Jeanne Colbois | CNRS researcher at Institut NEEL | Grenoble | France

jeanne.colbois@neel.cnrs.fr

Bielefeld | July 2025 

 From anderson to many-body localization

Jeanne Colbois | CNRS researcher at Institut NEEL | Grenoble | France

jeanne.colbois@neel.cnrs.fr

Bielefeld | July 2025 

 From anderson to many-body localization

Anderson localization

Jeanne Colbois | CNRS researcher at Institut NEEL | Grenoble | France

jeanne.colbois@neel.cnrs.fr

Bielefeld | July 2025 

 From anderson to many-body localization

Thermalization in isolated quantum many-body systems

Anderson localization

Jeanne Colbois | CNRS researcher at Institut NEEL | Grenoble | France

jeanne.colbois@neel.cnrs.fr

Bielefeld | July 2025 

 From anderson to many-body localization

Instabilities in the random field XXZ chain

Nicolas Laflorencie

Fabien Alet

LPT Toulouse - France

Thermalization in isolated quantum many-body systems

Anderson localization

COLBOIS | FROM AL TO  MBL |  07.2025

Anderson localization in 1D

Anderson, Phys. Rev. 109, 1492 (1958)

Mott & Twose, Advances in Physics 10, 107 (1961)

\mathcal{H}_f = \sum_{i} \frac{J}{2}\left({\color{lightgreen}c_i^{\dagger} c_{i+1}^{\vphantom{\dagger}} + c_{i+1}^{\dagger}c_i^{\vphantom{\dagger}}}\right) -\sum_i{\color{orange}h_i n_i}

1

Conserves \(N_f\) 

\(|\psi(x)|^2\)

COLBOIS | FROM AL TO  MBL |  07.2025

Anderson localization in 1D

Anderson, Phys. Rev. 109, 1492 (1958)

Mott & Twose, Advances in Physics 10, 107 (1961)

\mathcal{H}_f = \sum_{i} \frac{J}{2}\left({\color{lightgreen}c_i^{\dagger} c_{i+1}^{\vphantom{\dagger}} + c_{i+1}^{\dagger}c_i^{\vphantom{\dagger}}}\right) -\sum_i{\color{orange}h_i n_i}

1

Conserves \(N_f\) 

\(|\psi(x)|^2\)

\(h\)

\mathcal{P}(h_i)

\(-h\)

\(h\)

COLBOIS | FROM AL TO  MBL |  07.2025

Anderson localization in 1D

Anderson, Phys. Rev. 109, 1492 (1958)

Mott & Twose, Advances in Physics 10, 107 (1961)

\mathcal{H}_f = \sum_{i} \frac{J}{2}\left({\color{lightgreen}c_i^{\dagger} c_{i+1}^{\vphantom{\dagger}} + c_{i+1}^{\dagger}c_i^{\vphantom{\dagger}}}\right) -\sum_i{\color{orange}h_i n_i}

1

|\phi_i^{m}|^2 \lesssim \exp \left( \frac{i-i_0^m}{\xi_m}\right)

Conserves \(N_f\) 

\(|\psi(x)|^2\)

 \(\forall h , \, \forall E \) : localization !!

 (1D, NN)

\(h\)

\mathcal{P}(h_i)

\(-h\)

\(h\)

\(|\psi(x)|^2\)

\(\xi(h, E)\)

COLBOIS | FROM AL TO  MBL |  07.2025

Anderson localization in 1D

Anderson, Phys. Rev. 109, 1492 (1958)

Mott & Twose, Advances in Physics 10, 107 (1961)

\mathcal{H}_f = \sum_{i} \frac{J}{2}\left({\color{lightgreen}c_i^{\dagger} c_{i+1}^{\vphantom{\dagger}} + c_{i+1}^{\dagger}c_i^{\vphantom{\dagger}}}\right) -\sum_i{\color{orange}h_i n_i}

Constructive interference phenomenon

\(\langle x^{2}(t)\rangle \) saturates  : absence of diffusion

1

|\phi_i^{m}|^2 \lesssim \exp \left( \frac{i-i_0^m}{\xi_m}\right)

Conserves \(N_f\) 

\(|\psi(x)|^2\)

 \(\forall h , \, \forall E \) : localization !!

 (1D, NN)

\(h\)

\mathcal{P}(h_i)

\(-h\)

\(h\)

\(|\psi(x)|^2\)

\(\xi(h, E)\)

Anderson localization in 1D

\mathcal{H}_f = \sum_{i} \frac{J}{2}\left({\color{lightgreen}c_i^{\dagger} c_{i+1}^{\vphantom{\dagger}} + c_{i+1}^{\dagger}c_i^{\vphantom{\dagger}}}\right) -\sum_i{\color{orange}h_i n_i}

Constructive interference phenomenon

\(\langle x^{2}(t)\rangle \) saturates  : absence of diffusion

Anderson localization in a many-body setting ?

1

COLBOIS | FROM AL TO  MBL |  07.2025

|\phi_i^{m}|^2 \lesssim \exp \left( \frac{i-i_0^m}{\xi_m}\right)

Conserves \(N_f\) 

\(|\psi(x)|^2\)

 \(\forall h , \, \forall E \) : localization !!

 (1D, NN)

\(h\)

\mathcal{P}(h_i)

\(-h\)

\(h\)

\(|\psi(x)|^2\)

\(\xi(h, E)\)

Anderson, Phys. Rev. 109, 1492 (1958)

Mott & Twose, Advances in Physics 10, 107 (1961)

Anderson localization in 1D

Anderson, Phys. Rev. 109, 1492 (1958)

Mott & Twose, Advances in Physics 10, 107 (1961)

\mathcal{H}_f = \sum_{i} \frac{J}{2}\left({\color{lightgreen}c_i^{\dagger} c_{i+1}^{\vphantom{\dagger}} + c_{i+1}^{\dagger}c_i^{\vphantom{\dagger}}}\right) -\sum_i{\color{orange}h_i n_i}

\(|\psi(x)|^2\)

 \(\forall h , \, \forall E \) : localization !!

 (1D, NN)

\(h\)

\mathcal{P}(h_i)

\(-h\)

\(h\)

\(|\psi(x)|^2\)

Constructive interference phenomenon

\(\langle x^{2}(t)\rangle \) saturates  : absence of diffusion

\(\xi(h, E)\)

Anderson localization in a many-body setting ?

1

Absence of thermalization in isolated many-body quantum systems

|\phi_i^{m}|^2 \lesssim \exp \left( \frac{i-i_0^m}{\xi_m}\right)

COLBOIS | FROM AL TO  MBL |  07.2025

Conserves \(N_f\) 

What may be unusual here:

 

Quenched disorder

 

Eigenstates in the middle of the spectrum

 

2

COLBOIS | FROM AL TO  MBL |  07.2025

What may be unusual here:

 

Quenched disorder

 

Eigenstates in the middle of the spectrum

 

... Yet These may ring a bell:

Non-perturbative quantum many-body physics on a lattice

 

Entanglement

 

(Random matrix theory ?)

2

COLBOIS | FROM AL TO  MBL |  07.2025

3

Scope

 

1. From "many-body" Anderson localization to the question

2. Thermalization of isolated quantum systems

 

COLBOIS | FROM AL TO  MBL |  07.2025

3

Scope

 

1. From "many-body" Anderson localization to the question

2. Thermalization of isolated quantum systems

 

On a spin chain:

 

3. Many-body localization vs thermalization

4. The MBL "crisis"

 

COLBOIS | FROM AL TO  MBL |  07.2025

3

Scope

 

1. From "many-body" Anderson localization to the question

2. Thermalization of isolated quantum systems

 

On a spin chain:

 

3. Many-body localization vs thermalization

4. The MBL "crisis"

 

5. Avalanche instability at weak interactions

6. Resonances through correlations

COLBOIS | FROM AL TO  MBL |  07.2025

1. "Many-body" Anderson localization

4

Several non-interacting fermions

\mathcal{H}_f = \sum_{i} \frac{J}{2}\left({\color{lightgreen}c_i^{\dagger} c_{i+1}^{\vphantom{\dagger}} + c_{i+1}^{\dagger}c_i^{\vphantom{\dagger}}}\right) -\sum_i{\color{orange}h_i n_i}

COLBOIS | FROM AL TO  MBL |  07.2025

Conserves \(N_f\) 

4

Several non-interacting fermions

\mathcal{H}_f = \sum_{m} E_m b_m^{\dagger}b_m
b_m = \sum_{i} \phi_i^{m} c_i
\mathcal{H}_f = \sum_{i} \frac{J}{2}\left({\color{lightgreen}c_i^{\dagger} c_{i+1}^{\vphantom{\dagger}} + c_{i+1}^{\dagger}c_i^{\vphantom{\dagger}}}\right) -\sum_i{\color{orange}h_i n_i}
|\phi_i^{m}|^2 \lesssim \exp \left( \frac{i-i_0^m}{\xi_m}\right)

COLBOIS | FROM AL TO  MBL |  07.2025

Conserves \(N_f\) 

n_m = b_m^{\dagger}b_m

commute with 

\mathcal{H}_f

commute with each other

(quasi-)local 

\(L\) quasi-local integrals of motion

5

Several non-interacting fermions

Slater determinant based on quasi-local wavefunctions

E_m
\mathcal{H}_f = \sum_{m} E_m b_m^{\dagger}b_m
b_m = \sum_{i} \phi_i^{m} c_i

\(\xi(h, E)\)

\mathcal{H}_f = \sum_{i} \frac{J}{2}\left({\color{lightgreen}c_i^{\dagger} c_{i+1}^{\vphantom{\dagger}} + c_{i+1}^{\dagger}c_i^{\vphantom{\dagger}}}\right) -\sum_i{\color{orange}h_i n_i}
|\phi_i^{m}|^2 \lesssim \exp \left( \frac{i-i_0^m}{\xi_m}\right)
|\Psi \rangle = | \left\{\phi_m, m \in {\color{#56B4E9}\mathrm{occ}} \right\}\rangle

COLBOIS | FROM AL TO  MBL |  07.2025

Conserves \(N_f\) 

Several non-interacting fermions

Slater determinant based on quasi-local wavefunctions

E_m
\mathcal{H}_f = \sum_{m} E_m b_m^{\dagger}b_m
b_m = \sum_{i} \phi_i^{m} c_i

\(\xi(h, E)\)

\mathcal{H}_f = \sum_{i} \frac{J}{2}\left({\color{lightgreen}c_i^{\dagger} c_{i+1}^{\vphantom{\dagger}} + c_{i+1}^{\dagger}c_i^{\vphantom{\dagger}}}\right) -\sum_i{\color{orange}h_i n_i}
|\phi_i^{m}|^2 \lesssim \exp \left( \frac{i-i_0^m}{\xi_m}\right)
|\Psi \rangle = | \left\{\phi_m, m \in {\color{#56B4E9}\mathrm{occ}} \right\}\rangle

COLBOIS | FROM AL TO  MBL |  07.2025

in AL in 1D, ALL EigenSTATES ARE LIKE GROUND STATES

Conserves \(N_f\) 

5

6

"Area-law" of entanglement

A

\(\rho_A = \mathrm{Tr}_B | \Psi \rangle \langle \Psi |\)

COLBOIS | FROM AL TO  MBL |  07.2025

\(\{| n_1, n_2, \dots, n_B \rangle \}\)

6

A

\(\rho_A = \mathrm{Tr}_B | \Psi \rangle \langle \Psi |\)

\(\{| n_1, n_2, \dots, n_B \rangle \}\)

COLBOIS | FROM AL TO  MBL |  07.2025

\(S = -\mathrm{Tr} \rho_A \ln \rho_A\)

Von-Neumann EE

"Area-law" of entanglement

6

\(S = -\mathrm{Tr} \rho_A \ln \rho_A\)

A

\(\rho_A = \mathrm{Tr}_B | \Psi \rangle \langle \Psi |\)

Von-Neumann EE

\(\{| n_1, n_2, \dots, n_B \rangle \}\)

Entanglement entropy controlled by the boundary

(exponentially small contribution from the bulk)

|\Psi \rangle = | \left\{\phi_m, m \in {\color{#56B4E9}\mathrm{occ}} \right\}\rangle

COLBOIS | FROM AL TO  MBL |  07.2025

"Area-law" of entanglement

7

Poisson spectral statistics

r_i = \min\left(\frac{s_i}{s_{i-1}}, \frac{s_{i-1}}{s_{i}}\right)
s_i
s_{i-1}

Gap ratio:

\epsilon_m, E_n
E_m

COLBOIS | FROM AL TO  MBL |  07.2025

P. Jacquod, D. L. Shepelyansky, PRL 79, 1837 (1997) [... a lot of works ...]

O. Giraud, N. Macé, E. Vernier, F. Alet, PRX 12, 011006 (2022)

7

Poisson spectral statistics

r_i = \min\left(\frac{s_i}{s_{i-1}}, \frac{s_{i-1}}{s_{i}}\right)
s_i
s_{i-1}

Gap ratio:

\epsilon_m, E_n
E_m

COLBOIS | FROM AL TO  MBL |  07.2025

P. Jacquod, D. L. Shepelyansky, PRL 79, 1837 (1997) [... a lot of works ...]

O. Giraud, N. Macé, E. Vernier, F. Alet, PRX 12, 011006 (2022)

7

r_i = \min\left(\frac{s_i}{s_{i-1}}, \frac{s_{i-1}}{s_{i}}\right)
s_i
s_{i-1}

Gap ratio:

Single-body: 

\(P(r)\)

\(r\)

1. Limit  \(h \gg J\) : \(E_i\) random  \(\rightarrow\) Poisson

\epsilon_m, E_n

COLBOIS | FROM AL TO  MBL |  07.2025

E_m

Poisson spectral statistics

P. Jacquod, D. L. Shepelyansky, PRL 79, 1837 (1997) [... a lot of works ...]

O. Giraud, N. Macé, E. Vernier, F. Alet, PRX 12, 011006 (2022)

7

r_i = \min\left(\frac{s_i}{s_{i-1}}, \frac{s_{i-1}}{s_{i}}\right)
s_i
s_{i-1}

Gap ratio:

Single-body: 

\(P(r)\)

\(r\)

1. Limit  \(h \gg J\) : \(E_i\) random  \(\rightarrow\) Poisson

\epsilon_m, E_n
E_m

COLBOIS | FROM AL TO  MBL |  07.2025

2. Smaller disorder :  \(\rightarrow\) still Poisson

Poisson spectral statistics

P. Jacquod, D. L. Shepelyansky, PRL 79, 1837 (1997) [... a lot of works ...]

O. Giraud, N. Macé, E. Vernier, F. Alet, PRX 12, 011006 (2022)

7

r_i = \min\left(\frac{s_i}{s_{i-1}}, \frac{s_{i-1}}{s_{i}}\right)
s_i
s_{i-1}

Gap ratio:

Single-body: 

Many-body (high in the spectrum)

\(P(r)\)

\(r\)

1. Limit  \(h \gg J\) : \(E_i\) random  \(\rightarrow\) Poisson

2. Smaller disorder :  \(\rightarrow\) still Poisson

\epsilon_m, E_n
E_m

3. Neighbouring \(\mathcal{E}_n\) correspond to very different \(\sum E_m\)

COLBOIS | FROM AL TO  MBL |  07.2025

Poisson spectral statistics

P. Jacquod, D. L. Shepelyansky, PRL 79, 1837 (1997) [... a lot of works ...]

O. Giraud, N. Macé, E. Vernier, F. Alet, PRX 12, 011006 (2022)

7

r_i = \min\left(\frac{s_i}{s_{i-1}}, \frac{s_{i-1}}{s_{i}}\right)
s_i
s_{i-1}

Gap ratio:

Single-body: 

Many-body (high in the spectrum)

\(P(r)\)

\(r\)

1. Limit  \(h \gg J\) : \(E_i\) random  \(\rightarrow\) Poisson

2. Smaller disorder :  \(\rightarrow\) still Poisson

\epsilon_m, E_n
E_m

3. Neighbouring \(\mathcal{E}_n\) correspond to very different \(\sum E_m\)

Neighbouring eigenstates have little in common

COLBOIS | FROM AL TO  MBL |  07.2025

Poisson spectral statistics

8

An old question

Does 1D Anderson localization "survive" interactions?

Attraction / repulsion

\mathcal{P}(h_i)

\(-h\)

\(h\)

\mathcal{H}_f = \sum_{i} \frac{J}{2}\left({\color{lightgreen}c_i^{\dagger} c_{i+1}^{\vphantom{\dagger}} + c_{i+1}^{\dagger}c_i^{\vphantom{\dagger}}}+{\color{cyan}2 \Delta n_i n_{i+1}} \right) -\sum_i{\color{orange}h_i n_i}

at high energy

COLBOIS | FROM AL TO  MBL |  07.2025

8

An old question

Does 1D Anderson localization "survive" interactions?

In the Anderson basis: 

Anderson  orbitals \(m\)

\mathcal{H} = \sum_m E_m b_m^{\dagger} b_m + \sum_{j,k,l,m} {\color{cyan}V_{j,k,l,m} b_j^{\dagger} b_k^{\dagger} b_l b_m}

Attraction / repulsion

\mathcal{P}(h_i)

\(-h\)

\(h\)

\mathcal{H}_f = \sum_{i} \frac{J}{2}\left({\color{lightgreen}c_i^{\dagger} c_{i+1}^{\vphantom{\dagger}} + c_{i+1}^{\dagger}c_i^{\vphantom{\dagger}}}+{\color{cyan}2 \Delta n_i n_{i+1}} \right) -\sum_i{\color{orange}h_i n_i}

at high energy

COLBOIS | FROM AL TO  MBL |  07.2025

8

An old question

Does 1D Anderson localization "survive" interactions?

In the Anderson basis: 

Anderson  orbitals \(m\)

\mathcal{H} = \sum_m E_m b_m^{\dagger} b_m + \sum_{j,k,l,m} {\color{cyan}V_{j,k,l,m} b_j^{\dagger} b_k^{\dagger} b_l b_m}

Attraction / repulsion

\mathcal{P}(h_i)

\(-h\)

\(h\)

\mathcal{H}_f = \sum_{i} \frac{J}{2}\left({\color{lightgreen}c_i^{\dagger} c_{i+1}^{\vphantom{\dagger}} + c_{i+1}^{\dagger}c_i^{\vphantom{\dagger}}}+{\color{cyan}2 \Delta n_i n_{i+1}} \right) -\sum_i{\color{orange}h_i n_i}

at high energy

COLBOIS | FROM AL TO  MBL |  07.2025

Interactions favor delocalization. Do they fully destroy localization?

2. Why we care :

Can isolated quantum systems thermalize ? 

What is (quantum) thermalization ?

COLBOIS | FROM AL TO  MBL |  07.2025

9

Isolated 

many-body system

?

Description with statistical mechanics

Deutsch (1991), Srednicki (1994)

D'Alessio et al (2016) for a review

What is (quantum) thermalization ?

COLBOIS | FROM AL TO  MBL |  07.2025

9

Isolated 

many-body system

?

Description with statistical mechanics

Long-time average of few-body observables

Microcanonical average

Deutsch (1991), Srednicki (1994)

D'Alessio et al (2016) for a review

What is (quantum) thermalization ?

COLBOIS | FROM AL TO  MBL |  07.2025

9

Isolated 

many-body system

?

Description with statistical mechanics

Long-time average of few-body observables

Microcanonical average

Unitary  time evolution

Long-time behavior completely controlled by eigenstates

Deutsch (1991), Srednicki (1994)

D'Alessio et al (2016) for a review

Eigenstate thermalization hypothesis 

COLBOIS | FROM AL TO  MBL |  07.2025

10

A sufficient condition on eigenstates

A_{m,n} = A(\overline{E}) \delta_{m,n} + e^{-S(\overline{E})/2} f_{A}(\overline{E}, \omega) R_{m,n}

Deutsch (1991), Srednicki (1994)

D'Alessio et al (2016) for a review

Eigenstate thermalization hypothesis 

COLBOIS | FROM AL TO  MBL |  07.2025

10

A sufficient condition on eigenstates

A_{m,n} = A(\overline{E}) \delta_{m,n} + e^{-S(\overline{E})/2} f_{A}(\overline{E}, \omega) R_{m,n}
\overline{E} = (E_m + E_n)/2
\omega = (E_m - E_n)

Deutsch (1991), Srednicki (1994)

D'Alessio et al (2016) for a review

Eigenstate thermalization hypothesis 

COLBOIS | FROM AL TO  MBL |  07.2025

10

A sufficient condition on eigenstates

A_{m,n} = A(\overline{E}) \delta_{m,n} + e^{-S(\overline{E})/2} f_{A}(\overline{E}, \omega) R_{m,n}
\overline{E} = (E_m + E_n)/2
\omega = (E_m - E_n)

Smooth function

Equal to microcanonical average

Equilibrium

Deutsch (1991), Srednicki (1994)

D'Alessio et al (2016) for a review

Eigenstate thermalization hypothesis 

COLBOIS | FROM AL TO  MBL |  07.2025

10

A sufficient condition on eigenstates

A_{m,n} = A(\overline{E}) \delta_{m,n} + e^{-S(\overline{E})/2} f_{A}(\overline{E}, \omega) R_{m,n}
\overline{E} = (E_m + E_n)/2
\omega = (E_m - E_n)

Smooth function

Equal to microcanonical average

Entropy

Smooth

Random variable

Approach to equilibrium

Equilibrium

Deutsch (1991), Srednicki (1994)

D'Alessio et al (2016) for a review

Eigenstate thermalization hypothesis 

COLBOIS | FROM AL TO  MBL |  07.2025

10

A sufficient condition on eigenstates

A_{m,n} = A(\overline{E}) \delta_{m,n} + e^{-S(\overline{E})/2} f_{A}(\overline{E}, \omega) R_{m,n}
\overline{E} = (E_m + E_n)/2
\omega = (E_m - E_n)

Smooth function

Equal to microcanonical average

Entropy

Smooth

Random variable

Approach to equilibrium

Equilibrium

Narrow energy window: random matrix theory

Deutsch (1991), Srednicki (1994)

D'Alessio et al (2016) for a review

Eigenstate thermalization hypothesis 

COLBOIS | FROM AL TO  MBL |  07.2025

10

A sufficient condition on eigenstates

A_{m,n} = A(\overline{E}) \delta_{m,n} + e^{-S(\overline{E})/2} f_{A}(\overline{E}, \omega) R_{m,n}
\overline{E} = (E_m + E_n)/2
\omega = (E_m - E_n)

Smooth function

Equal to microcanonical average

Entropy

Smooth

Random variable

Approach to equilibrium

Equilibrium

Eigenstates are thermal (rDM indistinguishable from thermal)

neighbouring eigenstates are similar

Narrow energy window: random matrix theory

Deutsch (1991), Srednicki (1994)

D'Alessio et al (2016) for a review

3. Many-body localization vs thermalization

In a spin chain model

3. Many-body localization vs thermalization

In a spin chain model

2015

2018

2019

2025

3

3

11

From fermions to spins : JorDan-Wigner

\mathcal{P}(h_i)

\(-h\)

\(h\)

\mathcal{H}_f = \sum_{i} \frac{J}{2}\left({\color{lightgreen}c_i^{\dagger} c_{i+1}^{\vphantom{\dagger}} + c_{i+1}^{\dagger}c_i^{\vphantom{\dagger}}}\right) -\sum_i{\color{orange}h_i n_i}

COLBOIS | FROM AL TO  MBL |  07.2025

From fermions to spins : JorDan-Wigner

\mathcal{P}(h_i)

\(-h\)

\(h\)

Attraction / repulsion

\mathcal{H}_f = \sum_{i} \frac{J}{2}\left({\color{lightgreen}c_i^{\dagger} c_{i+1}^{\vphantom{\dagger}} + c_{i+1}^{\dagger}c_i^{\vphantom{\dagger}}}+{\color{cyan}2 \Delta n_i n_{i+1}} \right) -\sum_i{\color{orange}h_i n_i}

3

3

11

COLBOIS | FROM AL TO  MBL |  07.2025

3

3

From fermions to spins : JorDan-Wigner

\mathcal{P}(h_i)

\(-h\)

\(h\)

Attraction / repulsion

\mathcal{H}_f = \sum_{i} \frac{J}{2}\left({\color{lightgreen}c_i^{\dagger} c_{i+1}^{\vphantom{\dagger}} + c_{i+1}^{\dagger}c_i^{\vphantom{\dagger}}}+{\color{cyan}2 \Delta n_i n_{i+1}} \right) -\sum_i{\color{orange}h_i n_i}

Jordan-Wigner

non-local transformation

P. Jordan and E. Wigner,  Z. Physik 47, 631–651 (1928)

3

3

11

COLBOIS | FROM AL TO  MBL |  07.2025

From fermions to spins : JorDan-Wigner

\mathcal{P}(h_i)

\(-h\)

\(h\)

Attraction / repulsion

\mathcal{H}_f = \sum_{i} \frac{J}{2}\left({\color{lightgreen}c_i^{\dagger} c_{i+1}^{\vphantom{\dagger}} + c_{i+1}^{\dagger}c_i^{\vphantom{\dagger}}}+{\color{cyan}2 \Delta n_i n_{i+1}} \right) -\sum_i{\color{orange}h_i n_i}

Jordan-Wigner

\(n_i = S_i^z + 1/2\)

\(c_i = \exp(i \pi \sum_{j=1}^{i-1} n_j) S_i^{-}\)

non-local transformation

\mathcal{H} = \sum_{i} \frac{J}{2}\left({\color{lightgreen}S_i^{+} S_{i+1}^{-} + S_i^{-} S_{i+1}^{+}} + \dots \right)
S^{x,y,z} = \frac{1}{2} \sigma^{x,y,z}

Spin-flip

P. Jordan and E. Wigner,  Z. Physik 47, 631–651 (1928)

3

3

11

COLBOIS | FROM AL TO  MBL |  07.2025

From fermions to spins : JorDan-Wigner

\mathcal{P}(h_i)

\(-h\)

\(h\)

Attraction / repulsion

\mathcal{H}_f = \sum_{i} \frac{J}{2}\left({\color{lightgreen}c_i^{\dagger} c_{i+1}^{\vphantom{\dagger}} + c_{i+1}^{\dagger}c_i^{\vphantom{\dagger}}}+{\color{cyan}2 \Delta n_i n_{i+1}} \right) -\sum_i{\color{orange}h_i n_i}

Jordan-Wigner

non-local transformation

\mathcal{H} = \sum_{i} \frac{J}{2}\left({\color{lightgreen}S_i^{+} S_{i+1}^{-} + S_i^{-} S_{i+1}^{+}} + {\color{cyan} 2\Delta S_i^z S_{i+1}^z}\right) - \dots

ISING INTERACTION

S^{x,y,z} = \frac{1}{2} \sigma^{x,y,z}

Spin-flip

P. Jordan and E. Wigner,  Z. Physik 47, 631–651 (1928)

\(n_i = S_i^z + 1/2\)

\(c_i = \exp(i \pi \sum_{j=1}^{i-1} n_j) S_i^{-}\)

3

3

11

COLBOIS | FROM AL TO  MBL |  07.2025

From fermions to spins : JorDan-Wigner

\mathcal{P}(h_i)

\(-h\)

\(h\)

Attraction / repulsion

\mathcal{H}_f = \sum_{i} \frac{J}{2}\left({\color{lightgreen}c_i^{\dagger} c_{i+1}^{\vphantom{\dagger}} + c_{i+1}^{\dagger}c_i^{\vphantom{\dagger}}}+{\color{cyan}2 \Delta n_i n_{i+1}} \right) -\sum_i{\color{orange}h_i n_i}

Jordan-Wigner

non-local transformation

\mathcal{H} = \sum_{i} \frac{J}{2}\left({\color{lightgreen}S_i^{+} S_{i+1}^{-} + S_i^{-} S_{i+1}^{+}} + {\color{cyan} 2\Delta S_i^z S_{i+1}^z}\right) - \sum_{i} {\color{orange} h_i S_i^z}

ISING INTERACTION

S^{x,y,z} = \frac{1}{2} \sigma^{x,y,z}

Spin-flip

P. Jordan and E. Wigner,  Z. Physik 47, 631–651 (1928)

\(n_i = S_i^z + 1/2\)

\(c_i = \exp(i \pi \sum_{j=1}^{i-1} n_j) S_i^{-}\)

3

3

11

COLBOIS | FROM AL TO  MBL |  07.2025

From fermions to spins : JorDan-Wigner

\mathcal{P}(h_i)

\(-h\)

\(h\)

Attraction / repulsion

\mathcal{H}_f = \sum_{i} \frac{J}{2}\left({\color{lightgreen}c_i^{\dagger} c_{i+1}^{\vphantom{\dagger}} + c_{i+1}^{\dagger}c_i^{\vphantom{\dagger}}}+{\color{cyan}2 \Delta n_i n_{i+1}} \right) -\sum_i{\color{orange}h_i n_i}

Jordan-Wigner

non-local transformation

\mathcal{H} = \sum_{i} \frac{J}{2}\left({\color{lightgreen}S_i^{+} S_{i+1}^{-} + S_i^{-} S_{i+1}^{+}} + {\color{cyan} 2\Delta S_i^z S_{i+1}^z}\right) - \sum_{i} {\color{orange} h_i S_i^z}

ISING INTERACTION

S^{x,y,z} = \frac{1}{2} \sigma^{x,y,z}

Spin-flip

P. Jordan and E. Wigner,  Z. Physik 47, 631–651 (1928)

\(n_i = S_i^z + 1/2\)

\(c_i = \exp(i \pi \sum_{j=1}^{i-1} n_j) S_i^{-}\)

3

3

11

\(L/2\) fermions

Charge is conserved

\(\sum_i S_i^{z} = 0\)

Magnetization is conserved

COLBOIS | FROM AL TO  MBL |  07.2025

\mathcal{H} = \sum_{i} \frac{J}{2}\left({\color{lightgreen}S_i^{+} S_{i+1}^{-} + S_i^{-} S_{i+1}^{+}} + {\color{cyan} 2\Delta S_i^z S_{i+1}^z}\right) - \sum_{i} {\color{orange} h_i S_i^z}

ISING INTERACTION

Is 1D AL Preserved under interactions (in spin chains) ?

Spin-flip

3

3

12

COLBOIS | FROM AL TO  MBL |  07.2025

\mathcal{H} = \sum_{i} \frac{J}{2}\left({\color{lightgreen}S_i^{+} S_{i+1}^{-} + S_i^{-} S_{i+1}^{+}} + {\color{cyan} 2\Delta S_i^z S_{i+1}^z}\right) - \sum_{i} {\color{orange} h_i S_i^z}

ISING INTERACTION

Is 1D AL Preserved under interactions (in spin chains) ?

Spin-flip

\(\epsilon = 1\)

\(\epsilon = 0\)

Ground state, \(\epsilon = 0\)

Ising interaction \(\Delta\)

Localized

Delocalized

disorder \(h \)

Giamarchi & Schulz EPL 3 (1987); PRB 37, (1988);  

Ristivojevic, et al PRL 109, (2012);

Doggen et al, PRB 96,  (2017);

Lin et al, Scipost Phys 4 (2019)

3

3

12

COLBOIS | FROM AL TO  MBL |  07.2025

\mathcal{H} = \sum_{i} \frac{J}{2}\left({\color{lightgreen}S_i^{+} S_{i+1}^{-} + S_i^{-} S_{i+1}^{+}} + {\color{cyan} 2\Delta S_i^z S_{i+1}^z}\right) - \sum_{i} {\color{orange} h_i S_i^z}

ISING INTERACTION

Is 1D AL Preserved under interactions (in spin chains) ?

Spin-flip

\(\epsilon = 1\)

\(\epsilon = 0\)

Ground state, \(\epsilon = 0\)

Ising interaction \(\Delta\)

Localized

Delocalized

disorder \(h \)

Giamarchi & Schulz EPL 3 (1987); PRB 37, (1988);  

Ristivojevic, et al PRL 109, (2012);

Doggen et al, PRB 96,  (2017);

Lin et al, Scipost Phys 4 (2019)

3

3

12

COLBOIS | FROM AL TO  MBL |  07.2025

Counter example for thermalization of isolated quantum systems

\mathcal{H} = \sum_{i} \frac{J}{2}\left({\color{lightgreen}S_i^{+} S_{i+1}^{-} + S_i^{-} S_{i+1}^{+}} + {\color{cyan} 2\Delta S_i^z S_{i+1}^z}\right) - \sum_{i} {\color{orange} h_i S_i^z}

ISING INTERACTION

Is 1D AL Preserved under interactions (in spin chains) ?

Spin-flip

\(\epsilon = 1\)

\(\epsilon = 0\)

Ground state, \(\epsilon = 0\)

Ising interaction \(\Delta\)

Localized

Delocalized

disorder \(h \)

Giamarchi & Schulz EPL 3 (1987); PRB 37, (1988);  

Ristivojevic, et al PRL 109, (2012);

Doggen et al, PRB 96,  (2017);

Lin et al, Scipost Phys 4 (2019)

Counter example for thermalization of isolated quantum systems

Polynomial \(\rightarrow\) Exponential

Absence of translation invariance

No typicality methods

No ground-state methods

3

3

12

COLBOIS | FROM AL TO  MBL |  07.2025

\(\epsilon = 1\)

\mathcal{H} = \sum_{i} \frac{J}{2}\left({\color{lightgreen}S_i^{+} S_{i+1}^{-} + S_i^{-} S_{i+1}^{+}} + {\color{cyan} 2\Delta S_i^z S_{i+1}^z}\right) - \sum_{i} {\color{orange} h_i S_i^z}

ISING INTERACTION

Is 1D AL Preserved under interactions (in spin chains) ?

Spin-flip

\(\epsilon = 1\)

\(\epsilon = 0\)

Ground state, \(\epsilon = 0\)

Ising interaction \(\Delta\)

Localized

Delocalized

disorder \(h \)

Giamarchi & Schulz EPL 3 (1987); PRB 37, (1988);  

Ristivojevic, et al PRL 109, (2012);

Doggen et al, PRB 96,  (2017);

Lin et al, Scipost Phys 4 (2019)

Counter example for thermalization of isolated quantum systems

Polynomial \(\rightarrow\) Exponential

Absence of translation invariance

No typicality methods

No ground-state methods

Expectation:

interactions delocalize

3

3

13

COLBOIS | FROM AL TO  MBL |  07.2025

\mathcal{H} = \sum_{i} \frac{J}{2}\left({\color{lightgreen}S_i^{+} S_{i+1}^{-} + S_i^{-} S_{i+1}^{+}} + {\color{cyan} 2\Delta S_i^z S_{i+1}^z}\right) - \sum_{i} {\color{orange} h_i S_i^z}

ISING INTERACTION

Is 1D AL Preserved under interactions (in spin chains) ?

Spin-flip

\(\epsilon = 1\)

\(\epsilon = 0\)

Ground state, \(\epsilon = 0\)

Ising interaction \(\Delta\)

Localized

Delocalized

disorder \(h \)

Giamarchi & Schulz EPL 3 (1987); PRB 37, (1988);  

Ristivojevic, et al PRL 109, (2012);

Doggen et al, PRB 96,  (2017);

Lin et al, Scipost Phys 4 (2019)

Counter example for thermalization of isolated quantum systems

High energy, \( \epsilon = 0.5\)

Ising interaction \(\Delta\)

Delocalized

Delocalized

disorder \(h \)

  MBL

  MBL

.... and a whole field! ....

Fleischman, Anderson, (1980);  Altschuler, et al  (1997); Gornyi et al (2005); Basko et al  (2006); Zidnarick et al (2008);  Aleiner et al (2010);  Pal and Huse (2010); Luitz et al (2015) [....]

Localization can survive!

3

3

13

COLBOIS | FROM AL TO  MBL |  07.2025

\mathcal{H} = \sum_{i} \frac{J}{2}\left({\color{lightgreen}S_i^{+} S_{i+1}^{-} + S_i^{-} S_{i+1}^{+}} + {\color{cyan} 2\Delta S_i^z S_{i+1}^z}\right) - \sum_{i} {\color{orange} h_i S_i^z}

ISING INTERACTION

Is 1D AL Preserved under interactions (in spin chains) ?

Spin-flip

\(\epsilon = 1\)

\(\epsilon = 0\)

Ground state, \(\epsilon = 0\)

Ising interaction \(\Delta\)

Localized

Delocalized

disorder \(h \)

Giamarchi & Schulz EPL 3 (1987); PRB 37, (1988);  

Ristivojevic, et al PRL 109, (2012);

Doggen et al, PRB 96,  (2017);

Lin et al, Scipost Phys 4 (2019)

Counter example for thermalization of isolated quantum systems

High energy, \( \epsilon = 0.5\)

Ising interaction \(\Delta\)

Delocalized

Delocalized

disorder \(h \)

  MBL

  MBL

.... and a whole field! ....

Fleischman, Anderson, (1980);  Altschuler, et al  (1997); Gornyi et al (2005); Basko et al  (2006); Zidnarick et al (2008);  Aleiner et al (2010);  Pal and Huse (2010); Luitz et al (2015) [....]

Localization can survive!

?

3

3

13

COLBOIS | FROM AL TO  MBL |  07.2025

From thermalization to many-body localization

Disorder

\(\Delta > 0\)

3

3

14

COLBOIS | FROM AL TO  MBL |  07.2025

From thermalization to many-body localization

Disorder

\(\Delta > 0\)

Ergodic delocalized

3

3

14

COLBOIS | FROM AL TO  MBL |  07.2025

From thermalization to many-body localization

Disorder

\(\Delta > 0\)

Ergodic delocalized

Many-body localized

3

3

14

COLBOIS | FROM AL TO  MBL |  07.2025

From thermalization to many-body localization

Ergodic delocalized

Many-body localized

Spectral statistics

r_i = \min\left(\frac{s_i}{s_{i-1}}, \frac{s_{i-1}}{s_{i}}\right)
s_i
s_{i-1}

P. Jacquod, D. L. Shepelyansky, PRL 79, 1837 (1997) [... a lot of works ...]

O. Giraud, N. Macé, E. Vernier, F. Alet, PRX 12, 011006 (2022)

Disorder

\(\Delta > 0\)

3

3

14

COLBOIS | FROM AL TO  MBL |  07.2025

From thermalization to many-body localization

Many-body localized

Spectral statistics

r_i = \min\left(\frac{s_i}{s_{i-1}}, \frac{s_{i-1}}{s_{i}}\right)
s_i
s_{i-1}

P. Jacquod, D. L. Shepelyansky, PRL 79, 1837 (1997) [... a lot of works ...]

O. Giraud, N. Macé, E. Vernier, F. Alet, PRX 12, 011006 (2022)

Disorder

\(\Delta > 0\)

\(r\)

\(P(r)\)

GOE = Ergodic

3

3

14

COLBOIS | FROM AL TO  MBL |  07.2025

Ergodic delocalized

Text

Random matrix theory

From thermalization to many-body localization

Many-body localized

Spectral statistics

r_i = \min\left(\frac{s_i}{s_{i-1}}, \frac{s_{i-1}}{s_{i}}\right)
s_i
s_{i-1}

P. Jacquod, D. L. Shepelyansky, PRL 79, 1837 (1997) [... a lot of works ...]

O. Giraud, N. Macé, E. Vernier, F. Alet, PRX 12, 011006 (2022)

Disorder

\(\Delta > 0\)

GOE = Ergodic

\(r\)

\(P(r)\)

\(P(r)\)

Poisson = localized

3

3

14

COLBOIS | FROM AL TO  MBL |  07.2025

Ergodic delocalized

Random matrix theory

From thermalization to many-body localization

Many-body localized

Disorder

\(\Delta > 0\)

Entanglement entropy

A

\(r\)

\(P(r)\)

\(P(r)\)

Khemani et al, PRX 7 (2017)

Disorder \(h\)

3

3

15

COLBOIS | FROM AL TO  MBL |  07.2025

Ergodic delocalized

From thermalization to many-body localization

Many-body localized

Disorder

\(\Delta > 0\)

Entanglement entropy

A

\(r\)

\(P(r)\)

\(P(r)\)

Volume-law at weak disorder

Khemani et al, PRX 7 (2017)

Disorder \(h\)

\(L/2\)

\(S/L\)

\(S_T =  (L-\log_2(e))/2\)

3

3

15

COLBOIS | FROM AL TO  MBL |  07.2025

Ergodic delocalized

Eigenstates are thermal

From thermalization to many-body localization

Many-body localized

Disorder

\(\Delta > 0\)

Entanglement entropy

A

\(r\)

\(P(r)\)

\(P(r)\)

Area-law at strong disorder

Volume-law at weak disorder

Khemani et al, PRX 7 (2017)

Disorder \(h\)

\(L/2\)

\(S/L\)

\(S_T =  (L-\log_2(e))/2\)

3

3

15

\(L/2\)

\(S/L\)

COLBOIS | FROM AL TO  MBL |  07.2025

Ergodic delocalized

Eigenstates are thermal

3

3

16

is MBL different from AL ?

Initial \(S^z\) basis random product state

+

time evolution \(h = 5\)

COLBOIS | FROM AL TO  MBL |  07.2025

3

3

16

is MBL different from AL ?

Initial \(S^z\) basis random product state

+

time evolution \(h = 5\)

COLBOIS | FROM AL TO  MBL |  07.2025

J. H. Bardarson, F. Pollmann, and J. E. Moore, PRL 109, 017202 (2012)

M. Znidaric, T. Prosen, and P. Prelovsek PRB 77, 064426 (2008)

3

3

16

is MBL different from AL ?

Anderson

No growth

of entanglement

J. H. Bardarson, F. Pollmann, and J. E. Moore, PRL 109, 017202 (2012)

M. Znidaric, T. Prosen, and P. Prelovsek PRB 77, 064426 (2008)

Initial \(S^z\) basis random product state

+

time evolution \(h = 5\)

COLBOIS | FROM AL TO  MBL |  07.2025

3

3

16

is MBL different from AL ?

Anderson

No growth

of entanglement

J. H. Bardarson, F. Pollmann, and J. E. Moore, PRL 109, 017202 (2012)

M. Znidaric, T. Prosen, and P. Prelovsek PRB 77, 064426 (2008)

MBL

Log growth

of entanglement

Initial \(S^z\) basis random product state

+

time evolution \(h = 5\)

COLBOIS | FROM AL TO  MBL |  07.2025

PhenomenoloGY : Emergent integrability

COLBOIS | FROM AL TO  MBL |  07.2025

3

3

17

AL : L quasilocal conserved quantities

Serbyn, Papic, Abanin (2013) ; Bauer, Nayak (2014) ; Huse, Nandkishore, Oganesyan (2014)

Reviews : Imbrie, Ros, Scardicchio (2017) Rademarker, Ortuno, Somoza (2017)

 

  • \(L\) commuting operators, commuting with \(\mathcal{H}\)
  • quasi-local

PhenomenoloGY : Emergent integrability

Interacting model

COLBOIS | FROM AL TO  MBL |  07.2025

3

3

17

AL : L quasilocal conserved quantities

Serbyn, Papic, Abanin (2013) ; Bauer, Nayak (2014) ; Huse, Nandkishore, Oganesyan (2014)

Reviews : Imbrie, Ros, Scardicchio (2017) Rademarker, Ortuno, Somoza (2017)

 

  • \(L\) commuting operators, commuting with \(\mathcal{H}\)
  • quasi-local

PhenomenoloGY : Emergent integrability

Interacting model

COLBOIS | FROM AL TO  MBL |  07.2025

3

3

17

\mathcal{H} = \sum_{i} \tilde{h}_i \tau_i^{z} + \sum_{i>j} J_{ij} \tau_i^{z} \tau_j^{z} + \sum_{i>j>k} J_{ijk}\tau_i^{z}\tau_j^{z}\tau_k^{z} + ...

AL : L quasilocal conserved quantities

Serbyn, Papic, Abanin (2013) ; Bauer, Nayak (2014) ; Huse, Nandkishore, Oganesyan (2014)

Reviews : Imbrie, Ros, Scardicchio (2017) Rademarker, Ortuno, Somoza (2017)

\mathcal{H} = \sum_{i} \tilde{h}_i \tau_i^{z} + \sum_{i>j} J_{ij} \tau_i^{z} \tau_j^{z} + \sum_{i>j>k} J_{ijk}\tau_i^{z}\tau_j^{z}\tau_k^{z} + ...

 

  • \(L\) commuting operators, commuting with \(\mathcal{H}\)
  • quasi-local

When MBL : \(J_{i,...,j} \propto e^{-\frac{-|i-j|}{\zeta}}\)

PhenomenoloGY : Emergent integrability

Interacting model

COLBOIS | FROM AL TO  MBL |  07.2025

3

3

17

AL : L quasilocal conserved quantities

Serbyn, Papic, Abanin (2013) ; Bauer, Nayak (2014) ; Huse, Nandkishore, Oganesyan (2014)

Reviews : Imbrie, Ros, Scardicchio (2017) Rademarker, Ortuno, Somoza (2017)

\mathcal{H} = \sum_{i} \tilde{h}_i \tau_i^{z} + \sum_{i>j} J_{ij} \tau_i^{z} \tau_j^{z} + \sum_{i>j>k} J_{ijk}\tau_i^{z}\tau_j^{z}\tau_k^{z} + ...

 

  • \(L\) commuting operators, commuting with \(\mathcal{H}\)
  • quasi-local

When MBL : \(J_{i,...,j} \propto e^{-\frac{-|i-j|}{\zeta}}\)

PhenomenoloGY : Emergent integrability

Interacting model

COLBOIS | FROM AL TO  MBL |  07.2025

3

3

17

AL : L quasilocal conserved quantities

Serbyn, Papic, Abanin (2013) ; Bauer, Nayak (2014) ; Huse, Nandkishore, Oganesyan (2014)

Reviews : Imbrie, Ros, Scardicchio (2017) Rademarker, Ortuno, Somoza (2017)

- out of equilibrium dynamics

M. Schreiber et al. Science (2015)

\mathcal{H} = \sum_{i} \tilde{h}_i \tau_i^{z} + \sum_{i>j} J_{ij} \tau_i^{z} \tau_j^{z} + \sum_{i>j>k} J_{ijk}\tau_i^{z}\tau_j^{z}\tau_k^{z} + ...

 

  • \(L\) commuting operators, commuting with \(\mathcal{H}\)
  • quasi-local

When MBL : \(J_{i,...,j} \propto e^{-\frac{-|i-j|}{\zeta}}\)

PhenomenoloGY : Emergent integrability

Interacting model

COLBOIS | FROM AL TO  MBL |  07.2025

3

3

17

AL : L quasilocal conserved quantities

Serbyn, Papic, Abanin (2013) ; Bauer, Nayak (2014) ; Huse, Nandkishore, Oganesyan (2014)

Reviews : Imbrie, Ros, Scardicchio (2017) Rademarker, Ortuno, Somoza (2017)

- out of equilibrium dynamics

M. Schreiber et al. Science (2015)

\mathcal{H} = \sum_{i} \tilde{h}_i \tau_i^{z} + \sum_{i>j} J_{ij} \tau_i^{z} \tau_j^{z} + \sum_{i>j>k} J_{ijk}\tau_i^{z}\tau_j^{z}\tau_k^{z} + ...

 

  • \(L\) commuting operators, commuting with \(\mathcal{H}\)
  • quasi-local

When MBL : \(J_{i,...,j} \propto e^{-\frac{-|i-j|}{\zeta}}\)

PhenomenoloGY : Emergent integrability

Interacting model

COLBOIS | FROM AL TO  MBL |  07.2025

3

3

17

- log-growth of EE

J. H. Bardarson et al, PRL 109, 017202 (2012)

M. Znidaric et al PRB 77, 064426 (2008)

AL : L quasilocal conserved quantities

Serbyn, Papic, Abanin (2013) ; Bauer, Nayak (2014) ; Huse, Nandkishore, Oganesyan (2014)

Reviews : Imbrie, Ros, Scardicchio (2017) Rademarker, Ortuno, Somoza (2017)

- out of equilibrium dynamics

M. Schreiber et al. Science (2015)

- log-growth of EE

J. H. Bardarson et al, PRL 109, 017202 (2012)

M. Znidaric et al PRB 77, 064426 (2008)

- analytical arguments / proof(s)

- Basko, Aleiner, Altschuler (2006), Ros, Müller (2017), Crowley, Chandran (2022),

- Imbrie (2016), ...

\mathcal{H} = \sum_{i} \tilde{h}_i \tau_i^{z} + \sum_{i>j} J_{ij} \tau_i^{z} \tau_j^{z} + \sum_{i>j>k} J_{ijk}\tau_i^{z}\tau_j^{z}\tau_k^{z} + ...

 

  • \(L\) commuting operators, commuting with \(\mathcal{H}\)
  • quasi-local

When MBL : \(J_{i,...,j} \propto e^{-\frac{-|i-j|}{\zeta}}\)

PhenomenoloGY : Emergent integrability

Interacting model

COLBOIS | FROM AL TO  MBL |  07.2025

3

3

17

AL : L quasilocal conserved quantities

Serbyn, Papic, Abanin (2013) ; Bauer, Nayak (2014) ; Huse, Nandkishore, Oganesyan (2014)

Reviews : Imbrie, Ros, Scardicchio (2017) Rademarker, Ortuno, Somoza (2017)

- out of equilibrium dynamics

M. Schreiber et al. Science (2015)

- log-growth of EE

J. H. Bardarson et al, PRL 109, 017202 (2012)

M. Znidaric et al PRB 77, 064426 (2008)

- analytical arguments / proof(s)

mechanism behind the transition ? 

- Basko, Aleiner, Altschuler (2006), Ros, Müller (2017), Crowley, Chandran (2022),

- Imbrie (2016), ...

\mathcal{H} = \sum_{i} \tilde{h}_i \tau_i^{z} + \sum_{i>j} J_{ij} \tau_i^{z} \tau_j^{z} + \sum_{i>j>k} J_{ijk}\tau_i^{z}\tau_j^{z}\tau_k^{z} + ...

 

  • \(L\) commuting operators, commuting with \(\mathcal{H}\)
  • quasi-local

When MBL : \(J_{i,...,j} \propto e^{-\frac{-|i-j|}{\zeta}}\)

PhenomenoloGY : Emergent integrability

Interacting model

COLBOIS | FROM AL TO  MBL |  07.2025

3

3

17

AL : L quasilocal conserved quantities

As of 2016

4. MBL "Crisis"

Strong finite-size effects

Ultraslow dynamics

Theory of instabilities

Suntajs  et al, PRE (2020)

Suntajs  et al, PRB (2020)

Panda et al EPL (2019)

Abanin et al (2021)

Sels, Polkovnikov (2021)

LeBlond et al (2021)

Sierant & Zakrewski PRB (2022)

Morningstar et al (2022)

Evers, Modak, Bera (2023)

Long et al (2023)

Ha et al (2023)

Weisse, Gerstner, Sierker (2024)

...

4. MBL "Crisis"

Strong finite-size effects

Ultraslow dynamics

Theory of instabilities

2025

Suntajs  et al, PRE (2020)

Suntajs  et al, PRB (2020)

Panda et al EPL (2019)

Abanin et al (2021)

Sels, Polkovnikov (2021)

LeBlond et al (2021)

Sierant & Zakrewski PRB (2022)

Morningstar et al (2022)

Evers, Modak, Bera (2023)

Long et al (2023)

Ha et al (2023)

Weisse, Gerstner, Sierker (2024)

...

4. MBL "Crisis"

Strong finite-size effects

Ultraslow dynamics

Theory of instabilities

2025

Suntajs  et al, PRE (2020)

Suntajs  et al, PRB (2020)

Panda et al EPL (2019)

Abanin et al (2021)

Sels, Polkovnikov (2021)

LeBlond et al (2021)

Sierant & Zakrewski PRB (2022)

Morningstar et al (2022)

Evers, Modak, Bera (2023)

Long et al (2023)

Ha et al (2023)

Weisse, Gerstner, Sierker (2024)

...

4. MBL "Crisis"

Strong finite-size effects

Ultraslow dynamics

Theory of instabilities

2025

Suntajs  et al, PRE (2020)

Suntajs  et al, PRB (2020)

Panda et al EPL (2019)

Abanin et al (2021)

Sels, Polkovnikov (2021)

LeBlond et al (2021)

Sierant & Zakrewski PRB (2022)

Morningstar et al (2022)

Evers, Modak, Bera (2023)

Long et al (2023)

Ha et al (2023)

Weisse, Gerstner, Sierker (2024)

...

4. MBL "Crisis"

Some examples of Strong finite-size effects

3

3

17

COLBOIS | FROM AL TO  MBL |  07.2025

Some examples of Strong finite-size effects

Gap Ratio

Challenging finite-size scaling

\(h/L\)

\(h\)

Suntajs et al (2020)

(arXiv v1-v2)

3

3

18

COLBOIS | FROM AL TO  MBL |  07.2025

Some examples of Strong finite-size effects

Gap Ratio

Sierant, Lewenstein, Zakrewski PRL (2020)

Suntajs et al (2020)

(arXiv v1-v2)

Challenging finite-size scaling

Disorder \(h\)

Disorder \(h\)

\(h/L\)

\(h\)

3

3

18

COLBOIS | FROM AL TO  MBL |  07.2025

Some examples of Strong finite-size effects

Gap Ratio

Sierant, Lewenstein, Zakrewski PRL (2020)

Challenging finite-size scaling

Disorder \(h\)

Disorder \(h\)

\(h/L\)

\(h\)

Entanglement entropy

& other probes

JC, F. Alet, N. Laflorencie, PRL (2024)

Suntajs et al (2020)

(arXiv v1-v2)

3

3

18

COLBOIS | FROM AL TO  MBL |  07.2025

\(L \rightarrow \infty\)

Kiefer-Emmanouilidis et al (2020), Suntajs et al (2020), Sels, Polkovnikov (2021), Wiesse et al (2024),...

Evers et al (2023),Long (2023)...

JC, Alet, Laflorencie (2024), Laflorencie et al (2025)

Sierant et al(2020), Morningstar et al, (2022) ,  Crowley, Chandran (2022), Szoldra et al (2024), Nieda et al (2024), Scoquart et al (2025)....

Weiner et al (2019), Sierant, Zakrewski (2022),

Biroli et al (2024)

3

3

19

Absence of MBL phase

Single transition from ergodic to MBL (potentially very large \(h_c\))

Intermediate phase (nature differs depending on the paper)

h

h

h

Phase diagram(s) and instabilities

COLBOIS | FROM AL TO  MBL |  07.2025

\(L \rightarrow \infty\)

Kiefer-Emmanouilidis et al (2020), Suntajs et al (2020), Sels, Polkovnikov (2021), Wiesse et al (2024),...

Evers et al (2023),Long (2023)...

JC, Alet, Laflorencie (2024), Laflorencie et al (2025)

Sierant et al(2020), Morningstar et al, (2022) ,  Crowley, Chandran (2022), Szoldra et al (2024), Nieda et al (2024), Scoquart et al (2025)....

Weiner et al (2019), Sierant, Zakrewski (2022),

Biroli et al (2024)

Morningstar et al, PRB 105 (2022)

Absence of MBL phase

Single transition from ergodic to MBL (potentially very large \(h_c\))

Intermediate phase (nature differs depending on the paper)

h

h

h

3

3

19

Phase diagram(s) and instabilities

COLBOIS | FROM AL TO  MBL |  07.2025

\(L \rightarrow \infty\)

Kiefer-Emmanouilidis et al (2020), Suntajs et al (2020), Sels, Polkovnikov (2021), Wiesse et al (2024),...

Evers et al (2023),Long (2023)...

JC, Alet, Laflorencie (2024), Laflorencie et al (2025)

Sierant et al(2020), Morningstar et al, (2022) ,  Crowley, Chandran (2022), Szoldra et al (2024), Nieda et al (2024), Scoquart et al (2025)....

Weiner et al (2019), Sierant, Zakrewski (2022),

Biroli et al (2024)

Morningstar et al, PRB 105 (2022)

avalanche instability

De Roeck & Huveneers (2017), Luitz, De Roeck & Huveneers (2017),

Thiery et al (2018); Crowley and Chandran (2020), Crowley and Chandran (2022)

Small ergodic region triggers runaway delocalization

Absence of MBL phase

Single transition from ergodic to MBL (potentially very large \(h_c\))

Intermediate phase (nature differs depending on the paper)

h

h

h

Phase diagram(s) and instabilities

3

3

19

COLBOIS | FROM AL TO  MBL |  07.2025

\(L \rightarrow \infty\)

Kiefer-Emmanouilidis et al (2020), Suntajs et al (2020), Sels, Polkovnikov (2021), Wiesse et al (2024),...

Evers et al (2023),Long (2023)...

JC, Alet, Laflorencie (2024), Laflorencie et al (2025)

Sierant et al(2020), Morningstar et al, (2022) ,  Crowley, Chandran (2022), Szoldra et al (2024), Nieda et al (2024), Scoquart et al (2025)....

Weiner et al (2019), Sierant, Zakrewski (2022),

Biroli et al (2024)

Morningstar et al, PRB 105 (2022)

many-body resonances

Gopalakrishnan et al (2015)

Villalonga and Clark (2020)

Garratt et al (2021)

Crowley and Chandran (2022)

Morningstar et al (2022)

MBL is destabilized by resonances between localized eigenstates finite-size crossover

avalanche instability

Absence of MBL phase

Single transition from ergodic to MBL (potentially very large \(h_c\))

Intermediate phase (nature differs depending on the paper)

h

h

h

Phase diagram(s) and instabilities

3

3

19

COLBOIS | FROM AL TO  MBL |  07.2025

\(L \rightarrow \infty\)

Kiefer-Emmanouilidis et al (2020), Suntajs et al (2020), Sels, Polkovnikov (2021), Wiesse et al (2024),...

Evers et al (2023),Long (2023)...

JC, Alet, Laflorencie (2024), Laflorencie et al (2025)

Sierant et al(2020), Morningstar et al, (2022) ,  Crowley, Chandran (2022), Szoldra et al (2024), Nieda et al (2024), Scoquart et al (2025)....

Weiner et al (2019), Sierant, Zakrewski (2022),

Biroli et al (2024)

Morningstar et al, PRB 105 (2022)

avalanche instability

gap ratio

and minimum gap

Absence of MBL phase

Single transition from ergodic to MBL (potentially very large \(h_c\))

Intermediate phase (nature differs depending on the paper)

h

h

h

Phase diagram(s) and instabilities

3

3

19

many-body resonances

COLBOIS | FROM AL TO  MBL |  07.2025

\(L \rightarrow \infty\)

Kiefer-Emmanouilidis et al (2020), Suntajs et al (2020), Sels, Polkovnikov (2021), Wiesse et al (2024),...

Evers et al (2023),Long (2023)...

JC, Alet, Laflorencie (2024), Laflorencie et al (2025)

Sierant et al(2020), Morningstar et al, (2022) ,  Crowley, Chandran (2022), Szoldra et al (2024), Nieda et al (2024), Scoquart et al (2025)....

Weiner et al (2019), Sierant, Zakrewski (2022),

Biroli et al (2024)

See Nicolas' talk for a discussion

Morningstar et al, PRB 105 (2022)

avalanche instability

3

3

8

many-body resonances

Rest of the talk :

one or Two short stories motivated by these instabilities

Absence of MBL phase

Single transition from ergodic to MBL (potentially very large \(h_c\))

Intermediate phase (nature differs depending on the paper)

h

h

h

Phase diagram(s) and instabilities

3

3

19

COLBOIS | FROM AL TO  MBL |  07.2025

Avalanches

Resonances

Avalanches

Anderson localization has an ergodic instability at weak disorder

JC, F. Alet, N. Laflorencie, PRL 133, 116502 (2024)

Resonances

Avalanches

Anderson localization has an ergodic instability at weak disorder

Resonances

We find long-range cat states deep in the MBL regime

JC, F. Alet, N. Laflorencie, PRL 133, 116502 (2024)

JC, F. Alet, N. Laflorencie, PRB  (2024)

N. Laflorencie, JC, F. Alet, arXiv (2025)

?

Anderson insulator

disorder \(h \)

Ising interaction \(\Delta\)

Ergodic 

Many-body localized

?

?

?

5. An avalanche short story:

Stepping away from Strong interactions

Anderson insulator

disorder \(h \)

Ising interaction \(\Delta\)

Ergodic 

Many-body localized

?

5. An avalanche short story:

Stepping away from Strong interactions

 \(n_0\)

Runaway instability induced by rare regions of weak disorder

De Roeck & Huveneers (2017), Luitz, De Roeck & Huveneers (2017),

Thiery et al (2018); Crowley and Chandran (2020), Crowley and Chandran (2022)

Adapted from Szoldra et at (2024)

Avalanche Argument

3

3

20

COLBOIS | FROM AL TO  MBL |  07.2025

 \(n_0\)

Runaway instability induced by rare regions of weak disorder

De Roeck & Huveneers (2017), Luitz, De Roeck & Huveneers (2017),

Thiery et al (2018); Crowley and Chandran (2020), Crowley and Chandran (2022)

Adapted from Szoldra et at (2024)

Avalanche Argument

3

3

20

COLBOIS | FROM AL TO  MBL |  07.2025

thermal "bubble" with level spacing \(\delta \sim 2^{-n_0}\)

 \(n_0\)

Runaway instability induced by rare regions of weak disorder

\(\Gamma \sim e^{-r/\zeta}\)

De Roeck & Huveneers (2017), Luitz, De Roeck & Huveneers (2017),

Thiery et al (2018); Crowley and Chandran (2020), Crowley and Chandran (2022)

Adapted from Szoldra et at (2024)

Avalanche Argument

3

3

20

COLBOIS | FROM AL TO  MBL |  07.2025

thermal "bubble" with level spacing \(\delta \sim 2^{-n_0}\)

 \(n_0\)

Runaway instability induced by rare regions of weak disorder

\(\Gamma \sim e^{-r/\zeta}\)

thermal "bubble" with level spacing \(\delta \sim 2^{-n_0}\)

Spin relaxes  if the interaction does not resolve the spectral gap of the grain

\(\zeta > \zeta_c\)

De Roeck & Huveneers (2017), Luitz, De Roeck & Huveneers (2017),

Thiery et al (2018); Crowley and Chandran (2020), Crowley and Chandran (2022)

Adapted from Szoldra et at (2024)

Avalanche Argument

3

3

20

COLBOIS | FROM AL TO  MBL |  07.2025

Avalanche theory At weak interactions

3

3

21

COLBOIS | FROM AL TO  MBL |  07.2025

  1. Any reasonable definition of \(\zeta\) should become \(\xi_{\rm MBA}\) at weak interactions

Avalanche theory At weak interactions

3

3

21

COLBOIS | FROM AL TO  MBL |  07.2025

  1. Any reasonable definition of \(\zeta\) should become \(\xi_{\rm MBA}\) at weak interactions

Avalanche theory At weak interactions

\(\epsilon\)

\(\epsilon_{\rm sp}\)

\xi_{\rm sp}(\epsilon_{\mathrm{sp}}, {\color{orange}h})

Colbois and Laflorencie (2023), Crowley and Chandran (2020)

3

3

21

COLBOIS | FROM AL TO  MBL |  07.2025

  1. Any reasonable definition of \(\zeta\) should become \(\xi_{\rm MBA}\) at weak interactions

Avalanche theory At weak interactions

\(\epsilon\)

\(\epsilon_{\rm sp}\)

\xi_{\rm sp}(\epsilon_{\mathrm{sp}}, {\color{orange}h})

Colbois and Laflorencie (2023), Crowley and Chandran (2020)

\xi_{\rm MBA} \sim \frac{1}{\ln\left(1+\left(\frac{h}{h_0}\right)^2 \right)}
\xi_{\rm MBA}

\(h/J\)

\(h/J \gg 1 \)

 

\(\xi_{\mathrm{MBA}} \ll L \)

\(\Rightarrow\)

3

3

21

COLBOIS | FROM AL TO  MBL |  07.2025

  1. Any reasonable definition of \(\zeta\) should become \(\xi_{\rm MBA}\) at weak interactions
  2. Localization length typically increases with \(\Delta\)

Avalanche theory At weak interactions

\xi_{\rm MBA}

\(h\)

 Crowley and Chandran (2020), Colbois and Laflorencie (2023)

3

3

22

COLBOIS | FROM AL TO  MBL |  07.2025

Avalanche theory At weak interactions

\xi_{\rm MBA}

\(h\)

  1. Any reasonable definition of \(\zeta\) should become \(\xi_{\rm MBA}\) at weak interactions
  2. Localization length typically increases with \(\Delta\)
\xi_{\rm MBA} > \zeta_{\rm av.}

 Crowley and Chandran (2020), Colbois and Laflorencie (2023)

3

3

22

COLBOIS | FROM AL TO  MBL |  07.2025

Avalanche theory At weak interactions

\xi_{\rm MBA}

\(h\)

\(h^{\star}\)

  1. Any reasonable definition of \(\zeta\) should become \(\xi_{\rm MBA}\) at weak interactions
  2. Localization length typically increases with \(\Delta\)
\xi_{\rm MBA} > \zeta_{\rm av.}

 Crowley and Chandran (2020), Colbois and Laflorencie (2023)

3

3

22

COLBOIS | FROM AL TO  MBL |  07.2025

Avalanche theory At weak interactions

\xi_{\rm MBA}

\(h\)

High energy, \( \epsilon = 0.5\)

Ising interaction \(\Delta\)

  MBL

Delocalized

disorder \(h \)

!

\(h^{\star}\)

\(h^{\star}\)

  1. Any reasonable definition of \(\zeta\) should become \(\xi_{\rm MBA}\) at weak interactions
  2. Localization length typically increases with \(\Delta\)
\xi_{\rm MBA} > \zeta_{\rm av.}

 Crowley and Chandran (2020), Colbois and Laflorencie (2023)

JC, F. Alet, N. Laflorencie, PRL 133, 116502 (2024)

3

3

22

COLBOIS | FROM AL TO  MBL |  07.2025

(See also LeBlond et al., PRB 104 L201117 (2021), @ h = 0.5;  Crowley and Chandran 2020 )

JC, F. Alet, N. Laflorencie, PRL 133, 116502 (2024)

\(\Delta/J\)

\(h/J \)

Ergodic instability of Anderson localization

3

3

23

Delocalized at strong enough interactions

COLBOIS | FROM AL TO  MBL |  07.2025

(See also LeBlond et al., PRB 104 L201117 (2021), @ h = 0.5;  Crowley and Chandran 2020 )

JC, F. Alet, N. Laflorencie, PRL 133, 116502 (2024)

\(\Delta/J\)

\(h/J \)

Ergodic instability of Anderson localization

Delocalized at strong enough interactions

Critical interaction drifts to zero!

3

3

23

COLBOIS | FROM AL TO  MBL |  07.2025

\(\Delta/J\)

\(h/J \)

Ergodic instability of Anderson localization

(See also LeBlond et al., PRB 104 L201117 (2021), @ h = 0.5;  Crowley and Chandran 2020 )

JC, F. Alet, N. Laflorencie, PRL 133, 116502 (2024)

(\xi_{\rm MBA} \approx 0.5)

3

3

23

COLBOIS | FROM AL TO  MBL |  07.2025

\(\Delta/J\)

\(h/J \)

Ergodic instability of Anderson localization

(See also LeBlond et al., PRB 104 L201117 (2021), @ h = 0.5;  Crowley and Chandran 2020 )

JC, F. Alet, N. Laflorencie, PRL 133, 116502 (2024)

3

3

23

COLBOIS | FROM AL TO  MBL |  07.2025

\(\Delta/J\)

\(h/J \)

Ergodic

MBL

Ergodic instability of Anderson localization

(See also LeBlond et al., PRB 104 L201117 (2021), @ h = 0.5;  Crowley and Chandran 2020 )

JC, F. Alet, N. Laflorencie, PRL 133, 116502 (2024)

3

3

23

COLBOIS | FROM AL TO  MBL |  07.2025

6. A Correlations short story

Hunting for many-body resonances

High energy, \(\epsilon = 0.5\)

Ising interaction \(\Delta\)

  MBL

Delocalized

disorder \(h \)

Instabilities : Many-body resonances

Gopalakrishnan et al (2015)

Villalonga and Clark (2020)

Garratt et al (2021)

Crowley and Chandran (2022)

Morningstar et al (2022)

3

3

24

COLBOIS | FROM AL TO  MBL |  07.2025

Another possible mechanism for instabilities:

resonances between more localized many-body states

High energy, \(\epsilon = 0.5\)

Ising interaction \(\Delta\)

  MBL

Delocalized

disorder \(h \)

Gopalakrishnan et al (2015)

Villalonga and Clark (2020)

Garratt et al (2021)

Crowley and Chandran (2022)

Morningstar et al (2022)

|
|
\rangle_{\tau^z \, \mathrm{or}\, \sigma^z}
\rangle_{\tau^z \, \mathrm{or}\, \sigma^z}

\(r\)

Instabilities : Many-body resonances

COLBOIS | FROM AL TO  MBL |  07.2025

3

3

24

Another possible mechanism for instabilities:

resonances between more localized many-body states

High energy, \(\epsilon = 0.5\)

Ising interaction \(\Delta\)

  MBL

Delocalized

disorder \(h \)

|
|
\rangle_{\tau^z \, \mathrm{or}\, \sigma^z}
\rangle_{\tau^z \, \mathrm{or}\, \sigma^z}

\(r\)

|
|
\rangle_{\tau^z \, \mathrm{or}\, \sigma^z}
\rangle_{\tau^z \, \mathrm{or}\, \sigma^z}

\(r\)

\ket{E', \pm} =

Gopalakrishnan et al (2015)

Villalonga and Clark (2020)

Garratt et al (2021)

Crowley and Chandran (2022)

Morningstar et al (2022)

\(\pm\)

Perturb away from very strong disorder

Instabilities : Many-body resonances

Another possible mechanism for instabilities:

resonances between more localized many-body states

COLBOIS | FROM AL TO  MBL |  07.2025

3

3

24

High energy, \(\epsilon = 0.5\)

Ising interaction \(\Delta\)

  MBL

Delocalized

disorder \(h \)

|
|
\rangle_{\tau^z \, \mathrm{or}\, \sigma^z}
\rangle_{\tau^z \, \mathrm{or}\, \sigma^z}

\(r\)

|
|
\rangle_{\tau^z \, \mathrm{or}\, \sigma^z}
\rangle_{\tau^z \, \mathrm{or}\, \sigma^z}

\(r\)

\ket{E', \pm} =

Gopalakrishnan et al (2015)

Villalonga and Clark (2020)

Garratt et al (2021)

Crowley and Chandran (2022)

Morningstar et al (2022)

\(\pm\)

Perturb away from very strong disorder

Instabilities : Many-body resonances

Another possible mechanism for instabilities:

resonances between more localized many-body states

COLBOIS | FROM AL TO  MBL |  07.2025

3

3

24

Hints in several works but extremely challenging to characterize

Jacobi method

Demixing

QMI

Fictitious evolution

Phenomenological models

Relation to avalanches

Kjäll (2018)

 Colmenarez  et al (2019)

Villalonga and Clark (2020)

Crowley and Chandran (2020)

Garatt et al (2021)

Crowley and Chandran (2022)

Long et al (2023)

Ha, Morningstar and Huse (2023)

Morningstar et al (2022)

Gopalakrishnan et al (2015)

\alpha = z
\alpha = x, y

COLBOIS | FROM AL TO  MBL |  07.2025

3

3

25

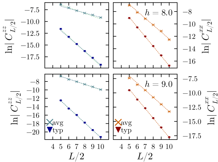
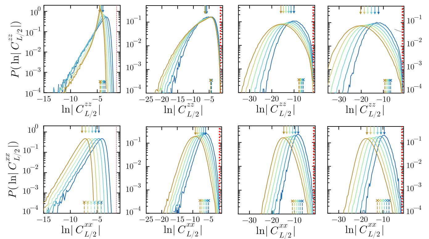
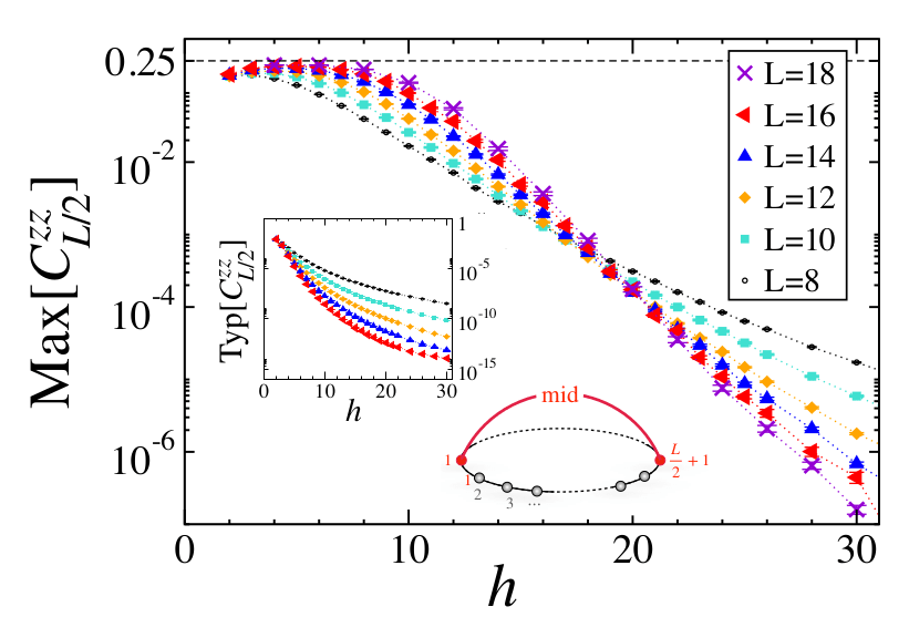
Spin-Spin Correlations

 \(C_{r}^{\alpha\alpha} = \langle S_i^{\alpha} S_{i+r}^{\alpha} \rangle  - \langle S_i^{\alpha} \rangle \langle S_{i+r}^{\alpha} \rangle\)

Simple, experimentally accessible, somewhat overlooked

\alpha = z
\alpha = x, y

Distance-dependent \(|C^{\alpha\alpha}_r|\) :

see e.g.

Pal & Huse (2010)

Varma et al. (2019)

Villalonga and Clark (2020)

Colmenarez et al (2019)

  • no \(r\)-dep. in the ergodic phase \(\epsilon = 0.5\)
  • inherent difficulties with PBC

COLBOIS | FROM AL TO  MBL |  07.2025

3

3

25

Spin-Spin Correlations

 \(C_{r}^{\alpha\alpha} = \langle S_i^{\alpha} S_{i+r}^{\alpha} \rangle  - \langle S_i^{\alpha} \rangle \langle S_{i+r}^{\alpha} \rangle\)

Simple, experimentally accessible, somewhat overlooked

\alpha = z
\alpha = x, y

Distance-dependent \(|C^{\alpha\alpha}_r|\) :

Systemwide \(|C^{\alpha\alpha}_r|\) : \(r = L\)

  • used with QMI
  • risk of edge effects?

Morningstar et al (2022)

  • no \(r\)-dep. in the ergodic phase \(\epsilon = 0.5\)
  • inherent difficulties with PBC

COLBOIS | FROM AL TO  MBL |  07.2025

3

3

25

see e.g.

Pal & Huse (2010)

Varma et al. (2019)

Villalonga and Clark (2020)

Colmenarez et al (2019)

Spin-Spin Correlations

 \(C_{r}^{\alpha\alpha} = \langle S_i^{\alpha} S_{i+r}^{\alpha} \rangle  - \langle S_i^{\alpha} \rangle \langle S_{i+r}^{\alpha} \rangle\)

Simple, experimentally accessible, somewhat overlooked

JC, F. Alet, N. Laflorencie, PRL 133, 116502 (2024)

JC, F. Alet, N. Laflorencie, PRB 110, (2024)

Systemwide \(|C^{\alpha\alpha}_r|\) : \(r = L/2\)

\alpha = z
\alpha = x, y

Distance-dependent \(|C^{\alpha\alpha}_r|\) :

Systemwide \(|C^{\alpha\alpha}_r|\) : \(r = L\)

  • used with QMI
  • risk of edge effects?

Morningstar et al (2022)

  • no \(r\)-dep. in the ergodic phase \(\epsilon = 0.5\)
  • inherent difficulties with PBC

COLBOIS | FROM AL TO  MBL |  07.2025

3

3

25

see e.g.

Pal & Huse (2010)

Varma et al. (2019)

Villalonga and Clark (2020)

Colmenarez et al (2019)

Spin-Spin Correlations

 \(C_{r}^{\alpha\alpha} = \langle S_i^{\alpha} S_{i+r}^{\alpha} \rangle  - \langle S_i^{\alpha} \rangle \langle S_{i+r}^{\alpha} \rangle\)

Simple, experimentally accessible, somewhat overlooked

Systemwide \(|C^{\alpha\alpha}_r|\) : \(r = L/2\)

\alpha = z
\alpha = x, y

JC, F. Alet, N. Laflorencie, PRL 133, 116502 (2024)

JC, F. Alet, N. Laflorencie, PRB 110, (2024)

Distance-dependent \(|C^{\alpha\alpha}_r|\) :

Systemwide \(|C^{\alpha\alpha}_r|\) : \(r = L\)

  • used with QMI
  • risk of edge effects?

Morningstar et al (2022)

  • no \(r\)-dep. in the ergodic phase \(\epsilon = 0.5\)
  • inherent difficulties with PBC

see e.g. Varma et al., PRB (2019)

Villalonga and Clark (2020)

Colmenarez et al (2019)

COLBOIS | FROM AL TO  MBL |  07.2025

3

3

25

see e.g.

Pal & Huse (2010)

Varma et al. (2019)

Villalonga and Clark (2020)

Colmenarez et al (2019)

Spin-Spin Correlations

 \(C_{r}^{\alpha\alpha} = \langle S_i^{\alpha} S_{i+r}^{\alpha} \rangle  - \langle S_i^{\alpha} \rangle \langle S_{i+r}^{\alpha} \rangle\)

Simple, experimentally accessible, somewhat overlooked

Distance-dependent \(|C^{\alpha\alpha}_r|\) :

Systemwide \(|C^{\alpha\alpha}_r|\) : \(r = L\)

Systemwide \(|C^{\alpha\alpha}_r|\) : \(r = L/2\)

\alpha = z
\alpha = x, y
  • used with QMI
  • risk of edge effects?

JC, F. Alet, N. Laflorencie, PRL 133, 116502 (2024)

JC, F. Alet, N. Laflorencie, PRB 110, (2024)

Morningstar et al (2022)

  • no \(r\)-dep. in the ergodic phase \(\epsilon = 0.5\)
  • inherent difficulties with PBC

COLBOIS | FROM AL TO  MBL |  07.2025

3

3

25

see e.g.

Pal & Huse (2010)

Varma et al. (2019)

Villalonga and Clark (2020)

Colmenarez et al (2019)

Spin-Spin Correlations

 \(C_{r}^{\alpha\alpha} = \langle S_i^{\alpha} S_{i+r}^{\alpha} \rangle  - \langle S_i^{\alpha} \rangle \langle S_{i+r}^{\alpha} \rangle\)

Simple, experimentally accessible, somewhat overlooked

Distance-dependent \(|C^{\alpha\alpha}_r|\) :

Systemwide \(|C^{\alpha\alpha}_r|\) : \(r = L\)

Systemwide \(|C^{\alpha\alpha}_r|\) : \(r = L/2\)

\alpha = z
\alpha = x, y

JC, F. Alet, N. Laflorencie, PRL 133, 116502 (2024)

JC, F. Alet, N. Laflorencie, PRB 110, (2024)

  • used with QMI
  • risk of edge effects?

Morningstar et al (2022)

  • no \(r\)-dep. in the ergodic phase \(\epsilon = 0.5\)
  • inherent difficulties with PBC

COLBOIS | FROM AL TO  MBL |  07.2025

3

3

25

see e.g.

Pal & Huse (2010)

Varma et al. (2019)

Villalonga and Clark (2020)

Colmenarez et al (2019)

Spin-Spin Correlations

 \(C_{r}^{\alpha\alpha} = \langle S_i^{\alpha} S_{i+r}^{\alpha} \rangle  - \langle S_i^{\alpha} \rangle \langle S_{i+r}^{\alpha} \rangle\)

Simple, experimentally accessible, somewhat overlooked

Mid-chain correlations

Distance-dependent \(|C^{\alpha\alpha}_r|\) :

Systemwide \(|C^{\alpha\alpha}_r|\) : \(r = L\)

Systemwide \(|C^{\alpha\alpha}_r|\) : \(r = L/2\)

\alpha = z
\alpha = x, y

JC, F. Alet, N. Laflorencie, PRL 133, 116502 (2024)

JC, F. Alet, N. Laflorencie, PRB 110, (2024)

  • used with QMI
  • risk of edge effects?

Morningstar et al (2022)

  • no \(r\)-dep. in the ergodic phase \(\epsilon = 0.5\)
  • inherent difficulties with PBC

COLBOIS | FROM AL TO  MBL |  07.2025

3

3

25

see e.g.

Pal & Huse (2010)

Varma et al. (2019)

Villalonga and Clark (2020)

Colmenarez et al (2019)

Spin-Spin Correlations

 \(C_{r}^{\alpha\alpha} = \langle S_i^{\alpha} S_{i+r}^{\alpha} \rangle  - \langle S_i^{\alpha} \rangle \langle S_{i+r}^{\alpha} \rangle\)

Simple, experimentally accessible, somewhat overlooked

Two simple limits

Ergodic typical eigenstate = random vector

Anderson localized \(\Delta = 0\)

JC, F. Alet, N. Laflorencie, PRL 133 and  PRB 110, (2024)

 \(C_{r}^{\alpha\alpha} = \langle S_i^{\alpha} S_{i+r}^{\alpha} \rangle  - \langle S_i^{\alpha} \rangle \langle S_{i+r}^{\alpha} \rangle\)

COLBOIS | FROM AL TO  MBL |  07.2025

3

3

26

Ergodic typical eigenstate = random vector

Anderson localized \(\Delta = 0\)

  • bulk decay matches mid-chain decay

Two simple limits

JC, F. Alet, N. Laflorencie, PRL 133 and  PRB 110, (2024)

 \(C_{r}^{\alpha\alpha} = \langle S_i^{\alpha} S_{i+r}^{\alpha} \rangle  - \langle S_i^{\alpha} \rangle \langle S_{i+r}^{\alpha} \rangle\)

\(h = 5\)

COLBOIS | FROM AL TO  MBL |  07.2025

3

3

26

Ergodic typical eigenstate = random vector

Anderson localized \(\Delta = 0\)

  • bulk decay matches mid-chain decay

Two simple limits

JC, F. Alet, N. Laflorencie, PRL 133 and  PRB 110, (2024)

 \(C_{r}^{\alpha\alpha} = \langle S_i^{\alpha} S_{i+r}^{\alpha} \rangle  - \langle S_i^{\alpha} \rangle \langle S_{i+r}^{\alpha} \rangle\)

\(\xi^z_{\mathrm{bulk}} = 0.448 \pm 0.005\)

\(\xi^z_{\mathrm{mid}} = 0.449 \pm 0.003\)

\(\xi^x_{\mathrm{bulk}} = 0.87 \pm 0.01\)

\(\xi^x_{\mathrm{mid}} = 0.89 \pm 0.01\)

\(h = 5\)

COLBOIS | FROM AL TO  MBL |  07.2025

3

3

26

Ergodic typical eigenstate = random vector

Anderson localized \(\Delta = 0\)

  • bulk decay matches mid-chain decay
  • good proxy for the localization length

Two simple limits

JC, F. Alet, N. Laflorencie, PRL 133 and  PRB 110, (2024)

 \(C_{r}^{\alpha\alpha} = \langle S_i^{\alpha} S_{i+r}^{\alpha} \rangle  - \langle S_i^{\alpha} \rangle \langle S_{i+r}^{\alpha} \rangle\)

\(\xi_{\mathrm{MBA}}\)

COLBOIS | FROM AL TO  MBL |  07.2025

3

3

26

Ergodic typical eigenstate = random vector

Anderson localized \(\Delta = 0\)

\(\xi_x \approx 2 \xi_z\) : XX correlations dominate

  • bulk decay matches mid-chain decay
  • good proxy for the localization length

Two simple limits

JC, F. Alet, N. Laflorencie, PRL 133 and  PRB 110, (2024)

 \(C_{r}^{\alpha\alpha} = \langle S_i^{\alpha} S_{i+r}^{\alpha} \rangle  - \langle S_i^{\alpha} \rangle \langle S_{i+r}^{\alpha} \rangle\)

\(\xi_{\mathrm{MBA}}\)

COLBOIS | FROM AL TO  MBL |  07.2025

3

3

26

Ergodic typical eigenstate = random vector

Anderson localized \(\Delta = 0\)

\(\xi_x \approx 2 \xi_z\) : XX correlations dominate

Random vector

  • bulk decay matches mid-chain decay
  • good proxy for the localization length

Two simple limits

\(\ket{R} = \sum_{s= 1}^{\mathcal{N}} a_s \ket{s}\), \(\ket{s} = \ket{\uparrow, \downarrow, \dots}\),\( |a_s|^2\propto\frac{1}{\mathcal{N}}\)

JC, F. Alet, N. Laflorencie, PRL 133 and  PRB 110, (2024)

 \(C_{r}^{\alpha\alpha} = \langle S_i^{\alpha} S_{i+r}^{\alpha} \rangle  - \langle S_i^{\alpha} \rangle \langle S_{i+r}^{\alpha} \rangle\)

\(\xi_{\mathrm{MBA}}\)

COLBOIS | FROM AL TO  MBL |  07.2025

3

3

27

Ergodic typical eigenstate = random vector

Anderson localized \(\Delta = 0\)

\(\xi_x \approx 2 \xi_z\) : XX correlations dominate

Random vector

  • bulk decay matches mid-chain decay
  • good proxy for the localization length

Two simple limits

\(\ket{R} = \sum_{s= 1}^{\mathcal{N}} a_s \ket{s}\), \(\ket{s} = \ket{\uparrow, \downarrow, \dots}\),\( |a_s|^2\propto\frac{1}{\mathcal{N}}\)

JC, F. Alet, N. Laflorencie, PRL 133 and  PRB 110, (2024)

 \(C_{r}^{\alpha\alpha} = \langle S_i^{\alpha} S_{i+r}^{\alpha} \rangle  - \langle S_i^{\alpha} \rangle \langle S_{i+r}^{\alpha} \rangle\)

\(\xi_{\mathrm{MBA}}\)

COLBOIS | FROM AL TO  MBL |  07.2025

3

3

27

Ergodic typical eigenstate = random vector

Anderson localized \(\Delta = 0\)

\(\xi_x \approx 2 \xi_z\) : XX correlations dominate

Random vector

  • bulk decay matches mid-chain decay
  • good proxy for the localization length

Two simple limits

\(\ket{R} = \sum_{s= 1}^{\mathcal{N}} a_s \ket{s}\), \(\ket{s} = \ket{\uparrow, \downarrow, \dots}\),\( |a_s|^2\propto\frac{1}{\mathcal{N}}\)

ONLY SIZE DEPENDENCE!

No spatial dependence,

JC, F. Alet, N. Laflorencie, PRL 133 and  PRB 110, (2024)

 \(C_{r}^{\alpha\alpha} = \langle S_i^{\alpha} S_{i+r}^{\alpha} \rangle  - \langle S_i^{\alpha} \rangle \langle S_{i+r}^{\alpha} \rangle\)

\(\xi_{\mathrm{MBA}}\)

COLBOIS | FROM AL TO  MBL |  07.2025

3

3

27

Ergodic typical eigenstate = random vector

Anderson localized \(\Delta = 0\)

\(\xi_x \approx 2 \xi_z\) : XX correlations dominate

Random vector

  • bulk decay matches mid-chain decay
  • good proxy for the localization length

Two simple limits

Total spin conservation

\(\ket{R} = \sum_{s= 1}^{\mathcal{N}} a_s \ket{s}\), \(\ket{s} = \ket{\uparrow, \downarrow, \dots}\),\( |a_s|^2\propto\frac{1}{\mathcal{N}}\)

ONLY SIZE DEPENDENCE!

No spatial dependence,

|C^{zz}_{L/2}| \sim 1/4(L-1)

JC, F. Alet, N. Laflorencie, PRL 133 and  PRB 110, (2024)

 \(C_{r}^{\alpha\alpha} = \langle S_i^{\alpha} S_{i+r}^{\alpha} \rangle  - \langle S_i^{\alpha} \rangle \langle S_{i+r}^{\alpha} \rangle\)

\(\xi_{\mathrm{MBA}}\)

COLBOIS | FROM AL TO  MBL |  07.2025

3

3

27

Ergodic typical eigenstate = random vector

Anderson localized \(\Delta = 0\)

\(\xi_x \approx 2 \xi_z\) : XX correlations dominate

Random vector

  • bulk decay matches mid-chain decay
  • good proxy for the localization length

Two simple limits

Total spin conservation

|C^{zz}_{L/2}| \sim 1/4(L-1)

\(\ket{R} = \sum_{s= 1}^{\mathcal{N}} a_s \ket{s}\), \(\ket{s} = \ket{\uparrow, \downarrow, \dots}\),\( |a_s|^2\propto\frac{1}{\mathcal{N}}\)

\xi_z \rightarrow \infty

Power-law

JC, F. Alet, N. Laflorencie, PRL 133 and  PRB 110, (2024)

 \(C_{r}^{\alpha\alpha} = \langle S_i^{\alpha} S_{i+r}^{\alpha} \rangle  - \langle S_i^{\alpha} \rangle \langle S_{i+r}^{\alpha} \rangle\)

\(\xi_{\mathrm{MBA}}\)

COLBOIS | FROM AL TO  MBL |  07.2025

3

3

27

Ergodic typical eigenstate = random vector

Anderson localized \(\Delta = 0\)

\(\xi_x \approx 2 \xi_z\) : XX correlations dominate

Random vector

  • bulk decay matches mid-chain decay
  • good proxy for the localization length

Two simple limits

Total spin conservation

|C^{zz}_{L/2}| \sim 1/4(L-1)

\(\ket{R} = \sum_{s= 1}^{\mathcal{N}} a_s \ket{s}\), \(\ket{s} = \ket{\uparrow, \downarrow, \dots}\),\( |a_s|^2\propto\frac{1}{\mathcal{N}}\)

\xi_z \rightarrow \infty

Power-law

Random state : XX

|C^{xx}_{L/2}| \propto 2^{-L/2}

\(\bra{R} S_i^{+} S_j^{-} \ket{R}\)

\(= \sum_{s} a_s a_{\mathrm{flip}(s)}\) \(\propto \frac{ \sqrt{\mathcal{N}}}{\mathcal{N}}\)

JC, F. Alet, N. Laflorencie, PRL 133 and  PRB 110, (2024)

 \(C_{r}^{\alpha\alpha} = \langle S_i^{\alpha} S_{i+r}^{\alpha} \rangle  - \langle S_i^{\alpha} \rangle \langle S_{i+r}^{\alpha} \rangle\)

\(\xi_{\mathrm{MBA}}\)

COLBOIS | FROM AL TO  MBL |  07.2025

3

3

27

Ergodic typical eigenstate = random vector

Anderson localized \(\Delta = 0\)

\(\xi_x \approx 2 \xi_z\) : XX correlations dominate

Random vector

  • bulk decay matches mid-chain decay
  • good proxy for the localization length

Two simple limits

Total spin conservation

|C^{zz}_{L/2}| \sim 1/4(L-1)

\(\ket{R} = \sum_{s= 1}^{\mathcal{N}} a_s \ket{s}\), \(\ket{s} = \ket{\uparrow, \downarrow, \dots}\),\( |a_s|^2\propto\frac{1}{\mathcal{N}}\)

|C^{xx}_{L/2}| \propto 2^{-L/2}
\xi_z \rightarrow \infty

finite \(\xi_x\)

Power-law

Random state : XX

\(\bra{R} S_i^{+} S_j^{-} \ket{R}\)

\(= \sum_{s} a_s a_{\mathrm{flip}(s)}\) \(\propto \frac{ \sqrt{\mathcal{N}}}{\mathcal{N}}\)

JC, F. Alet, N. Laflorencie, PRL 133 and  PRB 110, (2024)

 \(C_{r}^{\alpha\alpha} = \langle S_i^{\alpha} S_{i+r}^{\alpha} \rangle  - \langle S_i^{\alpha} \rangle \langle S_{i+r}^{\alpha} \rangle\)

\(\xi_{\mathrm{MBA}}\)

COLBOIS | FROM AL TO  MBL |  07.2025

3

3

27

Ergodic typical eigenstate = random vector

Anderson localized \(\Delta = 0\)

\(\xi_x \approx 2 \xi_z\) : XX correlations dominate

Random vector

  • bulk decay matches mid-chain decay
  • good proxy for the localization length

Two simple limits

Total spin conservation

Random state : XX

|C^{zz}_{L/2}| \sim 1/4(L-1)

\(\ket{R} = \sum_{s= 1}^{\mathcal{N}} a_s \ket{s}\), \(\ket{s} = \ket{\uparrow, \downarrow, \dots}\),\( |a_s|^2\propto\frac{1}{\mathcal{N}}\)

|C^{xx}_{L/2}| \propto 2^{-L/2}
\xi_z \rightarrow \infty

finite \(\xi_x\)

Power-law

ZZ correlations dominate

\(\bra{R} S_i^{+} S_j^{-} \ket{R}\)

\(= \sum_{s} a_s a_{\mathrm{flip}(s)}\) \(\propto \frac{ \sqrt{\mathcal{N}}}{\mathcal{N}}\)

JC, F. Alet, N. Laflorencie, PRL 133 and  PRB 110, (2024)

 \(C_{r}^{\alpha\alpha} = \langle S_i^{\alpha} S_{i+r}^{\alpha} \rangle  - \langle S_i^{\alpha} \rangle \langle S_{i+r}^{\alpha} \rangle\)

\(\xi_{\mathrm{MBA}}\)

COLBOIS | FROM AL TO  MBL |  07.2025

3

3

27

Ergodic typical eigenstate = random vector

Anderson localized \(\Delta = 0\)

\(\xi_x \approx 2 \xi_z\) : XX correlations dominate

ZZ correlations dominate

|C^{xx}_{L/2}| \propto 2^{-L/2}
|C^{xx}_{L/2}| \propto e^{-L/\xi_x}

Random vector

XXZ, \(h = 1, \Delta = 1\)

|C^{zz}_{L/2}| \sim 1/4(L + \ell_0)
\xi_z \rightarrow \infty

finite \(\xi_x\)

  • bulk decay matches mid-chain decay
  • good proxy for the localization length

Two simple limits

|C^{zz}_{L/2}| \sim 1/4(L-1)

JC, F. Alet, N. Laflorencie, PRL 133 and  PRB 110, (2024)

 \(C_{r}^{\alpha\alpha} = \langle S_i^{\alpha} S_{i+r}^{\alpha} \rangle  - \langle S_i^{\alpha} \rangle \langle S_{i+r}^{\alpha} \rangle\)

\(\xi_{\mathrm{MBA}}\)

COLBOIS | FROM AL TO  MBL |  07.2025

3

3

27

Random vector

\xi_z \rightarrow \infty

finite \(\xi_x\)

Inversion of the dominant correlations

COLBOIS | FROM AL TO  MBL |  07.2025

3

3

28

JC, F. Alet, N. Laflorencie, PRL 133 and  PRB 110, (2024)

Inversion of the dominant correlations

COLBOIS | FROM AL TO  MBL |  07.2025

3

3

28

JC, F. Alet, N. Laflorencie, PRL 133 and  PRB 110, (2024)

Extrapolated transition

Standard estimates lead to an extrapolated transition line \(h_c(\Delta)\)

Inversion of the dominant correlations

COLBOIS | FROM AL TO  MBL |  07.2025

3

3

28

JC, F. Alet, N. Laflorencie, PRL 133 and  PRB 110, (2024)

Extrapolated transition

Standard estimates lead to an extrapolated transition line \(h_c(\Delta)\)

Deep MBL

MBL and AL are connected from the point of view of correlations \(\xi_z, \xi_x\) at weak interactions

Inversion of the dominant correlations

COLBOIS | FROM AL TO  MBL |  07.2025

3

3

28

JC, F. Alet, N. Laflorencie, PRL 133 and  PRB 110, (2024)

Extrapolated transition

Standard estimates lead to an extrapolated transition line \(h_c(\Delta)\)

An inversion of the dominant correlations occurs deeper in the MBL regime

Deep MBL

MBL and AL are connected from the point of view of correlations \(\xi_z, \xi_x\) at weak interactions

Inversion of the dominant correlations

COLBOIS | FROM AL TO  MBL |  07.2025

3

3

28

JC, F. Alet, N. Laflorencie, PRL 133 and  PRB 110, (2024)

Extrapolated transition

Standard estimates lead to an extrapolated transition line \(h_c(\Delta)\)

An inversion of the dominant correlations occurs deeper in the MBL regime

Deep MBL

MBL and AL are connected from the point of view of correlations \(\xi_z, \xi_x\) at weak interactions

?

Large correlations along the Heisenberg line

COLBOIS | FROM AL TO  MBL |  07.2025

3

3

29

JC, F. Alet, N. Laflorencie,  PRB 110, (2024)

N. Laflorencie, JC, F. Alet, arXiv:2504.10566 (2025)

Large correlations along the Heisenberg line

COLBOIS | FROM AL TO  MBL |  07.2025

3

3

29

JC, F. Alet, N. Laflorencie,  PRB 110, (2024)

N. Laflorencie, JC, F. Alet, arXiv:2504.10566 (2025)

XX

Large correlations along the Heisenberg line

COLBOIS | FROM AL TO  MBL |  07.2025

3

3

29

JC, F. Alet, N. Laflorencie,  PRB 110, (2024)

N. Laflorencie, JC, F. Alet, arXiv:2504.10566 (2025)

XX

Limited broadening with \(L\)

L
L

Large correlations along the Heisenberg line

COLBOIS | FROM AL TO  MBL |  07.2025

3

3

29

JC, F. Alet, N. Laflorencie,  PRB 110, (2024)

N. Laflorencie, JC, F. Alet, arXiv:2504.10566 (2025)

XX

Limited broadening with \(L\)

L
L

Limited weight at large correlations

Large correlations along the Heisenberg line

COLBOIS | FROM AL TO  MBL |  07.2025

3

3

29

JC, F. Alet, N. Laflorencie,  PRB 110, (2024)

N. Laflorencie, JC, F. Alet, arXiv:2504.10566 (2025)

XX

ZZ

Limited broadening with \(L\)

Limited weight at large correlations

Large correlations along the Heisenberg line

COLBOIS | FROM AL TO  MBL |  07.2025

3

3

29

JC, F. Alet, N. Laflorencie,  PRB 110, (2024)

N. Laflorencie, JC, F. Alet, arXiv:2504.10566 (2025)

XX

ZZ

Limited broadening with \(L\)

Limited weight at large correlations

Broadening with \(L\)

Large correlations along the Heisenberg line

COLBOIS | FROM AL TO  MBL |  07.2025

3

3

29

JC, F. Alet, N. Laflorencie,  PRB 110, (2024)

N. Laflorencie, JC, F. Alet, arXiv:2504.10566 (2025)

XX

ZZ

Limited broadening with \(L\)

Limited weight at large correlations

Broadening with \(L\)

Non-zero probability of large correlations

Three questions for large correlations

COLBOIS | FROM AL TO  MBL |  07.2025

3

3

30

JC, F. Alet, N. Laflorencie,  PRB 110, (2024)

N. Laflorencie, JC, F. Alet, arXiv:2504.10566 (2025)

ZZ

Broadening with \(L\)

Non-zero probability of large correlations

Three questions for large correlations

COLBOIS | FROM AL TO  MBL |  07.2025

3

3

30

ZZ

Broadening with \(L\)

Non-zero probability of large correlations

1. Do these rare, large, long-distance correlations matter ?

2. How deep in the MBL phase can we find large correlations ? 

3. What are these events ?

JC, F. Alet, N. Laflorencie,  PRB 110, (2024)

N. Laflorencie, JC, F. Alet, arXiv:2504.10566 (2025)

1. Do these large correlations matter ?

COLBOIS | INSTABILITIES AND MBL |  05.2025

3

3

31

Typical vs average correlations:

Full  analysis of correlations statistics: JC, F. Alet, N. Laflorencie,  PRB 110, (2024)

\(\exp(\overline{\ln|C^{zz}_{L/2}|})\)

1. Do these large correlations matter ?

COLBOIS | INSTABILITIES AND MBL |  05.2025

3

3

31

Full  analysis of correlations statistics: JC, F. Alet, N. Laflorencie,  PRB 110, (2024)

Typical vs average correlations:

\(\exp(\overline{\ln|C^{zz}_{L/2}|})\)

1. Do these large correlations matter ?

COLBOIS | INSTABILITIES AND MBL |  05.2025

3

3

31

Average : better described by a power-law decay

Full  analysis of correlations statistics: JC, F. Alet, N. Laflorencie,  PRB 110, (2024)

Typical vs average correlations:

\(\exp(\overline{\ln|C^{zz}_{L/2}|})\)

1. Do these large correlations matter ?

COLBOIS | INSTABILITIES AND MBL |  05.2025

3

3

31

Typical  : better described by an exponential decay

Average : better described by a power-law decay

Full  analysis of correlations statistics: JC, F. Alet, N. Laflorencie,  PRB 110, (2024)

Typical vs average correlations:

\(\exp(\overline{\ln|C^{zz}_{L/2}|})\)

2. How deep can we find large correlationS ? 

COLBOIS | FROM AL TO  MBL |  07.2025

3

3

32

JC, F. Alet, N. Laflorencie,  PRB 110, (2024)

N. Laflorencie, JC, F. Alet, arXiv:2504.10566 (2025)

Average of the maximum over all eigenstates

2. How deep can we find large correlationS ? 

COLBOIS | FROM AL TO  MBL |  07.2025

3

3

32

JC, F. Alet, N. Laflorencie,  PRB 110, (2024)

N. Laflorencie, JC, F. Alet, arXiv:2504.10566 (2025)

Average of the maximum over all eigenstates

Up to \(h \sim 20-25\)

3. Long-distance cat states

COLBOIS | FROM AL TO  MBL |  07.2025

3

3

33

\(L = 20, h = 12\)

COLBOIS | FROM AL TO  MBL |  07.2025

3

3

33

\(L = 20, h = 12\)

  1.  Large correlations : pairs
  2. Extremely small gap

3. Long-distance cat states

COLBOIS | FROM AL TO  MBL |  07.2025

3

3

33

\(L = 20, h = 12\)

  1.  Large correlations : pairs
  2. Extremely small gap
  3. Cat state picture

3. Long-distance cat states

COLBOIS | FROM AL TO  MBL |  07.2025

3

3

33

\(L = 20, h = 12\)

Rigorous analysis of cat states through toy model: N. Laflorencie, JC, F. Alet, arXiv:2504.10566 (2025)

  1.  Large correlations : pairs
  2. Extremely small gap
  3. Cat state picture

3. Long-distance cat states

Status and Outlook

COLBOIS | FROM AL TO  MBL |  07.2025

3

3

34

Diagram of the correlations regimes:

Status and Outlook

COLBOIS | FROM AL TO  MBL |  07.2025

3

3

34

Diagram of the correlations regimes:

Standard observables

Status and Outlook

COLBOIS | FROM AL TO  MBL |  07.2025

3

3

34

Diagram of the correlations regimes:

Average: power-law

Standard observables

Status and Outlook

COLBOIS | FROM AL TO  MBL |  07.2025

3

3

34

Diagram of the correlations regimes:

Average: power-law

Average: exponential

Standard observables

Fate of this region ? 

Ergodic?

Non-ergodic delocalized?

MBL?

Status and Outlook

COLBOIS | FROM AL TO  MBL |  07.2025

3

3

34

JC, F. Alet, N. Laflorencie,  PRB 110, (2024)

N. Laflorencie, JC, F. Alet, arXiv:2504.10566 (2025)

Pawlik et al (2025) in a Quantum Sun Model

(Others closer to the transition)

Diagram of the correlations regimes:

Rare events' importance in the MBL debate

Rare thermal regions

Rare paths in Hilbert space

Rare large correlations

Average: power-law

Average: exponential

Biroli, Hartmann, Tarzia (2024), ....

De Roeck, Huveneers (2017), Crowley, Chandran (2020),...

Rare, highly localized regions

De Roeck et al (2024), Dupont et al (2019), ...

Take-Home messages

COLBOIS | INSTABILITIES AND MBL |  05.2025

3

3

35

"Beyond the Superconducting Super Collider story:"

Anderson localization

 

 

In Anderson localization (1D, half-filling) all states are "like" ground states

 

COLBOIS | INSTABILITIES AND MBL |  05.2025

Take-home messages

JC, F. Alet, N. Laflorencie, PRL 133, 116502 (2024)

3

3

36

1) Ergodic instability

Below \(h^{\star} \sim 2-3\), the Anderson insulator immediately turns ergodic for \(\Delta > 0\)

COLBOIS | INSTABILITIES AND MBL |  05.2025

JC, F. Alet, N. Laflorencie, PRL 133, 116502 (2024)

Take-home messages

3

3

36

1) Ergodic instability

Below \(h^{\star} \sim 2-3\), the Anderson insulator immediately turns ergodic for \(\Delta > 0\)

COLBOIS | INSTABILITIES AND MBL |  05.2025

  • /!\ We cannot say that our results validate avalanche theory (there could be other mechanisms)
  • Finite-size effects work "in our favor"!

JC, F. Alet, N. Laflorencie, PRL 133, 116502 (2024)

Take-home messages

3

3

36

1) Ergodic instability

Below \(h^{\star} \sim 2-3\), the Anderson insulator immediately turns ergodic for \(\Delta > 0\)

COLBOIS | INSTABILITIES AND MBL |  05.2025

JC, F. Alet, N. Laflorencie, PRL 133, 116502 (2024)

2) Extrapolated transition

Standard estimates lead to an extrapolated transition line \(h_c(\Delta)\)

Take-home messages

3

3

36

3) Deep MBL

MBL and AL are connected from the point of view of correlations \(\xi_z, \xi_x\) at weak interactions

1) Ergodic instability

Below \(h^{\star} \sim 2-3\), the Anderson insulator immediately turns ergodic for \(\Delta > 0\)

COLBOIS | INSTABILITIES AND MBL |  05.2025

JC, F. Alet, N. Laflorencie, PRL 133, 116502 (2024)

2) Extrapolated transition

Standard estimates lead to an extrapolated transition line \(h_c(\Delta)\)

Take-home messages

3

3

36

1) Ergodic instability

Below \(h^{\star} \sim 2-3\), the Anderson insulator immediately turns ergodic for \(\Delta > 0\)

JC, F. Alet, N. Laflorencie, PRB 110, (2024)

N. Laflorencie, JC, F. Alet, arXiv (2025)

3) Deep MBL

MBL and AL are connected from the point of view of correlations \(\xi_z, \xi_x\) at weak interactions

COLBOIS | INSTABILITIES AND MBL |  05.2025

JC, F. Alet, N. Laflorencie, PRL 133, 116502 (2024)

2) Extrapolated transition

Standard estimates lead to an extrapolated transition line \(h_c(\Delta)\)

Take-home messages

4) Fate of this intermediate MBL regime ?

Driven by rare cat states?

3

3

36

1) Ergodic instability

Below \(h^{\star} \sim 2-3\), the Anderson insulator immediately turns ergodic for \(\Delta > 0\)

2) Extrapolated transition

Standard estimates lead to an extrapolated transition line \(h_c(\Delta)\)

3) Deep MBL

MBL and AL are connected from the point of view of correlations \(\xi_z, \xi_x\) at weak interactions

COLBOIS | INSTABILITIES AND MBL |  05.2025

Thank you !

JC, F. Alet, N. Laflorencie, PRB 110, (2024)

N. Laflorencie, JC, F. Alet, arXiv (2025)

JC, F. Alet, N. Laflorencie, PRL 133, 116502 (2024)

Take-home messages

4) Fate of this intermediate MBL regime ?

Driven by cat states?

3

3

36

Critical interactions

Delocalized at strong enough interactions

Entanglement entropy

Spectral statistics

Critical interactions scaling

JC, F. Alet, N. Laflorencie, PRL 133, 116502 (2024)

Correlations

\(\xi_x > \xi_z\)

Inversion

Extrapolated \(h_c\)

\(\xi_z \rightarrow \infty\)

Heisenberg line

Ergodic

Ergodic

Ergodic

Vertical cut

\(h/J \)

Ergodic

MBL

\(h/J \)

Ergodic

MBL

  1. \(\xi_{z,x}\) very short
  2. Directly connected to AL values
  3.  Flat  \(\xi_x\), fast  increase of \(\xi_z\)
  4. Instability

Ergodic

JC, F. Alet, N. Laflorencie, PRL 133, 116502 (2024)

Dynamics

Dynamics

Anderson

No growth

of entanglement

J. H. Bardarson, F. Pollmann, and J. E. Moore, PRL 109, 017202 (2012)

M. Znidaric, T. Prosen, and P. Prelovsek PRB 77, 064426 (2008)

Log growth

of entanglement

Initial \(S^z\) basis random product state

+

TEBD

 

W = 5

D. Luitz, N. Laflorencie, F. Alet (2016)

Sierant and Zakrewski (2022)

Other probes

Some eigenstate

J. C., N. Laflorencie, PRB (2023)

\(|\langle S_i^{z}\rangle| < 1/2\)

\delta_i = 1/2 -| \langle S_i^z \rangle|
\delta_{\rm min} = 1/2 -\max_{i}| \langle S_i^z \rangle|

A simple many-body effect : Maximal magnetization?

Anderson chain / XX chain

Chain breaking

Dupont, Macé, Laflorencie, PRB 100, 134201, (2019)

Laflorencie, Lemarié, Macé, PRR 2, 042033(R), (2020)

JC, Laflorencie, PRB 108, 144206 (2023)

Toy model:

\delta^{\mathrm{typ}}_{\min} \approx L^{-\frac{1}{2\xi \ln2}}
\delta_{\rm min}^{\rm typ} = \exp(\overline{\ln \delta_{\min}})
\delta_{\rm min} = 1/2 -\max_{i}| \langle S_i^z \rangle|

SPIN FREEZING !

CHAIN BREAKING !

Participation entropy

Luitz et al (2015)

Macé et al (2019)

Colbois, Alet, Laflorencie (2024)

Participation entropy

Phenomenology,  theory and challenges

De Roeck & Huveneers 2017, Luitz, De Roeck & Huveneers 2017, Thiery et al 2018; Crowley and Chandran 2020

Condition for spin at \(r\) to relax thanks to the grain:

\Gamma \sim e^{-r/\zeta} \gg \delta_{\rm eff} \sim 2^{-(n_0+2r)}
\zeta > \zeta_{\rm av.}

Avalanche criterion:

Instabilities : Avalanches

Question:

Does the seed hybridize (absorb) the l-bits?

 

Answer: it depends on

 

(1) \(V_{ij}\) the matrix element coupling the seed to the l-bit

(2) \(1/ \rho\) the level spacing.

Typically \(V_{ij} \gg 1/\rho\).

The challenge is to quantify this, see Crowley and Chandran.

L-bits models

  • quasi-local integrals of motion
  • In spin models : dressed physical on-site Pauli spin operators
  • in fermionic models : Anderson orbitals dressed by local electron-hole excitations
  • "dressed" = quasilocal, finite-depth, unitary transformation (ideally, that diagonalizes H).
  • MODEL : instead of finding U, H', we define U (finite-depth circuit of 2-site gates) and H'

 

 

 

 

 

 

DEEP MBL :

  • strong overlap with physical dofs -> constants of motion
\tau_i^{z} := U \sigma_i^{z} U ^{\dagger}
H' = \sum_i h_i \tau_i^z + \sum_{i,j} J_{i,j} \tau_i^z \tau_j^z + \sum_{i,j,k} J_{i,j,k} \tau_i^{z} \tau_{j}^{z}\tau_{k}^{z}
  • investigate to what extent the growth of number entropy can be explained directly whithin the phenomenology of MBL
  • directly work with an effecting l-bits model:
    • expontentially decaying support
    • exponentially decaying interactions
  • is particle transport entirely absent in an l-bit model ?

 

  • ultra-slow growth, saturating in finite systems at a subextensive value increasing with system size

Landmarks

Instability at weak interactions

Other spatial correlations results

COLBOIS | INSTABILITIES AND MBL |  05.2025

Model : t-V with usual XXZ units, except V = 2t

COLBOIS | INSTABILITIES AND MBL |  05.2025

From AL to MBL

By Jeanne Colbois

From AL to MBL

Invited seminar - Bielefeld

  • 311