LPMMC | Grenoble | 07.11.2023

Extreme Value Theory

And

LocalIZation IN RANDOM spin chains

Jeanne Colbois

Nicolas Laflorencie

LPT | CNRS, Toulouse

J. COLBOIS | EVT AND LOCALIZATION | LPMMC | 07.11.2023

Tossing a coin

1

image/svg+xml

M. F. Schilling, The College Mathematics Journal 21(3), 196-207 (1990)

P. Révész, Proc. 1978 Int'l Cong. of Mathematicians, 749-754 (1980)

\(L = 176 \)

HTTHTHH
THTHHT

Tossing a coin

2

HTTHTHTTHTHHHTHTTHHTTHHTHTTTHHHTTHTHTHTHHTHTHTHTHTHHTHTHHTHTHTHHTHTHTHHTHTHTTHTHTHTHHHTHTHTHTTHHTHTHTHTHHTHHHTTTHHTHTHTHTHTHTHHTHTHTHHTHTHHTTHTHHTHTHTHHTHTHHTHTHTHTHTHHTHTHHTHT

176 (81 T / 95 H )

HTTTHTTTHTHTHHTHHHHHHTTTTHHHHHHHTHTHHHTTHTHHTHHTTTHHHTHHHTTHHHHTHHTHHHTTTHTHTTHTHTTHHTHTTHTHTTTTTTTHHTHTHHHTHHTTHHTTTTTHHHTTHTHTHHTHTTHTTHHHHTHTHHHTTTTTHTHTTHHTHTTHHTHHHHTHHTHT

176 (83 T / 93 H )

M. F. Schilling, The College Mathematics Journal 21(3), 196-207 (1990)

P. Révész, Proc. 1978 Int'l Cong. of Mathematicians, 749-754 (1980)

J. COLBOIS | EVT AND LOCALIZATION | LPMMC | 07.11.2023

Tossing a coin

HTTHTHTTHTHHHTHTTHHTTHHTHTTTHHHTTHTHTHTHHTHTHTHTHTHHTHTHHTHTHTHHTHTHTHHTHTHTTHTHTHTHHHTHTHTHTTHHTHTHTHTHHTHHHTTTHHTHTHTHTHTHTHHTHTHTHHTHTHHTTHTHHTHTHTHHTHTHHTHTHTHTHTHHTHTHHTHT

176 (81 T / 95 H )

HTTTHTTTHTHTHHTHHHHHHTTTTHHHHHHHTHTHHHTTHTHHTHHTTTHHHTHHHTTHHHHTHHTHHHTTTHTHTTHTHTTHHTHTTHTHTTTTTTTHHTHTHHHTHHTTHHTTTTTHHHTTHTHTHHTHTTHTTHHHHTHTHHHTTTTTHTHTTHHTHTTHHTHHHHTHHTHT

176 (83 T / 93 H )

M. F. Schilling, The College Mathematics Journal 21(3), 196-207 (1990)

P. Révész, Proc. 1978 Int'l Cong. of Mathematicians, 749-754 (1980)

image/svg+xml
\mathcal{P}(\ell) \sim 2^{-\ell}
\mathcal{P}(\ell_{\max}) \sim \frac{1}{L}
\Rightarrow \ell_{\max} \sim \ln L / \ln 2 \sim 7.45

2

J. COLBOIS | EVT AND LOCALIZATION | LPMMC | 07.11.2023

Extreme value theory

Athletic records

Market risks

Extreme floods

Large wildfires

E. J. Gumbel, Statistics of Extremes, Dover, (1958, 2004)

S. N. Majumdar, A. Pal, G. Schehr, Physics Reports, 840, 1 (2020)

3

J. COLBOIS | EVT AND LOCALIZATION | LPMMC | 07.11.2023

Extreme value theory

Athletic records

Market risks

Extreme floods

Large wildfires

E. J. Gumbel, Statistics of Extremes, Dover, (1958, 2004)

S. N. Majumdar, A. Pal, G. Schehr, Physics Reports, 840, 1 (2020)

3

J. COLBOIS | EVT AND LOCALIZATION | LPMMC | 07.11.2023

Condensed matter

Extreme value theory

Disordered spin chains

Athletic records

Market risks

Extreme floods

Large wildfires

Condensed matter

R. Juhász, Y,C. Lin, and F, Iglói, Phys. Rev. B 73, 224206 (2006)

N. Pancotti, M. Knap, D. A. Huse, J. I. Cirac, and M. C. Bañuls, Phys. Rev. B 97, 094206 (2018)

I. A. Kovács, T.Pető, and F.Iglói, Phys. Rev. Res. 3, 033140 (2021)

W.-H. Kao and N, B. Perkins,  Phys. Rev. B 106, L100402 (2022)

...

E. J. Gumbel, Statistics of Extremes, Dover, (1958, 2004)

S. N. Majumdar, A. Pal, G. Schehr, Physics Reports, 840, 1 (2020)

3

J. COLBOIS | EVT AND LOCALIZATION | LPMMC | 07.11.2023

Extreme value theory

Disordered spin chains

Athletic records

Market risks

Extreme floods

Large wildfires

Condensed matter

R. Juhász, Y,C. Lin, and F, Iglói, Phys. Rev. B 73, 224206 (2006)

N. Pancotti, M. Knap, D. A. Huse, J. I. Cirac, and M. C. Bañuls, Phys. Rev. B 97, 094206 (2018)

I. A. Kovács, T.Pető, and F.Iglói, Phys. Rev. Res. 3, 033140 (2021)

W.-H. Kao and N, B. Perkins,  Phys. Rev. B 106, L100402 (2022)

...

E. J. Gumbel, Statistics of Extremes, Dover, (1958, 2004)

S. N. Majumdar, A. Pal, G. Schehr, Physics Reports, 840, 1 (2020)

3

J. COLBOIS | EVT AND LOCALIZATION | LPMMC | 07.11.2023

Magnetization

Summary : Spin-1/2 chain in random field

4

Spin-1/2            \(W = h = \) disorder strength for random fields along \(S^z\)

J. COLBOIS | EVT AND LOCALIZATION | LPMMC | 07.11.2023

4

Spin-1/2            \(W = h = \) disorder strength for random fields along \(S^z\)

Heisenberg chain

XX chain ("many-body Anderson")

Summary : Spin-1/2 chain in random field

J. COLBOIS | EVT AND LOCALIZATION | LPMMC | 07.11.2023

4

Spin-1/2            \(W = h = \) disorder strength for random fields along \(S^z\)

E_m

Eigenstates in the middle of the many-body spectrum

Heisenberg chain

XX chain ("many-body Anderson")

Summary : Spin-1/2 chain in random field

J. COLBOIS | EVT AND LOCALIZATION | LPMMC | 07.11.2023

Distribution over disorder realizations and high-energy eigenstates

5

Anderson chain / XX chain

Summary : Spin-1/2 chain in random field

J. COLBOIS | EVT AND LOCALIZATION | LPMMC | 07.11.2023

Distribution over disorder realizations and high-energy eigenstates

5

Anderson chain / XX chain

Summary : Spin-1/2 chain in random field

J. COLBOIS | EVT AND LOCALIZATION | LPMMC | 07.11.2023

Distribution over disorder realizations and high-energy eigenstates

5

Anderson chain / XX chain

Heisenberg chain

Summary : Spin-1/2 chain in random field

J. COLBOIS | EVT AND LOCALIZATION | LPMMC | 07.11.2023

Distribution over disorder realizations and high-energy eigenstates

5

Anderson chain / XX chain

Heisenberg chain

Summary : Spin-1/2 chain in random field

J. COLBOIS | EVT AND LOCALIZATION | LPMMC | 07.11.2023

Distribution over disorder realizations and high-energy eigenstates

5

Anderson chain / XX chain

Heisenberg chain

Summary : Spin-1/2 chain in random field

J. COLBOIS | EVT AND LOCALIZATION | LPMMC | 07.11.2023

QUestions

Spin-1/2    \(W = h = \) disorder strength for random fields

6

W

Ergodic

MBL regime(s)

J. COLBOIS | EVT AND LOCALIZATION | LPMMC | 07.11.2023

Spin-1/2    \(W = h = \) disorder strength for random fields

6

W

Ergodic

MBL regime(s)

Fate of isolated

quantum systems?

QUestions

J. COLBOIS | EVT AND LOCALIZATION | LPMMC | 07.11.2023

Spin-1/2    \(W = h = \) disorder strength for random fields

6

W

Ergodic

MBL regime(s)

QUestions

J. COLBOIS | EVT AND LOCALIZATION | LPMMC | 07.11.2023

  • Toy model : single \(\xi\)

Spin-1/2    \(W = h = \) disorder strength for random fields

 

  • Quantitative description?

6

W

Ergodic

MBL regime(s)

QUestions

J. COLBOIS | EVT AND LOCALIZATION | LPMMC | 07.11.2023

  • Toy model : single \(\xi\)

Spin-1/2    \(W = h = \) disorder strength for random fields

  • Consequences?

6

W

Ergodic

MBL regime(s)

QUestions

J. COLBOIS | EVT AND LOCALIZATION | LPMMC | 07.11.2023

  • Toy model : single \(\xi\)

 

  • Quantitative description?

Scope

1. Spin chains in random field and localization : key points

2. Exact diagonalization

4. Quantitative analysis: extreme value theory

3. Minimal deviations in the XX chain

5. Consequences in the Heisenberg chain

J. COLBOIS | EVT AND LOCALIZATION | LPMMC | 07.11.2023

Spin chains in Random field and localization

Spin-1/2 chain in a random field 

7

\mathcal{H} = \sum_{i} \frac{J}{2}\left(S_i^{+} S_{i+1}^{-} + S_i^{-} S_{i+1}^{+} + 2\Delta S_i^z S_{i+1}^z\right) - \sum_{i} h_i S_i^z
S^{x,y,z} = \frac{1}{2} \sigma^{x,y,z}

J. COLBOIS | EVT AND LOCALIZATION | LPMMC | 07.11.2023

Spin-1/2 chain in a random field 

S^{x,y,z} = \frac{1}{2} \sigma^{x,y,z}
\mathcal{H}_f = \sum_{i} \Bigl[\frac{J}{2}\left(c_i^{\dagger} c_{i+1}^{\vphantom{\dagger}} + c_{i+1}^{\dagger}c_i^{\vphantom{\dagger}}+2 \Delta n_i n_{i+1} \right) -h_i n_i\Bigr]

Jordan-Wigner

Spinless fermions

(hardcore bosons)

P. Jordan and E. Wigner,  Z. Physik 47, 631–651 (1928)

\mathcal{H} = \sum_{i} \frac{J}{2}\left(S_i^{+} S_{i+1}^{-} + S_i^{-} S_{i+1}^{+} + 2\Delta S_i^z S_{i+1}^z\right) - \sum_{i} h_i S_i^z

7

J. COLBOIS | EVT AND LOCALIZATION | LPMMC | 07.11.2023

Spin-1/2 chain in a random field 

S^{x,y,z} = \frac{1}{2} \sigma^{x,y,z}

Jump

Magnetic field

\mathcal{H} = \sum_{i} \frac{J}{2}\left({\color{lightgreen}S_i^{+} S_{i+1}^{-} + S_i^{-} S_{i+1}^{+}} + {\color{#b4a7d6} 2\Delta S_i^z S_{i+1}^z}\right) - \sum_{i} {\color{#76a5af} h_i S_i^z}
\mathcal{P}(h_i) =

Spin-flip

On-site energy

\(-W\)

\(W\)

\mathcal{H}_f = \sum_{i} \Bigl[\frac{J}{2}\left({\color{lightgreen}c_i^{\dagger} c_{i+1}^{\vphantom{\dagger}} + c_{i+1}^{\dagger}c_i^{\vphantom{\dagger}}}+{\color{#b4a7d6}2 \Delta n_i n_{i+1}} \right) -{\color{#76a5af}h_i n_i}\Bigr]

Attraction/ repulsion

Attraction/ repulsion

Ising interaction

P. Jordan and E. Wigner,  Z. Physik 47, 631–651 (1928)

7

J. COLBOIS | EVT AND LOCALIZATION | LPMMC | 07.11.2023

Anderson Localization (1D)

1 particle

\mathcal{H}_f = \sum_{i} \Bigl[\frac{J}{2}\left({\color{lightgreen}c_i^{\dagger} c_{i+1}^{\vphantom{\dagger}} + c_{i+1}^{\dagger}c_i^{\vphantom{\dagger}}} \right) -{\color{#76a5af}h_i n_i}\Bigr]
\mathcal{H}_f = \sum_{m} \epsilon_m b_m^{\dagger}b_m

9

P. W. Anderson, Phys. Rev. 109, 1492 (1958); N.F. Mott & W.D. Twose,  Advances in Physics 10, 107-163, (1961) 

B. A. Van Tiggelen, In: J. P. Fouque (eds), Diffuse Waves in Complex Media, NATO Science Series, 531, Springer, Dordrecht, (1999)

J. COLBOIS | EVT AND LOCALIZATION | LPMMC | 07.11.2023

\epsilon_m

1 particle

{\xi}(E, {\color{#76a5af}W})
\mathcal{H}_f = \sum_{i} \Bigl[\frac{J}{2}\left({\color{lightgreen}c_i^{\dagger} c_{i+1}^{\vphantom{\dagger}} + c_{i+1}^{\dagger}c_i^{\vphantom{\dagger}}} \right) -{\color{#76a5af}h_i n_i}\Bigr]

P. W. Anderson, Phys. Rev. 109, 1492 (1958); N.F. Mott & W.D. Twose,  Advances in Physics 10, 107-163, (1961) 

B. A. Van Tiggelen, In: J. P. Fouque (eds), Diffuse Waves in Complex Media, NATO Science Series, 531, Springer, Dordrecht, (1999)

\epsilon_m
\mathcal{H}_f = \sum_{m} \epsilon_m b_m^{\dagger}b_m

9

J. COLBOIS | EVT AND LOCALIZATION | LPMMC | 07.11.2023

Anderson Localization (1D)

1 particle

{\xi}(E, {\color{#76a5af}W})
\mathcal{H}_f = \sum_{i} \Bigl[\frac{J}{2}\left({\color{lightgreen}c_i^{\dagger} c_{i+1}^{\vphantom{\dagger}} + c_{i+1}^{\dagger}c_i^{\vphantom{\dagger}}} \right) -{\color{#76a5af}h_i n_i}\Bigr]

P. W. Anderson, Phys. Rev. 109, 1492 (1958); N.F. Mott & W.D. Twose,  Advances in Physics 10, 107-163, (1961) 

B. A. Van Tiggelen, In: J. P. Fouque (eds), Diffuse Waves in Complex Media, NATO Science Series, 531, Springer, Dordrecht, (1999)

\epsilon_m
\mathcal{H}_f = \sum_{m} \epsilon_m b_m^{\dagger}b_m

10

J. COLBOIS | EVT AND LOCALIZATION | LPMMC | 07.11.2023

Anderson Localization (1D)

\(\epsilon\)

\(\xi(\epsilon, W)\)

"Many-Body" Anderson Insulator (= XX chain)

\(L/2\) fermions

\(S_z = 0\)

\mathcal{H}_f = \sum_{i} \Bigl[\frac{J}{2}\left({\color{lightgreen}c_i^{\dagger} c_{i+1}^{\vphantom{\dagger}} + c_{i+1}^{\dagger}c_i^{\vphantom{\dagger}}} \right) -{\color{#76a5af}h_i n_i}\Bigr]
\epsilon_m

11

J. COLBOIS | EVT AND LOCALIZATION | LPMMC | 07.11.2023

\(L/2\) fermions

\(S_z = 0\)

|\Psi \rangle = | \left\{\phi_m, m \in {\color{#56B4E9}\mathrm{occ}} \right\}\rangle
\mathcal{H}_f = \sum_{i} \Bigl[\frac{J}{2}\left({\color{lightgreen}c_i^{\dagger} c_{i+1}^{\vphantom{\dagger}} + c_{i+1}^{\dagger}c_i^{\vphantom{\dagger}}} \right) -{\color{#76a5af}h_i n_i}\Bigr]
\epsilon_m
E_m

"Many-Body" Anderson Insulator (= XX chain)

J. COLBOIS | EVT AND LOCALIZATION | LPMMC | 07.11.2023

11

Localization length

{\xi}(E, {\color{#76a5af}W})

P. W. Anderson, Phys. Rev. 109, 1492 (1958); N.F. Mott & W.D. Twose,  Advances in Physics 10, 107-163, (1961) 

B. A. Van Tiggelen, In: J. P. Fouque (eds), Diffuse Waves in Complex Media, NATO Science Series, 531, Springer, Dordrecht, (1999)

\(\epsilon\)

\(\xi(\epsilon, W)\)

J. COLBOIS | EVT AND LOCALIZATION | LPMMC | 07.11.2023

12

Localization length

{\xi}(E, {\color{#76a5af}W})

P. W. Anderson, Phys. Rev. 109, 1492 (1958); N.F. Mott & W.D. Twose,  Advances in Physics 10, 107-163, (1961) 

B. A. Van Tiggelen, In: J. P. Fouque (eds), Diffuse Waves in Complex Media, NATO Science Series, 531, Springer, Dordrecht, (1999)

\(\epsilon\)

\(\xi(\epsilon, W)\)

J. COLBOIS | EVT AND LOCALIZATION | LPMMC | 07.11.2023

12

Localization length

{\xi}(E, {\color{#76a5af}W})
\xi = \frac{1}{\ln\left(1+\left(\frac{W}{W_0}\right)^2 \right)}

\(\epsilon\)

\(\xi(\epsilon, W)\)

\xi \ll 1
W \gg 2

A. C. Potter, R. Vasseur, and S. A. Parameswaran, PRX 5, 031033 (2015)

P. W. Anderson, Phys. Rev. 109, 1492 (1958); N.F. Mott & W.D. Twose,  Advances in Physics 10, 107-163, (1961) 

B. A. Van Tiggelen, In: J. P. Fouque (eds), Diffuse Waves in Complex Media, NATO Science Series, 531, Springer, Dordrecht, (1999)

J. COLBOIS | EVT AND LOCALIZATION | LPMMC | 07.11.2023

12

Heisenberg: Effect of interactions?

\mathcal{H}_f = \sum_{i} \Bigl[\frac{J}{2}\left({\color{lightgreen}c_i^{\dagger} c_{i+1}^{\vphantom{\dagger}} + c_{i+1}^{\dagger}c_i^{\vphantom{\dagger}}}+{\color{#b4a7d6}2 \Delta n_i n_{i+1}} \right) -{\color{#76a5af}h_i n_i}\Bigr]

13

\mathcal{H} = \sum_{i} \frac{J}{2}\left({\color{lightgreen}S_i^{+} S_{i+1}^{-} + S_i^{-} S_{i+1}^{+}} + {\color{#b4a7d6} 2\Delta S_i^z S_{i+1}^z}\right) - \sum_{i} {\color{#76a5af} h_i S_i^z}

J. COLBOIS | EVT AND LOCALIZATION | LPMMC | 07.11.2023

\mathcal{H}_f = \sum_{i} \Bigl[\frac{J}{2}\left({\color{lightgreen}c_i^{\dagger} c_{i+1}^{\vphantom{\dagger}} + c_{i+1}^{\dagger}c_i^{\vphantom{\dagger}}}+{\color{#b4a7d6}2 \Delta n_i n_{i+1}} \right) -{\color{#76a5af}h_i n_i}\Bigr]
\mathcal{H} = \sum_{i} \frac{J}{2}\left({\color{lightgreen}S_i^{+} S_{i+1}^{-} + S_i^{-} S_{i+1}^{+}} + {\color{#b4a7d6} 2\Delta S_i^z S_{i+1}^z}\right) - \sum_{i} {\color{#76a5af} h_i S_i^z}
\mathcal{H} = \sum_m \epsilon_m b_m^{\dagger} b_m + \sum_{j,k,l,m} {\color{#ff9900}V_{j,k,l,m} b_j^{\dagger} b_k^{\dagger} b_l b_m}

In the Anderson basis: 

Anderson 

orbitals \(m\)

13

P. W. Anderson, Phys. Rev. 109, 1492 (1958)

J. COLBOIS | EVT AND LOCALIZATION | LPMMC | 07.11.2023

Heisenberg: Effect of interactions?

\mathcal{H}_f = \sum_{i} \Bigl[\frac{J}{2}\left({\color{lightgreen}c_i^{\dagger} c_{i+1}^{\vphantom{\dagger}} + c_{i+1}^{\dagger}c_i^{\vphantom{\dagger}}}+{\color{#b4a7d6}2 \Delta n_i n_{i+1}} \right) -{\color{#76a5af}h_i n_i}\Bigr]
\mathcal{H} = \sum_{i} \frac{J}{2}\left({\color{lightgreen}S_i^{+} S_{i+1}^{-} + S_i^{-} S_{i+1}^{+}} + {\color{#b4a7d6} 2\Delta S_i^z S_{i+1}^z}\right) - \sum_{i} {\color{#76a5af} h_i S_i^z}
\mathcal{H} = \sum_m \epsilon_m b_m^{\dagger} b_m + \sum_{j,k,l,m} {\color{#ff9900}V_{j,k,l,m} b_j^{\dagger} b_k^{\dagger} b_l b_m}

In the Anderson basis: 

Anderson 

orbitals \(m\)

14

P. W. Anderson, Phys. Rev. 109, 1492 (1958)

Interactions favor delocalization. Do they fully destroy localization?

J. COLBOIS | EVT AND LOCALIZATION | LPMMC | 07.11.2023

Heisenberg: Effect of interactions?

Effect of interactions? GRound state 

15

\mathcal{H}_f = \sum_{i} \Bigl[\frac{J}{2}\left({\color{lightgreen}c_i^{\dagger} c_{i+1}^{\vphantom{\dagger}} + c_{i+1}^{\dagger}c_i^{\vphantom{\dagger}}}+{\color{#b4a7d6}2 \Delta n_i n_{i+1}} \right) -{\color{#76a5af}h_i n_i}\Bigr]
\mathcal{H} = \sum_{i} \frac{J}{2}\left({\color{lightgreen}S_i^{+} S_{i+1}^{-} + S_i^{-} S_{i+1}^{+}} + {\color{#b4a7d6} 2\Delta S_i^z S_{i+1}^z}\right) - \sum_{i} {\color{#76a5af} h_i S_i^z}

Do interactions destroy localization?

J. COLBOIS | EVT AND LOCALIZATION | LPMMC | 07.11.2023

Effect of interactions? GRound state 

15

\mathcal{H}_f = \sum_{i} \Bigl[\frac{J}{2}\left({\color{lightgreen}c_i^{\dagger} c_{i+1}^{\vphantom{\dagger}} + c_{i+1}^{\dagger}c_i^{\vphantom{\dagger}}}+{\color{#b4a7d6}2 \Delta n_i n_{i+1}} \right) -{\color{#76a5af}h_i n_i}\Bigr]
\mathcal{H} = \sum_{i} \frac{J}{2}\left({\color{lightgreen}S_i^{+} S_{i+1}^{-} + S_i^{-} S_{i+1}^{+}} + {\color{#b4a7d6} 2\Delta S_i^z S_{i+1}^z}\right) - \sum_{i} {\color{#76a5af} h_i S_i^z}

Do interactions destroy localization?

T. Giamarchi and H. J. Schulz, EPL 3 1287 (1987); PRB 37, 325 (1988)

Z. Ristivojevic, et al PRL 109, 026402 (2012);

Doggen et al, PRB 96, 180202(R) (2017)

J. COLBOIS | EVT AND LOCALIZATION | LPMMC | 07.11.2023

Effect of interactions?

16

\mathcal{H}_f = \sum_{i} \Bigl[\frac{J}{2}\left({\color{lightgreen}c_i^{\dagger} c_{i+1}^{\vphantom{\dagger}} + c_{i+1}^{\dagger}c_i^{\vphantom{\dagger}}}+{\color{#b4a7d6}2 \Delta n_i n_{i+1}} \right) -{\color{#76a5af}h_i n_i}\Bigr]
\mathcal{H} = \sum_{i} \frac{J}{2}\left({\color{lightgreen}S_i^{+} S_{i+1}^{-} + S_i^{-} S_{i+1}^{+}} + {\color{#b4a7d6} 2\Delta S_i^z S_{i+1}^z}\right) - \sum_{i} {\color{#76a5af} h_i S_i^z}

Do interactions destroy localization?

What about high temperatures / high energy eigenstates?

T. Giamarchi and H. J. Schulz, EPL 3 1287 (1987); PRB 37, 325 (1988)

Z. Ristivojevic, et al PRL 109, 026402 (2012);

Doggen et al, PRB 96, 180202(R) (2017)

J. COLBOIS | EVT AND LOCALIZATION | LPMMC | 07.11.2023

Effect of interactions? 

16

\mathcal{H}_f = \sum_{i} \Bigl[\frac{J}{2}\left({\color{lightgreen}c_i^{\dagger} c_{i+1}^{\vphantom{\dagger}} + c_{i+1}^{\dagger}c_i^{\vphantom{\dagger}}}+{\color{#b4a7d6}2 \Delta n_i n_{i+1}} \right) -{\color{#76a5af}h_i n_i}\Bigr]
\mathcal{H} = \sum_{i} \frac{J}{2}\left({\color{lightgreen}S_i^{+} S_{i+1}^{-} + S_i^{-} S_{i+1}^{+}} + {\color{#b4a7d6} 2\Delta S_i^z S_{i+1}^z}\right) - \sum_{i} {\color{#76a5af} h_i S_i^z}

Do interactions destroy localization?

T. Giamarchi and H. J. Schulz, EPL 3 1287 (1987); PRB 37, 325 (1988)

Z. Ristivojevic, et al PRL 109, 026402 (2012);

Doggen et al, PRB 96, 180202(R) (2017)

What about high temperatures / high energy eigenstates?

J. M. Deutsch , PRA. 43, 2046–2049, (1991) ,

M. Srednicki, PRE 50,  888–901, (1994)

L. D’Alessio, Y. Kafri, A. Polkovnikov, and M. Rigol, Adv. Phys. 65, 239 (2016)

Do isolated quantum systems thermalize?

Thermal average 

?

ETH

Time average

J. COLBOIS | EVT AND LOCALIZATION | LPMMC | 07.11.2023

Weak interactions and disorder

17

Analytical, general picture:

 

\mathcal{H}_f = \sum_{i} \Bigl[\frac{J}{2}\left({\color{lightgreen}c_i^{\dagger} c_{i+1}^{\vphantom{\dagger}} + c_{i+1}^{\dagger}c_i^{\vphantom{\dagger}}}+{\color{#b4a7d6}2 \Delta n_i n_{i+1}} \right) -{\color{#76a5af}h_i n_i}\Bigr]

L. Fleischman, P. W. Anderson, PRB 2, 2336 (1980) \(\rightarrow\) single-particle excitations and conditions for Anderson transition

B. Altschuler, Y. Gefen, A. Kamenev, L. S. Levitov, PRL 78,  2803, (1997) \(\rightarrow\) quasi particle lifetime & localization in Fock space

P. Jacquod, D. L. Shepelyansky, PRL 79, 1837 (1997) \(\rightarrow\) Gap ratio statistics, finite systems

I. V. Gornyi, A. D. Mirlin, D. G. Polyakov, PRL 95, 206603 (2005) \(\rightarrow\) zero  conductivity at low temperature

*D. M. Basko, I. L. Aleiner, B. L. Altschuler, Annals of Physics 321, 1126 (2006) \(\rightarrow\) metal-insulator transition, localization in Fock space

I.L. Aleiner, B. L. Altshuler, G. V Shlyapnikov, Nature Physics 6, 900-904 (2010) \(\rightarrow\) weakly interacting bosons

J. COLBOIS | EVT AND LOCALIZATION | LPMMC | 07.11.2023

Weak interactions and disorder

Analytical, general picture:

Interactions \(\Rightarrow\) transition between weak and strong disorder

\mathcal{H}_f = \sum_{i} \Bigl[\frac{J}{2}\left({\color{lightgreen}c_i^{\dagger} c_{i+1}^{\vphantom{\dagger}} + c_{i+1}^{\dagger}c_i^{\vphantom{\dagger}}}+{\color{#b4a7d6}2 \Delta n_i n_{i+1}} \right) -{\color{#76a5af}h_i n_i}\Bigr]

disorder

interactions

Anderson localized

Delocalized

Ergodic

Insulator

L. Fleischman, P. W. Anderson, PRB 2, 2336 (1980) \(\rightarrow\) single-particle excitations and conditions for Anderson transition

B. Altschuler, Y. Gefen, A. Kamenev, L. S. Levitov, PRL 78,  2803, (1997) \(\rightarrow\) quasi particle lifetime & localization in Fock space

P. Jacquod, D. L. Shepelyansky, PRL 79, 1837 (1997) \(\rightarrow\) Gap ratio statistics, finite systems

I. V. Gornyi, A. D. Mirlin, D. G. Polyakov, PRL 95, 206603 (2005) \(\rightarrow\) zero  conductivity at low temperature

*D. M. Basko, I. L. Aleiner, B. L. Altschuler, Annals of Physics 321, 1126 (2006) \(\rightarrow\) metal-insulator transition, localization in Fock space

I.L. Aleiner, B. L. Altshuler, G. V Shlyapnikov, Nature Physics 6, 900-904 (2010) \(\rightarrow\) weakly interacting bosons

17

J. COLBOIS | EVT AND LOCALIZATION | LPMMC | 07.11.2023

18

Heisenberg in random field : A paradigmatic example

\mathcal{H} = \sum_{i} \frac{J}{2}\left({\color{lightgreen}S_i^{+} S_{i+1}^{-} + S_i^{-} S_{i+1}^{+}} + {\color{#b4a7d6} 2\Delta S_i^z S_{i+1}^z}\right) - \sum_{i} {\color{#76a5af} h_i S_i^z}

A few among many...

D. A. Abanin, E. Altman, I. Bloch, and M. Serbyn, Rev. Mod. Phys. 91, 021001 (2019)            F. Alet, N. Laflorencie, C. R. Phys. 19,498 (2018)

A. Pal, D. Huse, PRB 82, 174411 2010

(See series of works by V. Oganesyan, A. Pal, D. Huse, 2007-2010)

Exact diagonalization

disorder

gap ratio

Probes: gap ratio 

J. COLBOIS | EVT AND LOCALIZATION | LPMMC | 07.11.2023

18

Heisenberg in random field : A paradigmatic example

\mathcal{H} = \sum_{i} \frac{J}{2}\left({\color{lightgreen}S_i^{+} S_{i+1}^{-} + S_i^{-} S_{i+1}^{+}} + {\color{#b4a7d6} 2\Delta S_i^z S_{i+1}^z}\right) - \sum_{i} {\color{#76a5af} h_i S_i^z}

A few among many...

D. A. Abanin, E. Altman, I. Bloch, and M. Serbyn, Rev. Mod. Phys. 91, 021001 (2019)            F. Alet, N. Laflorencie, C. R. Phys. 19,498 (2018)

Gaussian orthogonal ensemble statistics = random matrix

level repulsion

\(\leftrightarrow\) ergodic

A. Pal, D. Huse, PRB 82, 174411 2010

(See series of works by V. Oganesyan, A. Pal, D. Huse, 2007-2010)

Exact diagonalization

disorder

gap ratio

Probes: gap ratio 

J. COLBOIS | EVT AND LOCALIZATION | LPMMC | 07.11.2023

18

Heisenberg in random field : A paradigmatic example

\mathcal{H} = \sum_{i} \frac{J}{2}\left({\color{lightgreen}S_i^{+} S_{i+1}^{-} + S_i^{-} S_{i+1}^{+}} + {\color{#b4a7d6} 2\Delta S_i^z S_{i+1}^z}\right) - \sum_{i} {\color{#76a5af} h_i S_i^z}

A few among many...

D. A. Abanin, E. Altman, I. Bloch, and M. Serbyn, Rev. Mod. Phys. 91, 021001 (2019)            F. Alet, N. Laflorencie, C. R. Phys. 19,498 (2018)

Gaussian orthogonal ensemble statistics = random matrix

level repulsion

\(\leftrightarrow\) ergodic

Poisson statistics 

non-ergodic

A. Pal, D. Huse, PRB 82, 174411 2010

(See series of works by V. Oganesyan, A. Pal, D. Huse, 2007-2010)

Exact diagonalization

disorder

gap ratio

Probes: gap ratio 

J. COLBOIS | EVT AND LOCALIZATION | LPMMC | 07.11.2023

19

Heisenberg in random field : A paradigmatic example

\mathcal{H} = \sum_{i} \frac{J}{2}\left({\color{lightgreen}S_i^{+} S_{i+1}^{-} + S_i^{-} S_{i+1}^{+}} + {\color{#b4a7d6} 2\Delta S_i^z S_{i+1}^z}\right) - \sum_{i} {\color{#76a5af} h_i S_i^z}

A few among many...

D. A. Abanin, E. Altman, I. Bloch, and M. Serbyn, Rev. Mod. Phys. 91, 021001 (2019)            F. Alet, N. Laflorencie, C. R. Phys. 19,498 (2018)

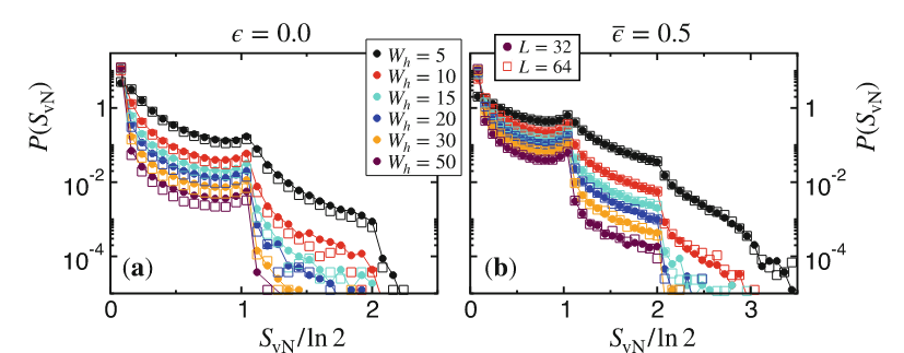
Probes: gap ratio  |  entanglement entropy 

Initial \(S^z\) basis random product state

+

TEBD

 

W = 5

Anderson

No growth

of entanglement

J. H. Bardarson, F. Pollmann, and J. E. Moore, PRL 109, 017202 (2012)

M. Znidaric, T. Prosen, and P. Prelovsek PRB 77, 064426 (2008)

J. COLBOIS | EVT AND LOCALIZATION | LPMMC | 07.11.2023

Heisenberg in random field : A paradigmatic example

\mathcal{H} = \sum_{i} \frac{J}{2}\left({\color{lightgreen}S_i^{+} S_{i+1}^{-} + S_i^{-} S_{i+1}^{+}} + {\color{#b4a7d6} 2\Delta S_i^z S_{i+1}^z}\right) - \sum_{i} {\color{#76a5af} h_i S_i^z}

A few among many...

D. A. Abanin, E. Altman, I. Bloch, and M. Serbyn, Rev. Mod. Phys. 91, 021001 (2019)            F. Alet, N. Laflorencie, C. R. Phys. 19,498 (2018)

Probes: gap ratio  |  entanglement entropy 

Anderson

No growth

of entanglement

J. H. Bardarson, F. Pollmann, and J. E. Moore, PRL 109, 017202 (2012)

M. Znidaric, T. Prosen, and P. Prelovsek PRB 77, 064426 (2008)

Many body

Log growth

of entanglement

19

Initial \(S^z\) basis random product state

+

TEBD

 

W = 5

J. COLBOIS | EVT AND LOCALIZATION | LPMMC | 07.11.2023

20

Heisenberg in random field : A paradigmatic example

\mathcal{H} = \sum_{i} \frac{J}{2}\left({\color{lightgreen}S_i^{+} S_{i+1}^{-} + S_i^{-} S_{i+1}^{+}} + {\color{#b4a7d6} 2\Delta S_i^z S_{i+1}^z}\right) - \sum_{i} {\color{#76a5af} h_i S_i^z}

\(\frac{E -E_{\min}}{E_{\max}-E_{\min}}\)

D. J. Luitz, N. Laflorencie, F. Alet, PRB 91, 081103(R) (2015) 

A few among many...

D. A. Abanin, E. Altman, I. Bloch, and M. Serbyn, Rev. Mod. Phys. 91, 021001 (2019)            F. Alet, N. Laflorencie, C. R. Phys. 19,498 (2018)

Probes: gap ratio  |  entanglement entropy  |  participation entropy 

|\Psi\rangle = \sum_{\alpha = 1}^{\mathcal{N}} \psi_{\alpha} |\alpha \rangle
S_q = \frac{1}{1-q} \ln\left(\sum_{\alpha=1}^{\mathcal{N}} |\psi_{\alpha}|^{2q}\right)

Configuration space

S_q = a_q \ln(\mathcal{N})

J. COLBOIS | EVT AND LOCALIZATION | LPMMC | 07.11.2023

20

Heisenberg in random field : A paradigmatic example

\mathcal{H} = \sum_{i} \frac{J}{2}\left({\color{lightgreen}S_i^{+} S_{i+1}^{-} + S_i^{-} S_{i+1}^{+}} + {\color{#b4a7d6} 2\Delta S_i^z S_{i+1}^z}\right) - \sum_{i} {\color{#76a5af} h_i S_i^z}

A few among many...

D. A. Abanin, E. Altman, I. Bloch, and M. Serbyn, Rev. Mod. Phys. 91, 021001 (2019)            F. Alet, N. Laflorencie, C. R. Phys. 19,498 (2018)

Probes: gap ratio  |  entanglement entropy  |  participation entropy  | imbalance [...]

M. Schreiber et al. (I. Bloch) , Science 349, 842 (2015) 

J. COLBOIS | EVT AND LOCALIZATION | LPMMC | 07.11.2023

Aubry-André Model with interactions :

1D system of ultracold fermions

W

Ergodic

MBL 

2016

Finite L

debate

21

J. COLBOIS | EVT AND LOCALIZATION | LPMMC | 07.11.2023

W

Ergodic

MBL 

2016

Finite L

  • Finite-size scaling? Location of the transition?
  • Destabilization by ergodic bubbles even at strong disorder?
  • Immediate onset of quantum chaos? Intermediate phase(s)?

debate

21

W

Ergodic

MBL phase/ regimes?

Prethermal

regime?

2023

J. Šuntajs, J. Bonča, T. Prosen, and L. Vidmar, PRE 102, 062144 (2020); D.A. Abanin, et al, Annals of Physics 427, 168415, (2021); 

D. Sels, A. Polkovnikov, JCCM January 2023_1 (2023); Tyler LeBlond, Dries Sels, Anatoli Polkovnikov, and Marcos Rigol, PRB 104, L201117 (2021);  A. Morningstar et al, PRB 105, 174205 (2022); L. Colmenarez, D. Luitz, W. De Roeck, arXiv:2308.01350 (2023); P, Sierant and J. Zakrzewski, PRB 105, 224203 (2022)...

J. COLBOIS | EVT AND LOCALIZATION | LPMMC | 07.11.2023

W

Ergodic

MBL 

2016

Finite L

  • Finite-size scaling? Location of the transition?
  • Destabilization by ergodic bubbles even at strong disorder?
  • Immediate onset of quantum chaos? Intermediate phase(s)?

debate

21

W

Ergodic

MBL phase/ regimes?

Prethermal

regime?

For today :  Magnetization, ED data and comparison to the Anderson line

J. Šuntajs, J. Bonča, T. Prosen, and L. Vidmar, PRE 102, 062144 (2020); D.A. Abanin, et al, Annals of Physics 427, 168415, (2021); 

D. Sels, A. Polkovnikov, JCCM January 2023_1 (2023); Tyler LeBlond, Dries Sels, Anatoli Polkovnikov, and Marcos Rigol, PRB 104, L201117 (2021);  A. Morningstar et al, PRB 105, 174205 (2022); L. Colmenarez, D. Luitz, W. De Roeck, arXiv:2308.01350 (2023); P, Sierant and J. Zakrzewski, PRB 105, 224203 (2022)...

2023

J. COLBOIS | EVT AND LOCALIZATION | LPMMC | 07.11.2023

Exact diagonalization

challenge

22

 

  • Many-body                                            

 

\mathcal{N} = \frac{L!}{\left(\frac{L}{2}!\right)^2}

Simulations of Many-Body Localizable (MBL) lattices models | Fabien Alet | Cargese

J. COLBOIS | EVT AND LOCALIZATION | LPMMC | 07.11.2023

challenge

 

  • Many-body                                            

 

  • Disorder \(\rightarrow\) translation invariance, high number of realisations

 

 

\mathcal{N} = \frac{L!}{\left(\frac{L}{2}!\right)^2}

22

Simulations of Many-Body Localizable (MBL) lattices models | Fabien Alet | Cargese

J. COLBOIS | EVT AND LOCALIZATION | LPMMC | 07.11.2023

challenge

22

 

  • Many-body                                            

 

  • Disorder \(\rightarrow\) translation invariance, high number of realisations

 

  • High-energy eigenstates 

 

  • High density of eigenstates

 

  • Potential absence of thermalization

 

\mathcal{N} = \frac{L!}{\left(\frac{L}{2}!\right)^2}

Simulations of Many-Body Localizable (MBL) lattices models | Fabien Alet | Cargese

J. COLBOIS | EVT AND LOCALIZATION | LPMMC | 07.11.2023

23

spectral transformation

\mathcal{N} = \frac{L!}{\left(\frac{L}{2}!\right)^2}

High energy eigenstates close to \(\epsilon = \sigma\), high dos

\(L = 14, S^z_{\mathrm{tot}} = 0\), clean case

 

D. Luitz, N. Laflorencie, F. Alet, PRB 91, 081103(R) (2015)

F. Pietracaprina, et al, .SciPost Phys. 5, 045 (2018)

P. Sierant et al, PRL 125, 156601 (2020)

J. COLBOIS | EVT AND LOCALIZATION | LPMMC | 07.11.2023

spectral transformation

\mathcal{N} = \frac{L!}{\left(\frac{L}{2}!\right)^2}

High energy eigenstates close to \(\epsilon = \sigma\), high dos

Idea : transform the spectrum!

F = (H - \sigma)^2

\(L = 14, S^z_{\mathrm{tot}} = 0\), clean case

 

D. Luitz, N. Laflorencie, F. Alet, PRB 91, 081103(R) (2015)

F. Pietracaprina, et al, .SciPost Phys. 5, 045 (2018)

P. Sierant et al, PRL 125, 156601 (2020)

23

J. COLBOIS | EVT AND LOCALIZATION | LPMMC | 07.11.2023

spectral transformation

\mathcal{N} = \frac{L!}{\left(\frac{L}{2}!\right)^2}

High energy eigenstates close to \(\epsilon = \sigma\), high dos

Idea : transform the spectrum!

F = (H - \sigma)^2

\(L = 14, S^z_{\mathrm{tot}} = 0\), clean case

 

D. Luitz, N. Laflorencie, F. Alet, PRB 91, 081103(R) (2015)

F. Pietracaprina, et al, .SciPost Phys. 5, 045 (2018)

P. Sierant et al, PRL 125, 156601 (2020)

23

J. COLBOIS | EVT AND LOCALIZATION | LPMMC | 07.11.2023

spectral transformation

\mathcal{N} = \frac{L!}{\left(\frac{L}{2}!\right)^2}

High energy eigenstates close to \(\epsilon = \sigma\), high dos

Idea : transform the spectrum!

F = (H - \sigma)^2
G = (H - \sigma)^{-1}

\(L = 14, S^z_{\mathrm{tot}} = 0\), clean case

 

D. Luitz, N. Laflorencie, F. Alet, PRB 91, 081103(R) (2015)

F. Pietracaprina, et al, .SciPost Phys. 5, 045 (2018)

P. Sierant et al, PRL 125, 156601 (2020)

23

J. COLBOIS | EVT AND LOCALIZATION | LPMMC | 07.11.2023

spectral transformation

\mathcal{N} = \frac{L!}{\left(\frac{L}{2}!\right)^2}

High energy eigenstates close to \(\epsilon = \sigma\), high dos

Idea : transform the spectrum!

F = (H - \sigma)^2
G = (H - \sigma)^{-1}
 

D. Luitz, N. Laflorencie, F. Alet, PRB 91, 081103(R) (2015)

F. Pietracaprina, et al, .SciPost Phys. 5, 045 (2018)

P. Sierant et al, PRL 125, 156601 (2020)

\(L = 14, S^z_{\mathrm{tot}} = 0\), clean case

Do not invert!

Solve \((H-\sigma) \vec{y} = \vec{x}\)

23

J. COLBOIS | EVT AND LOCALIZATION | LPMMC | 07.11.2023

spectral transformation

\mathcal{N} = \frac{L!}{\left(\frac{L}{2}!\right)^2}

High energy eigenstates close to \(\epsilon = \sigma\), high dos

Idea : transform the spectrum!

F = (H - \sigma)^2
G = (H - \sigma)^{-1}
G = "\sum_k \alpha_k H^k"

\(L = 14, S^z_{\mathrm{tot}} = 0\), clean case

 

D. Luitz, N. Laflorencie, F. Alet, PRB 91, 081103(R) (2015)

F. Pietracaprina, et al, .SciPost Phys. 5, 045 (2018)

P. Sierant et al, PRL 125, 156601 (2020)

23

J. COLBOIS | EVT AND LOCALIZATION | LPMMC | 07.11.2023

spectral transformation

\mathcal{N} = \frac{L!}{\left(\frac{L}{2}!\right)^2}

High energy eigenstates close to \(\epsilon = \sigma\), high dos

Idea : transform the spectrum!

F = (H - \sigma)^2
G = (H - \sigma)^{-1}
G = "\sum_k \alpha_k H^k"

\(L = 14, S^z_{\mathrm{tot}} = 0\), clean case

 

D. Luitz, N. Laflorencie, F. Alet, PRB 91, 081103(R) (2015)

F. Pietracaprina, et al, .SciPost Phys. 5, 045 (2018)

P. Sierant et al, PRL 125, 156601 (2020)

Up to 22, 24 sites

\(\mathcal{N} > 2\cdot 10^6\)

# non-zero el. \(> 3 \cdot 10^7 \)

23

J. COLBOIS | EVT AND LOCALIZATION | LPMMC | 07.11.2023

Magnetization distributions

24

Anderson chain / XX chain

N. Laflorencie, G. Lemarié, N. Macé, PRR 2, 042033(R) (2020)

J. C., N. Laflorencie, arXiv:2305.10574

J. COLBOIS | EVT AND LOCALIZATION | LPMMC | 07.11.2023

Magnetization distributions

Anderson chain / XX chain

\delta_i = 1/2 - | \langle S_i^z \rangle |

N. Laflorencie, G. Lemarié, N. Macé, PRR 2, 042033(R) (2020)

J. C., N. Laflorencie, arXiv:2305.10574

24

J. COLBOIS | EVT AND LOCALIZATION | LPMMC | 07.11.2023

Magnetization distributions

Anderson chain / XX chain

Heisenberg chain

\delta_i = 1/2 - | \langle S_i^z \rangle |

24

V. Khemani, F. Pollmann, and S. L. Sondhi, PRL 116, 247204 (2016)

S. P. Lim and D. N. Sheng, PRB 94, 045111 (2016)

D. J. Luitz and Y. Bar Lev, PRL 117, 170404 (2016)

M. Dupont and N. Laflorencie, PRB 99, 020202(R) (2019)

M. Hopjan and F. Heidrich-Meisner, Phys. Rev. A 101, 063617 (2020)

N. Laflorencie, G. Lemarié, N. Macé, PRR 2, 042033(R) (2020)

J. C., N. Laflorencie, arXiv:2305.10574

J. COLBOIS | EVT AND LOCALIZATION | LPMMC | 07.11.2023

Magnetization distributions

\(L\) increases

Anderson chain / XX chain

Heisenberg chain

\delta_i = 1/2 - | \langle S_i^z \rangle |

24

V. Khemani, F. Pollmann, and S. L. Sondhi, PRL 116, 247204 (2016)

S. P. Lim and D. N. Sheng, PRB 94, 045111 (2016)

D. J. Luitz and Y. Bar Lev, PRL 117, 170404 (2016)

M. Dupont and N. Laflorencie, PRB 99, 020202(R) (2019)

M. Hopjan and F. Heidrich-Meisner, Phys. Rev. A 101, 063617 (2020)

N. Laflorencie, G. Lemarié, N. Macé, PRR 2, 042033(R) (2020)

J. C., N. Laflorencie, arXiv:2305.10574

J. COLBOIS | EVT AND LOCALIZATION | LPMMC | 07.11.2023

Magnetization distributions

\(L\) increases

Anderson chain / XX chain

Heisenberg chain

\delta_i = 1/2 - | \langle S_i^z \rangle |

24

V. Khemani, F. Pollmann, and S. L. Sondhi, PRL 116, 247204 (2016)

S. P. Lim and D. N. Sheng, PRB 94, 045111 (2016)

D. J. Luitz and Y. Bar Lev, PRL 117, 170404 (2016)

M. Dupont and N. Laflorencie, PRB 99, 020202(R) (2019)

M. Hopjan and F. Heidrich-Meisner, Phys. Rev. A 101, 063617 (2020)

N. Laflorencie, G. Lemarié, N. Macé, PRR 2, 042033(R) (2020)

J. C., N. Laflorencie, arXiv:2305.10574

J. COLBOIS | EVT AND LOCALIZATION | LPMMC | 07.11.2023

Magnetization distributions

25

\(L\) increases

Anderson chain / XX chain

Heisenberg chain

\delta_i = 1/2 - | \langle S_i^z \rangle |

V. Khemani, F. Pollmann, and S. L. Sondhi, PRL 116, 247204 (2016)

S. P. Lim and D. N. Sheng, PRB 94, 045111 (2016)

D. J. Luitz and Y. Bar Lev, PRL 117, 170404 (2016)

M. Dupont and N. Laflorencie, PRB 99, 020202(R) (2019)

M. Hopjan and F. Heidrich-Meisner, Phys. Rev. A 101, 063617 (2020)

N. Laflorencie, G. Lemarié, N. Macé, PRR 2, 042033(R) (2020)

J. C., N. Laflorencie, arXiv:2305.10574

J. COLBOIS | EVT AND LOCALIZATION | LPMMC | 07.11.2023

Minimal deviations in the XX chain  - TOy model

ED on one sample - XX (ANDERSON) CHAIN

J. C., N. Laflorencie, arXiv:2305.10574

26

J. COLBOIS | EVT AND LOCALIZATION | LPMMC | 07.11.2023

\delta_i = 1/2 -| \langle S_i^z \rangle|

Some eigenstate

ED on one sample - XX (ANDERSON) CHAIN

J. C., N. Laflorencie, arXiv:2305.10574

26

J. COLBOIS | EVT AND LOCALIZATION | LPMMC | 07.11.2023

\delta_i = 1/2 -| \langle S_i^z \rangle|

Some eigenstate

ED on one sample - XX (ANDERSON) CHAIN

J. C., N. Laflorencie, arXiv:2305.10574

26

J. COLBOIS | EVT AND LOCALIZATION | LPMMC | 07.11.2023

\delta_i = 1/2 -| \langle S_i^z \rangle|

Some eigenstate

ED on one sample - XX (ANDERSON) CHAIN

J. C., N. Laflorencie, arXiv:2305.10574

26

J. COLBOIS | EVT AND LOCALIZATION | LPMMC | 07.11.2023

\delta_i = 1/2 -| \langle S_i^z \rangle|

Some eigenstate

ED on one sample - XX (ANDERSON) CHAIN

J. C., N. Laflorencie, arXiv:2305.10574

26

J. COLBOIS | EVT AND LOCALIZATION | LPMMC | 07.11.2023

Spin Freezing

\delta_i = 1/2 -| \langle S_i^z \rangle|

Some eigenstate

J. C., N. Laflorencie, arXiv:2305.10574

26

J. COLBOIS | EVT AND LOCALIZATION | LPMMC | 07.11.2023

\delta_i = 1/2 -| \langle S_i^z \rangle|

Some eigenstate

Spin Freezing

J. C., N. Laflorencie, arXiv:2305.10574

26

J. COLBOIS | EVT AND LOCALIZATION | LPMMC | 07.11.2023

\delta_i = 1/2 -| \langle S_i^z \rangle|

Some eigenstate

Spin Freezing

J. C., N. Laflorencie, arXiv:2305.10574

SPIN FREEZING!

26

J. COLBOIS | EVT AND LOCALIZATION | LPMMC | 07.11.2023

\delta_i = 1/2 -| \langle S_i^z \rangle|

SPIN FREEZING!

Some eigenstate

Spin Freezing

J. C., N. Laflorencie, arXiv:2305.10574

26

J. COLBOIS | EVT AND LOCALIZATION | LPMMC | 07.11.2023

Dupont, Macé, Laflorencie, PRB 100, 134201, (2019)

Laflorencie, Lemarié, Macé, PRR 2, 042033(R), (2020)

JC, N. Laflorencie, arXiv:2305.10574

Toy model : analytical description

27

J. COLBOIS | EVT AND LOCALIZATION | LPMMC | 07.11.2023

|\phi_m(i)|^2 \propto \exp\left(-\frac{|i - i_0^m|}{{\xi}}\right)

Dupont, Macé, Laflorencie, PRB 100, 134201, (2019)

Laflorencie, Lemarié, Macé, PRR 2, 042033(R), (2020)

JC, N. Laflorencie, arXiv:2305.10574

Toy model : analytical description

27

J. COLBOIS | EVT AND LOCALIZATION | LPMMC | 07.11.2023

|\phi_m(i)|^2 \propto \exp\left(-\frac{|i - i_0^m|}{{\xi}}\right)

Toy model : analytical description

\Rightarrow \langle n_i \rangle = \langle S_i^z \rangle + 1/2 = \sum_{m \in {\color{#56B4E9}\mathrm{occ}}} |\phi_m(i)|^2

Dupont, Macé, Laflorencie, PRB 100, 134201, (2019)

Laflorencie, Lemarié, Macé, PRR 2, 042033(R), (2020)

JC, N. Laflorencie, arXiv:2305.10574

27

J. COLBOIS | EVT AND LOCALIZATION | LPMMC | 07.11.2023

Minimal deviation?

28

Dupont, Macé, Laflorencie, PRB 100, 134201, (2019)

Laflorencie, Lemarié, Macé, PRR 2, 042033(R), (2020)

JC, N. Laflorencie, arXiv:2305.10574

\delta_i = 1/2 -|\langle n_i \rangle -1/2|
|\phi_m(i)|^2 \propto \exp\left(-\frac{|i - i_0^m|}{{\xi}}\right)

J. COLBOIS | EVT AND LOCALIZATION | LPMMC | 07.11.2023

r
\delta_i = 1/2 -|\langle n_i \rangle -1/2|
\delta_i = \langle n_i \rangle
\ell_{\mathrm{cluster}}

Minimal deviation?

Dupont, Macé, Laflorencie, PRB 100, 134201, (2019)

Laflorencie, Lemarié, Macé, PRR 2, 042033(R), (2020)

JC, N. Laflorencie, arXiv:2305.10574

|\phi_m(i)|^2 \propto \exp\left(-\frac{|i - i_0^m|}{{\xi}}\right)

28

J. COLBOIS | EVT AND LOCALIZATION | LPMMC | 07.11.2023

r
\delta_i = 1/2 -|\langle n_i \rangle -1/2|
\delta_i = \langle n_i \rangle\approx e^{-\frac{r}{\xi} } + \dots
\ell_{\mathrm{cluster}}

Minimal deviation?

Dupont, Macé, Laflorencie, PRB 100, 134201, (2019)

Laflorencie, Lemarié, Macé, PRR 2, 042033(R), (2020)

JC, N. Laflorencie, arXiv:2305.10574

|\phi_m(i)|^2 \propto \exp\left(-\frac{|i - i_0^m|}{{\xi}}\right)

28

J. COLBOIS | EVT AND LOCALIZATION | LPMMC | 07.11.2023

r
\delta_i = 1/2 -|\langle n_i \rangle -1/2|
\delta_i = \langle n_i \rangle\approx e^{-\frac{r}{\xi} } + \dots
\ell_{\mathrm{cluster}}
\Rightarrow \quad \delta_{\min} \approx e^{-\frac{\ell_{\mathrm{cluster}}}{2\xi}}

Minimal deviation?

Dupont, Macé, Laflorencie, PRB 100, 134201, (2019)

Laflorencie, Lemarié, Macé, PRR 2, 042033(R), (2020)

JC, N. Laflorencie, arXiv:2305.10574

|\phi_m(i)|^2 \propto \exp\left(-\frac{|i - i_0^m|}{{\xi}}\right)

28

J. COLBOIS | EVT AND LOCALIZATION | LPMMC | 07.11.2023

r
\delta_i = 1/2 -|\langle n_i \rangle -1/2|
\delta_i = \langle n_i \rangle\approx e^{-\frac{r}{\xi} } + \dots
\ell_{\mathrm{cluster}}
\Rightarrow \quad \delta_{\min} \approx e^{-\frac{\ell_{\mathrm{cluster}}}{2\xi}}

Minimal deviation?

Dupont, Macé, Laflorencie, PRB 100, 134201, (2019)

Laflorencie, Lemarié, Macé, PRR 2, 042033(R), (2020)

JC, N. Laflorencie, arXiv:2305.10574

|\phi_m(i)|^2 \propto \exp\left(-\frac{|i - i_0^m|}{{\xi}}\right)

28

J. COLBOIS | EVT AND LOCALIZATION | LPMMC | 07.11.2023

\ell_{\mathrm{cluster}}

Minimal deviation?

Dupont, Macé, Laflorencie, PRB 100, 134201, (2019)

Laflorencie, Lemarié, Macé, PRR 2, 042033(R), (2020)

JC, N. Laflorencie, arXiv:2305.10574

\delta_i = 1/2 -|\langle n_i \rangle -1/2|
\delta_i = \langle n_i \rangle\approx e^{-\frac{r}{\xi} } + \dots

\Rightarrow \quad \delta_{\min} \approx e^{-\frac{\ell_{\mathrm{cluster}}}{2\xi}}

28

J. COLBOIS | EVT AND LOCALIZATION | LPMMC | 07.11.2023

\ell_{\mathrm{cluster}}

Minimal deviation?

Dupont, Macé, Laflorencie, PRB 100, 134201, (2019)

Laflorencie, Lemarié, Macé, PRR 2, 042033(R), (2020)

JC, N. Laflorencie, arXiv:2305.10574

\delta_i = 1/2 -|\langle n_i \rangle -1/2|
\delta_i = \langle n_i \rangle\approx e^{-\frac{r}{\xi} } + \dots

\Rightarrow \quad \delta^{\mathrm{typ}}_{\min}= e^{\overline{\ln\delta_{\min}}} \approx e^{-\frac{\overline{\ell_{\mathrm{cluster}}}}{2\xi}}

28

J. COLBOIS | EVT AND LOCALIZATION | LPMMC | 07.11.2023

r
\ell_{\mathrm{cluster}}

29

Minimal deviation?

Dupont, Macé, Laflorencie, PRB 100, 134201, (2019)

Laflorencie, Lemarié, Macé, PRR 2, 042033(R), (2020)

JC, N. Laflorencie, arXiv:2305.10574

\quad \delta^{\mathrm{typ}}_{\min} \approx e^{-\frac{\overline{\ell_{\mathrm{cluster}}}}{2\xi}}

J. COLBOIS | EVT AND LOCALIZATION | LPMMC | 07.11.2023

r
\ell_{\mathrm{cluster}}

Minimal deviation?

Dupont, Macé, Laflorencie, PRB 100, 134201, (2019)

Laflorencie, Lemarié, Macé, PRR 2, 042033(R), (2020)

JC, N. Laflorencie, arXiv:2305.10574

\quad \delta^{\mathrm{typ}}_{\min} \approx e^{-\frac{\overline{\ell_{\mathrm{cluster}}}}{2\xi}}
\overline{\ell_{\mathrm{cluster}}} \approx \frac{\ln L}{ \ln 2}

29

J. COLBOIS | EVT AND LOCALIZATION | LPMMC | 07.11.2023

r
\ell_{\mathrm{cluster}}

Minimal deviation?

Dupont, Macé, Laflorencie, PRB 100, 134201, (2019)

Laflorencie, Lemarié, Macé, PRR 2, 042033(R), (2020)

JC, N. Laflorencie, arXiv:2305.10574

\quad \delta^{\mathrm{typ}}_{\min} \approx e^{-\frac{\overline{\ell_{\mathrm{cluster}}}}{2\xi}}
\overline{\ell_{\mathrm{cluster}}} \approx \frac{\ln L}{ \ln 2}
\delta^{\mathrm{typ}}_{\min} \approx L^{-\frac{1}{2\xi \ln2}}

29

J. COLBOIS | EVT AND LOCALIZATION | LPMMC | 07.11.2023

r
\ell_{\mathrm{cluster}}

Minimal deviation?

Dupont, Macé, Laflorencie, PRB 100, 134201, (2019)

Laflorencie, Lemarié, Macé, PRR 2, 042033(R), (2020)

JC, N. Laflorencie, arXiv:2305.10574

\quad \delta^{\mathrm{typ}}_{\min} \approx e^{-\frac{\overline{\ell_{\mathrm{cluster}}}}{2\xi}}
\overline{\ell_{\mathrm{cluster}}} \approx \frac{\ln L}{ \ln 2}
\delta^{\mathrm{typ}}_{\min} \approx L^{-\frac{1}{2\xi \ln2}}

29

\gamma

J. COLBOIS | EVT AND LOCALIZATION | LPMMC | 07.11.2023

Exponent : toy model

 

JC, N. Laflorencie, arXiv:2305.10574

30

\delta^{\mathrm{typ}}_{\min} \approx L^{-\frac{1}{2\xi \ln2}}

J. COLBOIS | EVT AND LOCALIZATION | LPMMC | 07.11.2023

Exponent : toy model

 

JC, N. Laflorencie, arXiv:2305.10574

\xi = \frac{1}{\ln\left(1+\left(\frac{W}{W_0}\right)^2 \right)}

30

\delta^{\mathrm{typ}}_{\min} \approx L^{-\frac{1}{2\xi \ln2}}

J. COLBOIS | EVT AND LOCALIZATION | LPMMC | 07.11.2023

Exponent : toy model

 

JC, N. Laflorencie, arXiv:2305.10574

\xi = \frac{1}{\ln\left(1+\left(\frac{W}{W_0}\right)^2 \right)}

30

\delta^{\mathrm{typ}}_{\min} \approx L^{-\frac{1}{2\xi \ln2}}

J. COLBOIS | EVT AND LOCALIZATION | LPMMC | 07.11.2023

Chain breaking

 

JC, N. Laflorencie, arXiv:2305.10574

31

J. COLBOIS | EVT AND LOCALIZATION | LPMMC | 07.11.2023

Chain breaking

 

JC, N. Laflorencie, arXiv:2305.10574

31

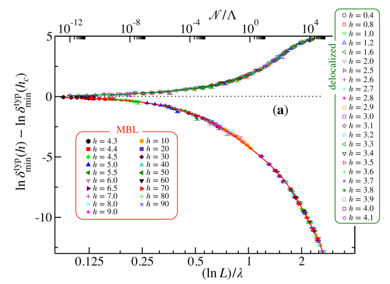
\delta^{\mathrm{typ}}_{\min} = e^{\overline{\ln\delta_{\min}}} \approx L^{-\gamma_{\mathrm{typ}}(W)}

J. COLBOIS | EVT AND LOCALIZATION | LPMMC | 07.11.2023

Chain breaking

 

JC, N. Laflorencie, arXiv:2305.10574

31

\delta^{\mathrm{typ}}_{\min} = e^{\overline{\ln\delta_{\min}}} \approx L^{-\gamma_{\mathrm{typ}}(W)}

J. COLBOIS | EVT AND LOCALIZATION | LPMMC | 07.11.2023

Exponents: XX CHain

32

 

JC, N. Laflorencie, arXiv:2305.10574

\delta^{\mathrm{typ}}_{\min} \approx L^{-\frac{1}{2\xi \ln2}}

J. COLBOIS | EVT AND LOCALIZATION | LPMMC | 07.11.2023

 

JC, N. Laflorencie, arXiv:2305.10574

ED

1/\gamma_{\mathrm{typ}}

Exponents: XX CHain

32

\delta^{\mathrm{typ}}_{\min} \approx L^{-\frac{1}{2\xi \ln2}}
\delta^{\mathrm{typ}}_{\min} \approx L^{-\gamma_{\mathrm{typ}}(W)}

J. COLBOIS | EVT AND LOCALIZATION | LPMMC | 07.11.2023

 

JC, N. Laflorencie, arXiv:2305.10574

Agreement

ED  - Toy model !

ED

1/\gamma_{\mathrm{typ}}

Exponents: XX CHain

32

\delta^{\mathrm{typ}}_{\min} \approx L^{-\frac{1}{2\xi \ln2}}
\delta^{\mathrm{typ}}_{\min} \approx L^{-\gamma_{\mathrm{typ}}(W)}

J. COLBOIS | EVT AND LOCALIZATION | LPMMC | 07.11.2023

Scaling

33

 

JC, N. Laflorencie, arXiv:2305.10574

\quad \delta^{\mathrm{typ}}_{\min} \approx e^{-\frac{\overline{\ell_{\mathrm{cluster}}}}{2\xi}} ?

J. COLBOIS | EVT AND LOCALIZATION | LPMMC | 07.11.2023

Scaling

 

JC, N. Laflorencie, arXiv:2305.10574

\(L \gg \xi\)

33

\quad \delta^{\mathrm{typ}}_{\min} \approx e^{-\frac{\overline{\ell_{\mathrm{cluster}}}}{2\xi}} ?

J. COLBOIS | EVT AND LOCALIZATION | LPMMC | 07.11.2023

Scaling

 

JC, N. Laflorencie, arXiv:2305.10574

33

\(L \gg \xi\)

\quad \delta^{\mathrm{typ}}_{\min} \approx e^{-\frac{\overline{\ell_{\mathrm{cluster}}}}{2\xi}} ?
- \frac{\overline{\ell_{\mathrm{cluster}}}}{2\xi} -c

J. COLBOIS | EVT AND LOCALIZATION | LPMMC | 07.11.2023

Quantitative description : Extreme value statistics

Tails and extremes

34

Tails

J. COLBOIS | EVT AND LOCALIZATION | LPMMC | 07.11.2023

Tails and extremes

34

\delta^{\mathrm{typ}}_{\min} \approx L^{-\frac{1}{2\xi \ln2}}
\delta^{\mathrm{typ}}_{\min} \approx L^{-\gamma_{\mathrm{typ}}(W)}

So far :

Extreme value

Tails

J. COLBOIS | EVT AND LOCALIZATION | LPMMC | 07.11.2023

Tails and extremes

34

\delta^{\mathrm{typ}}_{\min} \approx L^{-\frac{1}{2\xi \ln2}}
\delta^{\mathrm{typ}}_{\min} \approx L^{-\gamma_{\mathrm{typ}}(W)}

So far :

Extreme value

Tails

Extreme value theory

J. COLBOIS | EVT AND LOCALIZATION | LPMMC | 07.11.2023

Tails and extremes

35

\{X_i\}_{i = 1, 2, \dots, L} \sim p(x)
Y = \max(X_i)

E. J. Gumbel, Statistics of Extremes, Dover, (1958, 2004)

S. N. Majumdar, A. Pal, G. Schehr, Physics Reports, 840, 1 (2020)

Z = \mathrm{rescaled}(Y)

Extreme value theory

Extreme value

Tails

J. COLBOIS | EVT AND LOCALIZATION | LPMMC | 07.11.2023

Tails and extremes

35

\{X_i\}_{i = 1, 2, \dots, L} \sim p(x)
Y = \max(X_i)

E. J. Gumbel, Statistics of Extremes, Dover, (1958, 2004)

S. N. Majumdar, A. Pal, G. Schehr, Physics Reports, 840, 1 (2020)

Power-law tail

Z = \mathrm{rescaled}(Y)

Extreme value theory

Extreme value

Tails

J. COLBOIS | EVT AND LOCALIZATION | LPMMC | 07.11.2023

Tails and extremes

35

\{X_i\}_{i = 1, 2, \dots, L} \sim p(x)
Y = \max(X_i)

E. J. Gumbel, Statistics of Extremes, Dover, (1958, 2004)

S. N. Majumdar, A. Pal, G. Schehr, Physics Reports, 840, 1 (2020)

Power-law tail

Z = \mathrm{rescaled}(Y)
z \sim \frac{\beta}{z^{1+\beta}} e^{-z^{-\beta}}

Fréchet law

Extreme value theory

Extreme value

Tails

J. COLBOIS | EVT AND LOCALIZATION | LPMMC | 07.11.2023

Tails and extremes

35

\{X_i\}_{i = 1, 2, \dots, L} \sim p(x)
Y = \max(X_i)

E. J. Gumbel, Statistics of Extremes, Dover, (1958, 2004)

S. N. Majumdar, A. Pal, G. Schehr, Physics Reports, 840, 1 (2020)

Power-law tail

Exponential tail

Gaussian tail

Z = \mathrm{rescaled}(Y)
z \sim \frac{\beta}{z^{1+\beta}} e^{-z^{-\beta}}

Fréchet law

Extreme value theory

Extreme value

Tails

J. COLBOIS | EVT AND LOCALIZATION | LPMMC | 07.11.2023

Tails and extremes

35

\{X_i\}_{i = 1, 2, \dots, L} \sim p(x)
Y = \max(X_i)

E. J. Gumbel, Statistics of Extremes, Dover, (1958, 2004)

S. N. Majumdar, A. Pal, G. Schehr, Physics Reports, 840, 1 (2020)

Power-law tail

Exponential tail

Gaussian tail

z \sim e^{-z - e^{-z}}

Gumbel law

Z = \mathrm{rescaled}(Y)
z \sim \frac{\beta}{z^{1+\beta}} e^{-z^{-\beta}}

Fréchet law

Extreme value theory

Extreme value

Tails

J. COLBOIS | EVT AND LOCALIZATION | LPMMC | 07.11.2023

E. J. Gumbel, Statistics of Extremes, Dover, (1958, 2004)

S. N. Majumdar, A. Pal, G. Schehr, Physics Reports, 840, 1 (2020)

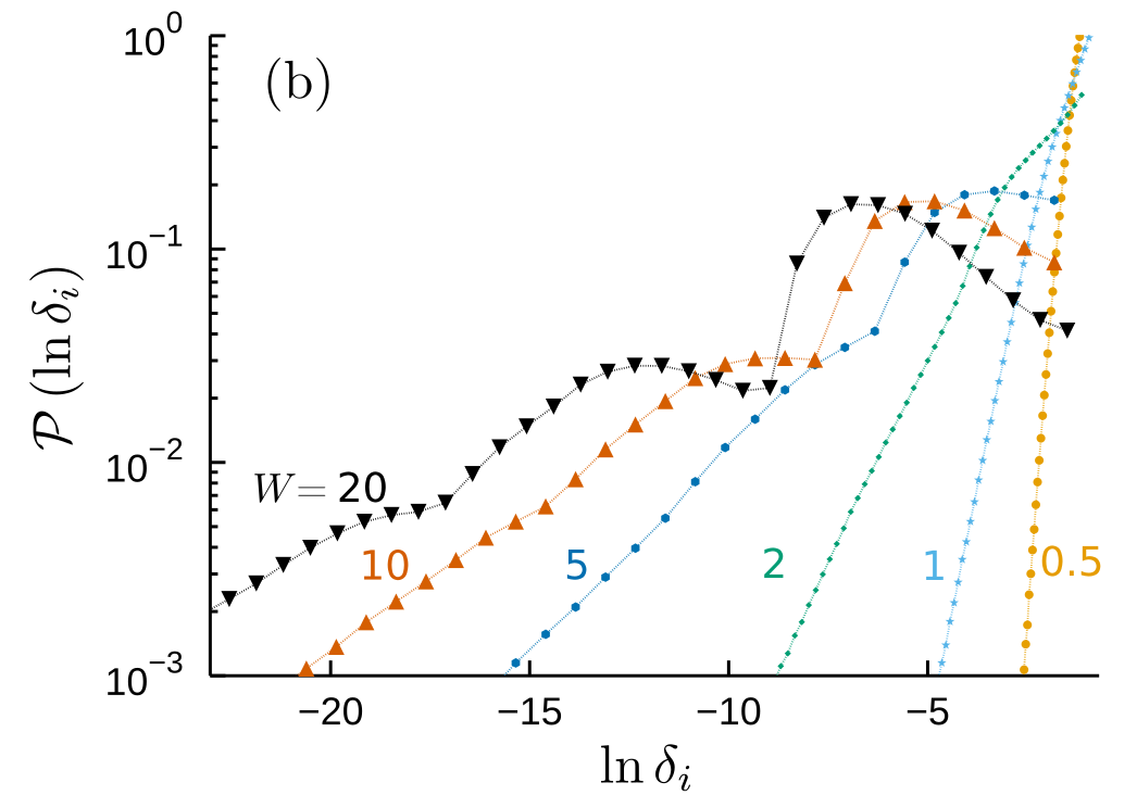
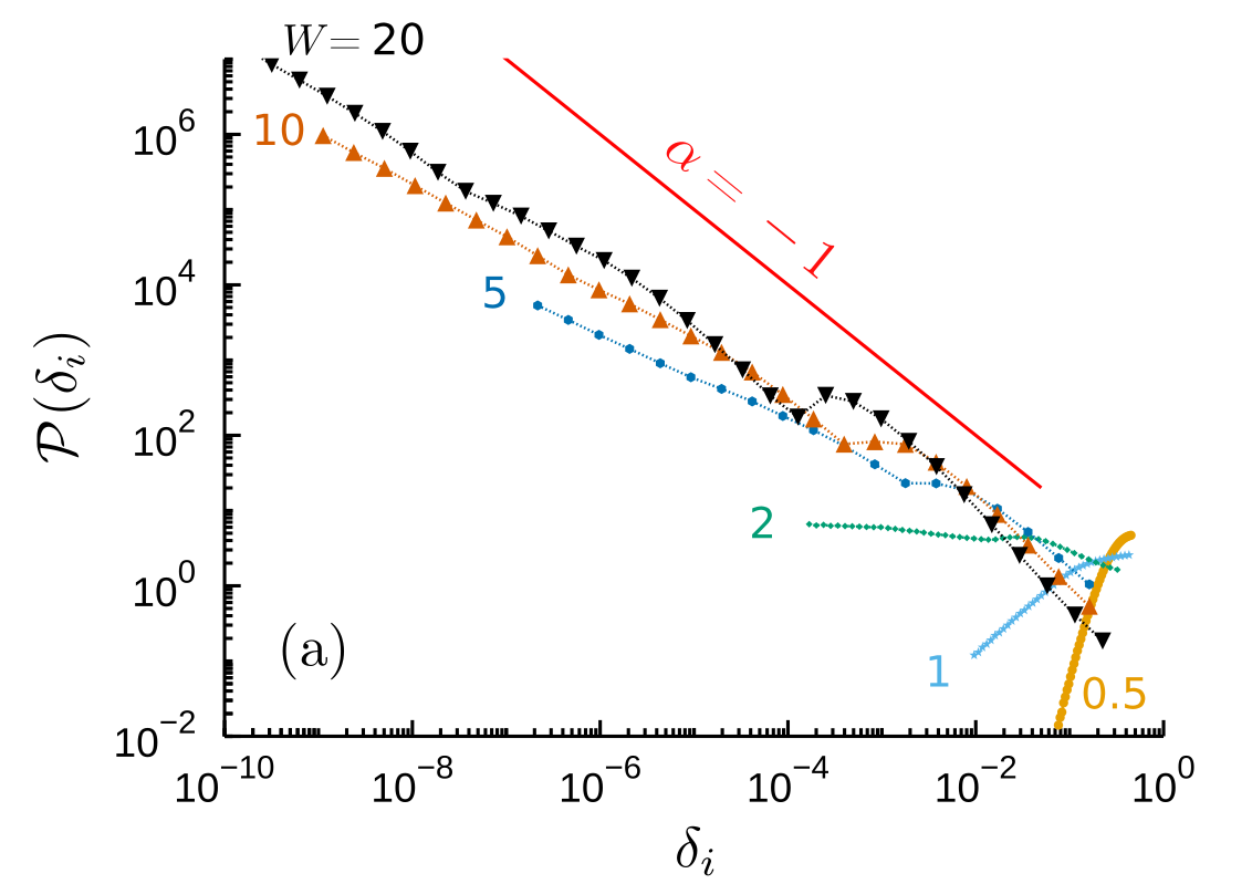
\mathcal{P}(\delta) \overset{\delta \rightarrow 0}{\sim} A\delta^{\alpha}

Extreme value theory - XX Chain

 

 

JC, N. Laflorencie, arXiv:2305.10574

36

J. COLBOIS | EVT AND LOCALIZATION | LPMMC | 07.11.2023

E. J. Gumbel, Statistics of Extremes, Dover, (1958, 2004)

S. N. Majumdar, A. Pal, G. Schehr, Physics Reports, 840, 1 (2020)

Fréchet

\mathcal{P}(\delta) \overset{\delta \rightarrow 0}{\sim} A\delta^{\alpha}

Extreme value theory - XX Chain

 

 

JC, N. Laflorencie, arXiv:2305.10574

\mathcal{P}(\ln\delta_{\min}) \rightarrow AL\delta_{\min}^{\alpha} \exp\left({-\frac{AL}{\alpha+1}\delta_{\min}^{\alpha+1}}\right)

36

J. COLBOIS | EVT AND LOCALIZATION | LPMMC | 07.11.2023

E. J. Gumbel, Statistics of Extremes, Dover, (1958, 2004)

S. N. Majumdar, A. Pal, G. Schehr, Physics Reports, 840, 1 (2020)

Fréchet

\(10^5 \) samples

\mathcal{P}(\delta) \overset{\delta \rightarrow 0}{\sim} A\delta^{\alpha}

Extreme value theory - XX Chain

 

 

JC, N. Laflorencie, arXiv:2305.10574

\mathcal{P}(\ln\delta_{\min}) \rightarrow AL\delta_{\min}^{\alpha} \exp\left({-\frac{AL}{\alpha+1}\delta_{\min}^{\alpha+1}}\right)
\Delta_u= (\alpha+1)(\ln\delta_{\min}- \ln\delta_{\min}^{\mathrm{typ}})

37

J. COLBOIS | EVT AND LOCALIZATION | LPMMC | 07.11.2023

E. J. Gumbel, Statistics of Extremes, Dover, (1958, 2004)

S. N. Majumdar, A. Pal, G. Schehr, Physics Reports, 840, 1 (2020)

Fréchet

\(10^5 \) samples

\mathcal{P}(\delta) \overset{\delta \rightarrow 0}{\sim} A\delta^{\alpha}

Extreme value theory - XX Chain

 

 

JC, N. Laflorencie, arXiv:2305.10574

\mathcal{P}(\ln\delta_{\min}) \rightarrow AL\delta_{\min}^{\alpha} \exp\left({-\frac{AL}{\alpha+1}\delta_{\min}^{\alpha+1}}\right)
\Delta_u= (\alpha+1)(\ln\delta_{\min}- \ln\delta_{\min}^{\mathrm{typ}})

37

\delta_{\mathrm{\min}}^{\mathrm{typ}}(L) \approx \left(\frac{A}{1+\alpha} L \right)^{-\frac{1}{1+\alpha}}

J. COLBOIS | EVT AND LOCALIZATION | LPMMC | 07.11.2023

E. J. Gumbel, Statistics of Extremes, Dover, (1958, 2004)

S. N. Majumdar, A. Pal, G. Schehr, Physics Reports, 840, 1 (2020)

Fréchet

\(10^5 \) samples

\mathcal{P}(\delta) \overset{\delta \rightarrow 0}{\sim} A\delta^{\alpha}

Extreme value theory - XX Chain

 

 

JC, N. Laflorencie, arXiv:2305.10574

\mathcal{P}(\ln\delta_{\min}) \rightarrow AL\delta_{\min}^{\alpha} \exp\left({-\frac{AL}{\alpha+1}\delta_{\min}^{\alpha+1}}\right)

37

\Delta_u= (\alpha+1)(\ln\delta_{\min}- \ln\delta_{\min}^{\mathrm{typ}})
\delta_{\mathrm{\min}}^{\mathrm{typ}}(L) \approx \left(\frac{A}{1+\alpha} L \right)^{-\frac{1}{1+\alpha}}

J. COLBOIS | EVT AND LOCALIZATION | LPMMC | 07.11.2023

E. J. Gumbel, Statistics of Extremes, Dover, (1958, 2004)

S. N. Majumdar, A. Pal, G. Schehr, Physics Reports, 840, 1 (2020)

Fréchet

\(10^5 \) samples

\mathcal{P}(\delta) \overset{\delta \rightarrow 0}{\sim} A\delta^{\alpha}

Extreme value theory - XX Chain

 

 

JC, N. Laflorencie, arXiv:2305.10574

\mathcal{P}(\ln\delta_{\min}) \rightarrow AL\delta_{\min}^{\alpha} \exp\left({-\frac{AL}{\alpha+1}\delta_{\min}^{\alpha+1}}\right)
\Delta_u= (\alpha+1)(\ln\delta_{\min}- \ln\delta_{\min}^{\mathrm{typ}})

37

\delta_{\mathrm{\min}}^{\mathrm{typ}}(L) \approx \left(\frac{A}{1+\alpha} L \right)^{-\frac{1}{1+\alpha}}

J. COLBOIS | EVT AND LOCALIZATION | LPMMC | 07.11.2023

EXPONENT : POWER-LAW

 

JC, N. Laflorencie, arXiv:2305.10574

38

ED

1/\gamma_{\mathrm{typ}}
\delta^{\mathrm{typ}}_{\min} \approx L^{-\frac{1}{2\xi \ln2}}
\delta^{\mathrm{typ}}_{\min} \approx L^{-\gamma_{\mathrm{typ}}(W)}

J. COLBOIS | EVT AND LOCALIZATION | LPMMC | 07.11.2023

 

JC, N. Laflorencie, arXiv:2305.10574

1+\alpha

ED

1/\gamma_{\mathrm{typ}}

EXPONENT : POWER-LAW

38

\delta^{\mathrm{typ}}_{\min} \approx L^{-\frac{1}{2\xi \ln2}}
\delta^{\mathrm{typ}}_{\min} \approx L^{-\gamma_{\mathrm{typ}}(W)}
\delta_{\mathrm{\min}}^{\mathrm{typ}}(L) \approx \left(\frac{A}{1+\alpha} L \right)^{-\frac{1}{1+\alpha}}

J. COLBOIS | EVT AND LOCALIZATION | LPMMC | 07.11.2023

Consequences : interacting system

39

Effect of interactions?

\mathcal{H} = \mathcal{H}_{XX} + \Delta \sum_i S_i^z S_{i+1}^z

"Stability" of the cluster with respect to the  interactions?

 

 

Laflorencie, Lemarié, Macé, PRR 2, 042033(R), (2020)

JC, N. Laflorencie, arXiv:2305.10574

J. COLBOIS | EVT AND LOCALIZATION | LPMMC | 07.11.2023

40

Effect of interactions?

disorder

increases

 

 

Laflorencie, Lemarié, Macé, PRR 2, 042033(R), (2020)

JC, N. Laflorencie, arXiv:2305.10574

J. COLBOIS | EVT AND LOCALIZATION | LPMMC | 07.11.2023

40

Effect of interactions?

disorder

increases

\(\delta_i\) \(\rightarrow\) 1/2 (\(\langle S^z_i\rangle \rightarrow 0\))

Empty circles: 

Heisenberg

 

 

Laflorencie, Lemarié, Macé, PRR 2, 042033(R), (2020)

JC, N. Laflorencie, arXiv:2305.10574

J. COLBOIS | EVT AND LOCALIZATION | LPMMC | 07.11.2023

40

Effect of interactions?

disorder

increases

Empty circles: 

Heisenberg

 

 

Laflorencie, Lemarié, Macé, PRR 2, 042033(R), (2020)

JC, N. Laflorencie, arXiv:2305.10574

\(\delta_i\) \(\rightarrow\) 1/2 (\(\langle S^z_i\rangle \rightarrow 0\))

J. COLBOIS | EVT AND LOCALIZATION | LPMMC | 07.11.2023

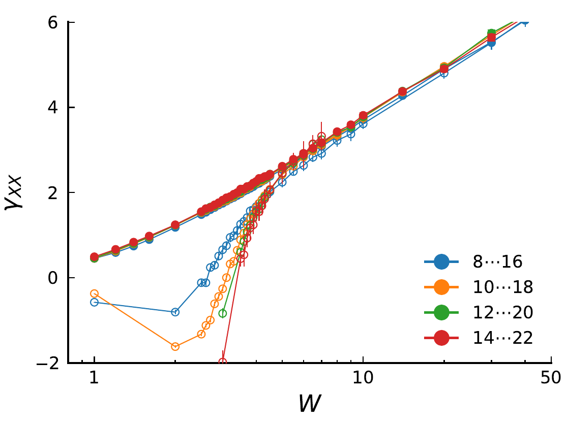
41

Exponent

At strong disorder, \(\gamma \sim 1/\xi\)

\gamma

\(\Rightarrow \) Interpretation of the exponent as related to a many-body localization length

 

 

Laflorencie, Lemarié, Macé, PRR 2, 042033(R), (2020)

JC, N. Laflorencie, arXiv:2305.10574

J. COLBOIS | EVT AND LOCALIZATION | LPMMC | 07.11.2023

42

Exponent

At strong disorder, \(\gamma \sim 1/\xi\)

\gamma

\(\Rightarrow \) Interpretation of the exponent as related to a many-body localization length

 

 

Laflorencie, Lemarié, Macé, PRR 2, 042033(R), (2020)

JC, N. Laflorencie, arXiv:2305.10574

\(\Lambda\) : disorder-dependent non-ergodicity volume

\(\lambda\) : interpreted as a localization length

J. COLBOIS | EVT AND LOCALIZATION | LPMMC | 07.11.2023

43

Extreme value distributions

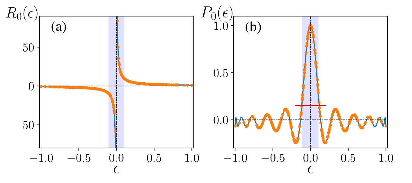
Conjecture : Gumbel (?) on the Ergodic side, Fréchet on the MBL side.

 

 

 

JC, N. Laflorencie, arXiv:2305.10574

\(W = 2\)

J. COLBOIS | EVT AND LOCALIZATION | LPMMC | 07.11.2023

43

Extreme value distributions

Conjecture : Gumbel (?) on the Ergodic side, Fréchet on the MBL side.

 

 

 

JC, N. Laflorencie, arXiv:2305.10574

\(W = 2\)

J. COLBOIS | EVT AND LOCALIZATION | LPMMC | 07.11.2023

43

Conjecture : Gumbel (?) on the Ergodic side, Fréchet on the MBL side.

\(\Delta = 0\)

\(\Delta = 1\)

Extreme value distributions

 

 

 

JC, N. Laflorencie, arXiv:2305.10574

J. COLBOIS | EVT AND LOCALIZATION | LPMMC | 07.11.2023

43

Conjecture : Gumbel (?) on the Ergodic side, Fréchet on the MBL side.

\(\Delta = 0\)

\(\Delta = 1\)

Extreme value distributions

 

 

 

JC, N. Laflorencie, arXiv:2305.10574

{\rm{KL}}(p|q)= \sum_i q_i \ln \frac{q_i}{p_i}

Kullback-Leibler divergence :

J. COLBOIS | EVT AND LOCALIZATION | LPMMC | 07.11.2023

44

Kullback-Leibler divergence

 

S. Kullback and R. A. Leibler, The annals of mathematical statistics 22, 79 (1951)

{\rm{KL}}(p|q)= \sum_i q_i \ln \frac{q_i}{p_i}

Kullback-Leibler divergence :

J. COLBOIS | EVT AND LOCALIZATION | LPMMC | 07.11.2023

44

Kullback-Leibler divergence

 

S. Kullback and R. A. Leibler, The annals of mathematical statistics 22, 79 (1951)

JC, N. Laflorencie, arXiv:2305.10574

 

E. H. V. Doggen et al., PRB 98, 174202 (2018)

See e.g. D. Sels, PRB  106 , L020202 (2022)

{\rm{KL}}(p|q)= \sum_i q_i \ln \frac{q_i}{p_i}

Kullback-Leibler divergence :

J. COLBOIS | EVT AND LOCALIZATION | LPMMC | 07.11.2023

44

Consequences : Heisenberg

 

E. H. V. Doggen et al., PRB 98, 174202 (2018)

See e.g. D. Sels, PRB  106 , L020202 (2022)

 

S. Kullback and R. A. Leibler, The annals of mathematical statistics 22, 79 (1951)

JC, N. Laflorencie, arXiv:2305.10574

  • Transition in the extreme value distributions
{\rm{KL}}(p|q)= \sum_i q_i \ln \frac{q_i}{p_i}

Kullback-Leibler divergence :

J. COLBOIS | EVT AND LOCALIZATION | LPMMC | 07.11.2023

44

Consequences : Heisenberg

  • Transition in the extreme value distributions
  • Coinciding with the MBL transition?

 

E. H. V. Doggen et al., PRB 98, 174202 (2018)

See e.g. D. Sels, PRB  106 , L020202 (2022)

 

S. Kullback and R. A. Leibler, The annals of mathematical statistics 22, 79 (1951)

JC, N. Laflorencie, arXiv:2305.10574

{\rm{KL}}(p|q)= \sum_i q_i \ln \frac{q_i}{p_i}

Kullback-Leibler divergence :

J. COLBOIS | EVT AND LOCALIZATION | LPMMC | 07.11.2023

Take home message

SPIN FREEZING!

45

J. COLBOIS | EVT AND LOCALIZATION | LPMMC | 07.11.2023

Take home message

SPIN FREEZING!

XX chain :

  • controlled by largest cluster of occupied orbitals

45

J. COLBOIS | EVT AND LOCALIZATION | LPMMC | 07.11.2023

Take home message

SPIN FREEZING!

XX chain :

  • controlled by largest cluster of occupied orbitals
  • Excellent fits & collapses with a Fréchet Law

45

J. COLBOIS | EVT AND LOCALIZATION | LPMMC | 07.11.2023

Take home message

SPIN FREEZING!

XX chain :

  • controlled by largest cluster of occupied orbitals

 Heisenberg chain at strong disorder:

Chain breaks!

  • Excellent fits & collapses with a Fréchet Law

45

J. COLBOIS | EVT AND LOCALIZATION | LPMMC | 07.11.2023

Take home message

SPIN FREEZING!

XX chain :

  • controlled by largest cluster of occupied orbitals

 Heisenberg chain at strong disorder:

Chain breaks!

  • Excellent fits & collapses with a Fréchet Law

45

J. COLBOIS | EVT AND LOCALIZATION | LPMMC | 07.11.2023

Comparing \(\delta_{\min}\) deviation in Heisenberg vs Many-body Anderson:

Extreme value transition characterized by the

KL divergence.

Take home message

SPIN FREEZING!

XX chain :

  • controlled by largest cluster of occupied orbitals

 Heisenberg chain at strong disorder:

Chain breaks!

  • Excellent fits & collapses with a Fréchet Law

Comparing \(\delta_{\min}\) deviation in Heisenberg vs Many-body Anderson:

Extreme value transition characterized by the

KL divergence.

Thank you for your attention!

45

J. COLBOIS | EVT AND LOCALIZATION | LPMMC | 07.11.2023

Thank you for the question!

Anderson Localization : example

1 particle

11

Billy J, et al.  Direct observation of Anderson localization of matter waves in a controlled disorder. Nature. 2008

\mathcal{H}_f = \sum_{i} \Bigl[\frac{J}{2}\left({\color{lightgreen}c_i^{\dagger} c_{i+1}^{\vphantom{\dagger}} + c_{i+1}^{\dagger}c_i^{\vphantom{\dagger}}} \right) -{\color{#76a5af}h_i n_i}\Bigr]

J. COLBOIS | EVT AND LOCALIZATION | LPMMC | 07.11.2023

AL vs MBL

No spreading of entanglement

J. COLBOIS | EVT AND LOCALIZATION | LPMMC | 07.11.2023

Weak interactions and disorder

Analytical, general picture:

Interactions \(\Rightarrow\) transition between weak and strong disorder

L. Fleischman, P. W. Anderson, PRB 2, 2336 (1980) \(\rightarrow\) single-particle excitations and conditions for Anderson transition

B. Altschuler, Y. Gefen, A. Kamenev, L. S. Levitov, PRL 78,  2803, (1997) \(\rightarrow\) quasi particle lifetime & localization in Fock space

P. Jacquod, D. L. Shepelyansky, PRL 79, 1837 (1997) \(\rightarrow\) Gap ratio statistics, finite systems

I. V. Gornyi, A. D. Mirlin, D. G. Polyakov, PRL 95, 206603 (2005) \(\rightarrow\) zero  conductivity at low temperature

*D. M. Basko, I. L. Aleiner, B. L. Altschuler, Annals of Physics 321, 1126 (2006) \(\rightarrow\) metal-insulator transition, localization in Fock space

I.L. Aleiner, B. L. Altshuler, G. V Shlyapnikov, Nature Physics 6, 900-904 (2010) \(\rightarrow\) weakly interacting bosons

\mathcal{H}_f = \sum_{i} \Bigl[\frac{J}{2}\left({\color{lightgreen}c_i^{\dagger} c_{i+1}^{\vphantom{\dagger}} + c_{i+1}^{\dagger}c_i^{\vphantom{\dagger}}}+{\color{#b4a7d6}2 \Delta n_i n_{i+1}} \right) -{\color{#76a5af}h_i n_i}\Bigr]

disorder

interactions

Anderson localized

Delocalized

Ergodic

Insulator

J. COLBOIS | EVT AND LOCALIZATION | LPMMC | 07.11.2023

ED : Why

High energy eigenstates, high dos

Potential absence of thermalization

Simulations of Many-Body Localizable (MBL) lattices models | Fabien Alet | Cargese

Cannot use stochastic methods

Usual condensed matter methods target the ground state.

\(\rightarrow\) DMRG-X, RSRG-X,  time evolution with MPS, Unitary flow, ...

Ideally should work on both sides of the transition

J. COLBOIS | EVT AND LOCALIZATION | LPMMC | 07.11.2023

Eigenstate thermalization hypothesis

Fate of isolated many-body quantum systems?

\(\leftrightarrow\) A question from quantum chaos:

Thermal average 

Time average

?

ETH

J. M. Deutsch , PRA. 43, 2046–2049, (1991) , M. Srednicki, PRE 50,  888–901, (1994)

L. D’Alessio, Y. Kafri, A. Polkovnikov, and M. Rigol, Adv. Phys. 65, 239 (2016)

J. COLBOIS | EVT AND LOCALIZATION | LPMMC | 07.11.2023

Eigenstate thermalization hypothesis

Fate of isolated many-body quantum systems?

\(\leftrightarrow\) A question from quantum chaos:

Thermal average 

Time average

?

ETH

J. M. Deutsch , PRA. 43, 2046–2049, (1991) , M. Srednicki, PRE 50,  888–901, (1994)

L. D’Alessio, Y. Kafri, A. Polkovnikov, and M. Rigol, Adv. Phys. 65, 239 (2016)

(i) diagonal elements of local observables are smooth functions of the energy and take their microcanonical average value

(ii)off-diagonal elements vanish in the thermodynamic limit like \(e^{(-E_m -E_n)/2}\)

Statement about high energy.

J. COLBOIS | EVT AND LOCALIZATION | LPMMC | 07.11.2023

Heisenberg: Many-Body Localization

Morningstar et al, PRB 105, 174205 (2022)

Fate of isolated quantum many-body systems ? 

\mathcal{H}_f = \sum_{i} \Bigl[\frac{J}{2}\left({\color{lightgreen}c_i^{\dagger} c_{i+1}^{\vphantom{\dagger}} + c_{i+1}^{\dagger}c_i^{\vphantom{\dagger}}}+{\color{#b4a7d6}2 \Delta n_i n_{i+1}} \right) -{\color{#76a5af}h_i n_i}\Bigr]
\mathcal{H} = \sum_{i} \frac{J}{2}\left({\color{lightgreen}S_i^{+} S_{i+1}^{-} + S_i^{-} S_{i+1}^{+}} + {\color{#b4a7d6} 2\Delta S_i^z S_{i+1}^z}\right) - \sum_{i} {\color{#76a5af} h_i S_i^z}

J. COLBOIS | EVT AND LOCALIZATION | LPMMC | 07.11.2023

Kane-fisher

LL + weakened link can flow to

an opened chain. 

J. COLBOIS | EVT AND LOCALIZATION | LPMMC | 07.11.2023

Entanglement entropy

N. Laflorencie, in A. Bayat et al. (eds.), Entanglement in Spin Chains,

Quantum Science and Technology, https://doi.org/10.1007/978-3-031-03998-0_4

J. COLBOIS | EVT AND LOCALIZATION | LPMMC | 07.11.2023

Distributions of minimal deviations

J. COLBOIS | EVT AND LOCALIZATION | LPMMC | 07.11.2023

Distributions of minimal deviations

 

JC, Laflorencie, In preparation

J. COLBOIS | EVT AND LOCALIZATION | LPMMC | 07.11.2023

Cluster lengths

 

JC, Laflorencie, In preparation

J. COLBOIS | EVT AND LOCALIZATION | LPMMC | 07.11.2023

Power-law tails?

 

JC, N. Laflorencie, arXiv:2305.10574

\delta_{\min} \sim e^{-\frac{\ell}{2\xi}}

\( \Rightarrow \delta\) occurs if there is \(\ell \geq -2 \xi \ln(\delta)\)

\ell
\mathcal{P}(\ell) \propto 2^{-\ell}

Very roughly:

 

\Rightarrow \mathcal{P}_L(\ln(\delta)) \propto \exp\left(2\xi\ln2 \times \ln(\delta)\right)

J. COLBOIS | EVT AND LOCALIZATION | LPMMC | 07.11.2023

Power-law tails?

 

JC, N. Laflorencie, arXiv:2305.10574

\delta_{\min} \sim e^{-\frac{\ell}{2\xi}}

\( \Rightarrow \delta\) occurs if there is \(\ell \geq -2 \xi \ln(\delta)\)

\ell
\mathcal{P}(\ell) \propto 2^{-\ell}

Very roughly:

 

\mathcal{P}_L(\delta) \propto \delta^{\left(2\xi\ln2-1\right)}
\Rightarrow \mathcal{P}_L(\ln(\delta)) \propto \exp\left(2\xi\ln2 \times \ln(\delta)\right)

J. COLBOIS | EVT AND LOCALIZATION | LPMMC | 07.11.2023

Experiments

J. COLBOIS | EVT AND LOCALIZATION | LPMMC | 07.11.2023

PROBES

"Dynamical" probes

"Static" probes

Entanglement

entropy (EE)

Multifractality (participation entropy)

Entanglement spectrum (ES)

and these probes -->

Spectral repulsion

Magnetization & extremal magnetization

-> Lcluster, delta min

Evolution / autocorrelation of a prepared state

Out-of-Time-Order Correlator (OTOC)

KL divergence between eigenstates

Increasing number of involved states

Gap ratio

two-eigenstates correlation functions

Spectral form factor

Level compressibility

Imbalance

Dream: LIOMs

(minimal correlator)

Many-body resonances between eigenstates

Minimal gap

Distribution of matrix elements?

J. COLBOIS | EVT AND LOCALIZATION | LPMMC | 07.11.2023

Heisenberg: Ergodic to MBL 

Fate of isolated quantum many-body systems ? 

\(\frac{E -E_{\min}}{E_{\max}-E_{\min}}\)

D. J. Luitz, N. Laflorencie, F. Alet, PRB 91, 081103(R) (2015) 

\(S_E\) : Entanglement entropy (red: visual estimate)

\(r\) : Gap ratio

\(\mathcal{F}\) : Bipartite fluctuations

\(\mathcal{F} = \langle (S_A^z)^2 \rangle - \langle  S_A^z \rangle ^2 \)

\(S_1^{P} = a_1 \ln(\mathrm{dim} H) = - \sum_i p_i \ln(p_i)\) : partitipation entropy (multifractality)

\( f \) : dynamic fraction of an
initial spin polarization

J. COLBOIS | EVT AND LOCALIZATION | LPMMC | 07.11.2023

Hilbert-space localization

|\Psi\rangle = \sum_{\alpha = 1}^{\mathcal{N}} \psi_{\alpha} |\alpha \rangle
S_q = \frac{1}{1-q} \ln\left(\sum_{\alpha=1}^{\mathcal{N}} |\psi_{\alpha}|^{2q}\right)
\mathcal{N} = \text{ Hilbert space dim.}

Participation entropies

Basis-dependent

Macé, Alet, Laflorencie, PRL 123, 180601 (2019)

J. COLBOIS | EVT AND LOCALIZATION | LPMMC | 07.11.2023

POLFED

J. COLBOIS | EVT AND LOCALIZATION | LPMMC | 07.11.2023

Ground state phase diagram 

\Delta
h
\Delta = 0
\Delta = -1

Bose glass:  

gapless, but exponentially decaying correlations

finite compressibility

insulating; localized

infinite superfluid susceptibility

\Delta = -1/2

BKT from SDRG:

K > 3/2

Weak link physics

 

 

Superfluid

J. COLBOIS | EVT AND LOCALIZATION | LPMMC | 07.11.2023

Dynamic fraction

D. J. Luitz, N. Laflorencie, F. Alet, PRB 91, 081103(R) (2015) 

J. COLBOIS | EVT AND LOCALIZATION | LPMMC | 07.11.2023

Extreme Statistics in Random spin chains

By Jeanne Colbois

Extreme Statistics in Random spin chains

LPMMC seminar

  • 472