencie, PRB 110, (2024)

JC, F. Alet, N. Laflorencie, PRB 110, (2024)

JC, F. Alet, N. Laflorencie, PRB 110, (2024)

Ergodic

Ergodic

Ergodic

Vertical cut

\(h/J \)

Ergodic

MBL

\(h/J \)

Ergodic

MBL

  1. \(\xi_{z,x}\) very short
  2. Directly connected to AL values
  3.  Flat  \(\xi_x\), fast  increase of \(\xi_z\)
  4. Instability

Ergodic

JC, F. Alet, N. Laflorencie, PRL 133, 116502 (2024)

Model : t-V with usual XXZ units, except V = 2t

Model : t-V with usual XXZ units, except V = 2t

JC, F. Alet, N. Laflorencie, PRB 110, (2024)

N. Laflorencie, JC, F. Alet, arXiv:2504.10566

A. Padhan et al. arXiv2510.xxxx

JC, F. Alet, N. Laflorencie, PRB 110, (2024)

N. Laflorencie, JC, F. Alet, arXiv:2504.10566

A. Padhan et al. arXiv2510.xxxx

Anderson

No growth

of entanglement

J. H. Bardarson, F. Pollmann, and J. E. Moore, PRL 109, 017202 (2012)

M. Znidaric, T. Prosen, and P. Prelovsek PRB 77, 064426 (2008)

Log growth

of entanglement

Initial \(S^z\) basis random product state

+

TEBD

 

W = 5

Long-range correlations in a MBL regime

By Jeanne Colbois

Long-range correlations in a MBL regime

Invited talk at the QuantAlps days 2025

  • 125