Jeanne Colbois | CNRS - LPT Toulouse | France

Séminaire MCBT | Grenoble, 06.11.2023

Introduction to

tensor networks

for classical frustrated spin systems

SLIDES

and

PAPERS

J. COLBOIS | INTRO TO TNS. FOR CLASSICAL SPIN SYSTEMS | GRENOBLE | 06.11.2023

Tensor networks

J. COLBOIS | INTRO TO TNS. FOR CLASSICAL SPIN SYSTEMS | GRENOBLE | 06.11.2023

Tensor networks

Revolution in 1D (2D) quantum spin systems

J. COLBOIS | INTRO TO TNS. FOR CLASSICAL SPIN SYSTEMS | GRENOBLE | 06.11.2023

Revolution in 1D (2D) quantum spin systems

Tensor networks

A new language

J. COLBOIS | INTRO TO TNS. FOR CLASSICAL SPIN SYSTEMS | GRENOBLE | 06.11.2023

Tensor networks

Revolution in 1D (2D) quantum spin systems

A new language

Large potential for

2D (3D) classical spin systems

2

J. COLBOIS | INTRO TO TNS. FOR CLASSICAL SPIN SYSTEMS | GRENOBLE | 06.11.2023

Aim for today

What are tensor networks (TNs)? Transfer matrix!

2

J. COLBOIS | INTRO TO TNS. FOR CLASSICAL SPIN SYSTEMS | GRENOBLE | 06.11.2023

Aim for today

What are tensor networks (TNs)? Transfer matrix!

Why use them for classical systems?

2

J. COLBOIS | INTRO TO TNS. FOR CLASSICAL SPIN SYSTEMS | GRENOBLE | 06.11.2023

Aim for today

What are tensor networks (TNs)? Transfer matrix!

    Why use them for classical systems?

      What do we learn by using TNs for frustrated systems?

      • Numerical challenge
      • Physics!

      3

      J. COLBOIS | INTRO TO TNS. FOR CLASSICAL SPIN SYSTEMS | GRENOBLE | 06.11.2023

      Hello!

      PhD @ EPFL  ( Lausanne)

      with Frédéric Mila

      • Classical frustrated magnetism
      • Tensor networks
      • Artificial spin systems

      3

      J. COLBOIS | INTRO TO TNS. FOR CLASSICAL SPIN SYSTEMS | GRENOBLE | 06.11.2023

      Hello!

      PhD @ EPFL  ( Lausanne)

      with Frédéric Mila

      • Classical frustrated magnetism
      • Tensor networks
      • Artificial spin systems

      Postdoc @ LPT (Toulouse)

      with Nicolas Laflorencie

      • Quantum spin chains in disordered field (localization - delocalization)
      • Extreme value theory
      • More tensor networks!

      3

      J. COLBOIS | INTRO TO TNS. FOR CLASSICAL SPIN SYSTEMS | GRENOBLE | 06.11.2023

      Hello!

      Postdoc @ LPT (Toulouse)

      with Nicolas Laflorencie

      • Quantum spin chains in disordered field (localization - delocalization)
      • Extreme value theory
      • More tensor networks!

      Seminar on

      Wednesday, 11:00 @ LPMMC

      PhD @ EPFL  ( Lausanne)

      with Frédéric Mila

      • Classical frustrated magnetism
      • Tensor networks
      • Artificial spin systems

      Acknowledgments

      4

      Andrew Smerald

      KIT | Germany

      Frédéric Mila

      EPFL | Switzerland

      Frank Verstraete

      Ghent University | Belgium

      Laurens Vanderstraeten

      Ghent University | Belgium

      Samuel Nyckees

      EPFL | Switzerland

      Afonso Rufino

      EPFL | Switzerland

      Bram Vanhecke

      University of Vienna | Austria

      J. COLBOIS | INTRO TO TNS. FOR CLASSICAL SPIN SYSTEMS | GRENOBLE | 06.11.2023

      Acknowledgments

      Andrew Smerald

      KIT | Germany

      Frédéric Mila

      EPFL | Switzerland

      Frank Verstraete

      Ghent University | Belgium

      Laurens Vanderstraeten

      Ghent University | Belgium

      Samuel Nyckees

      EPFL | Switzerland

      Afonso Rufino

      EPFL | Switzerland

      Bram Vanhecke

      University of Vienna | Austria

      J. COLBOIS | INTRO TO TNS. FOR CLASSICAL SPIN SYSTEMS | GRENOBLE | 06.11.2023

      4

      Acknowledgments

      Andrew Smerald

      KIT | Germany

      Frédéric Mila

      EPFL | Switzerland

      Frank Verstraete

      Ghent University | Belgium

      Laurens Vanderstraeten

      Ghent University | Belgium

      Samuel Nyckees

      EPFL | Switzerland

      Afonso Rufino

      EPFL | Switzerland

      Bram Vanhecke

      University of Vienna | Austria

      J. COLBOIS | INTRO TO TNS. FOR CLASSICAL SPIN SYSTEMS | GRENOBLE | 06.11.2023

      4

      Acknowledgments

      Andrew Smerald

      KIT | Germany

      Frédéric Mila

      EPFL | Switzerland

      Frank Verstraete

      Ghent University | Belgium

      Laurens Vanderstraeten

      Ghent University | Belgium

      Samuel Nyckees

      EPFL | Switzerland

      Afonso Rufino

      EPFL | Switzerland

      Bram Vanhecke

      University of Vienna | Austria

      J. COLBOIS | INTRO TO TNS. FOR CLASSICAL SPIN SYSTEMS | GRENOBLE | 06.11.2023

      4

      Motivation : Classical frustration...

      What are frustrated (Ising) models?

      5

      H = J\sum_{\langle i,j \rangle} \sigma_i \sigma_j \qquad \sigma_i = \pm 1

      J. COLBOIS | INTRO TO TNS. FOR CLASSICAL SPIN SYSTEMS | GRENOBLE | 06.11.2023

      5

      H = J\sum_{\langle i,j \rangle} \sigma_i \sigma_j \qquad \sigma_i = \pm 1
      d_{i,j} = \sigma_i \sigma_j

      2-up 1-down (UUD),

      2-down 1-up (DDU)

      J. COLBOIS | INTRO TO TNS. FOR CLASSICAL SPIN SYSTEMS | GRENOBLE | 06.11.2023

      What are frustrated (Ising) models?

      5

      H = J\sum_{\langle i,j \rangle} \sigma_i \sigma_j \qquad \sigma_i = \pm 1
      d_{i,j} = \sigma_i \sigma_j

      J. COLBOIS | INTRO TO TNS. FOR CLASSICAL SPIN SYSTEMS | GRENOBLE | 06.11.2023

      What are frustrated (Ising) models?

      2-up 1-down (UUD),

      2-down 1-up (DDU)

      2-up 1-down (UUD),

      2-down 1-up (DDU)

      5

      H = J\sum_{\langle i,j \rangle} \sigma_i \sigma_j \qquad \sigma_i = \pm 1
      W_{G.S.} = \# \text{ configurations } \gtrsim 2^{N/3}
      S := \lim_{N \rightarrow \infty} \frac{\ln(W_{\text{G.S.}})}{N}

      J. COLBOIS | INTRO TO TNS. FOR CLASSICAL SPIN SYSTEMS | GRENOBLE | 06.11.2023

      What are frustrated (Ising) models?

      2-up 1-down (UUD),

      2-down 1-up (DDU)

      2-up 1-down (UUD),

      2-down 1-up (DDU)

      d_{i,j} = \sigma_i \sigma_j

      5

      H = J\sum_{\langle i,j \rangle} \sigma_i \sigma_j \qquad \sigma_i = \pm 1
      S = 0.3230659...

      G.H. Wannier, PR 79, (1950, 1973)

      W_{G.S.} = \# \text{ configurations } \gtrsim 2^{N/3}
      d_{i,j} = \sigma_i \sigma_j
      S := \lim_{N \rightarrow \infty} \frac{\ln(W_{\text{G.S.}})}{N}

      2-up 1-down (UUD),

      2-down 1-up (DDU)

      J. COLBOIS | INTRO TO TNS. FOR CLASSICAL SPIN SYSTEMS | GRENOBLE | 06.11.2023

      What are frustrated (Ising) models?

      2-up 1-down (UUD),

      2-down 1-up (DDU)

      5

      H = J\sum_{\langle i,j \rangle} \sigma_i \sigma_j \qquad \sigma_i = \pm 1
      S = 0.3230659...
      S = 0.501833...

      G.H. Wannier, PR 79, (1950, 1973)

      K. Kano and S. Naya, Prog. Theor. Phys. 10, (1953)

      W_{G.S.} = \# \text{ configurations } \gtrsim 2^{N/3}
      d_{i,j} = \sigma_i \sigma_j
      S := \lim_{N \rightarrow \infty} \frac{\ln(W_{\text{G.S.}})}{N}

      2-up 1-down (UUD),

      2-down 1-up (DDU)

      \xi = 1.2506...

      A. Sütö, Z. Phys. B 44, (1981)

      W. Apel, H.-U. Everts, J. Stat. Mech, (2011)

      J. COLBOIS | INTRO TO TNS. FOR CLASSICAL SPIN SYSTEMS | GRENOBLE | 06.11.2023

      What are frustrated (Ising) models?

      5

      H = J\sum_{\langle i,j \rangle} \sigma_i \sigma_j \qquad \sigma_i = \pm 1
      S = 0.3230659...
      S = 0.501833...

      G.H. Wannier, PR 79, (1950, 1973)

      K. Kano and S. Naya, Prog. Theor. Phys. 10, (1953)

      W_{G.S.} = \# \text{ configurations } \gtrsim 2^{N/3}
      d_{i,j} = \sigma_i \sigma_j
      S := \lim_{N \rightarrow \infty} \frac{\ln(W_{\text{G.S.}})}{N}

      2-up 1-down (UUD),

      2-down 1-up (DDU)

      \xi = 1.2506...

      A. Sütö, Z. Phys. B 44, (1981)

      W. Apel, H.-U. Everts, J. Stat. Mech, (2011)

      J. COLBOIS | INTRO TO TNS. FOR CLASSICAL SPIN SYSTEMS | GRENOBLE | 06.11.2023

      What are frustrated (Ising) models?

      What about farther-neighbor interactions ?

      T. Mizoguichi, L. Jaubert, M. Udagawa,

      PRL 119, 077207 (2017)

      J. COLBOIS | INTRO TO TNS. FOR CLASSICAL SPIN SYSTEMS | GRENOBLE | 06.11.2023

      Some examples

      6

      Fine-tuning  : \( J = J_2 = J_3\)

      Macroscopic degeneracy

      D. Kiese, F. Ferrari, N. Astrakhantsev, N. Niggemann, P. Ghosh et al. , PRR 5, L012025 (2023)

      T. Mizoguichi, L. Jaubert, M. Udagawa,

      PRL 119, 077207 (2017)

      Fine-tuning  : \( J = J_2 = J_3\)

      J. COLBOIS | INTRO TO TNS. FOR CLASSICAL SPIN SYSTEMS | GRENOBLE | 06.11.2023

      Some examples

      6

      Macroscopic degeneracy

      T. Lugan, L.D.C. Jaubert, M. Udagawa, A. Ralko,

      PRB 106, L140404 (2022)

      Some examples

      7

      Complex behavior

      J. COLBOIS | INTRO TO TNS. FOR CLASSICAL SPIN SYSTEMS | GRENOBLE | 06.11.2023

      Spin ice

      Emergent electrodynamics

      C. Castlenovo, R. Moessner, S. L. Sondhi, Nature 451 (2008)

      J. COLBOIS | INTRO TO TNS. FOR CLASSICAL SPIN SYSTEMS | GRENOBLE | 06.11.2023

      Complex behavior

      Some examples

      7

      In-plane artificial kagome ice

      L. Anghinolfi et al.,

      Nat. Commun. 6, (2015)

      Long-range vs short-range interactions

      \(\rightarrow\) nature of the transition

      Emergent electrodynamics

      C. Castlenovo, R. Moessner, S. L. Sondhi, Nature 451 (2008)

      J. COLBOIS | INTRO TO TNS. FOR CLASSICAL SPIN SYSTEMS | GRENOBLE | 06.11.2023

      Complex behavior

      Some examples

      7

      Spin ice

      In-plane artificial kagome ice

      L. Anghinolfi et al.,

      Nat. Commun. 6, (2015)

      Long-range vs short-range interactions

      \(\rightarrow\) nature of the transition

      local constraint

      Emergent electrodynamics

      C. Castlenovo, R. Moessner, S. L. Sondhi, Nature 451 (2008)

      J. COLBOIS | INTRO TO TNS. FOR CLASSICAL SPIN SYSTEMS | GRENOBLE | 06.11.2023

      Complex behavior

      Some examples

      7

      Spin ice

      J. COLBOIS | INTRO TO TNS. FOR CLASSICAL SPIN SYSTEMS | GRENOBLE | 06.11.2023

      8

       

      I. A. Chioar, N. Rougemaille, B. Canals, PRB 93, (2016)

       

      H = J \sum_{\langle i, j \rangle } \sigma_i \sigma_j + D \sum_{(i,j)} \frac{\sigma_i \sigma_j}{r_{ij}^3}

      Artificial spin systems

      J. COLBOIS | INTRO TO TNS. FOR CLASSICAL SPIN SYSTEMS | GRENOBLE | 06.11.2023

      8

       

      I. A. Chioar, N. Rougemaille, B. Canals, PRB 93, (2016)

       

      H = J \sum_{\langle i, j \rangle } \sigma_i \sigma_j + D \sum_{(i,j)} \frac{\sigma_i \sigma_j}{r_{ij}^3}

      Artificial spin systems

       

      Luo et al. Science 363, (2019)

      Colbois et al., PRB 104 (2021)

      DMI : possibility of tuning the nearest-neighbor  coupling

      J. COLBOIS | INTRO TO TNS. FOR CLASSICAL SPIN SYSTEMS | GRENOBLE | 06.11.2023

      9

       

      I. A. Chioar, N. Rougemaille, B. Canals, PRB 93, (2016)

       

      H = J \sum_{\langle i, j \rangle } \sigma_i \sigma_j + D \sum_{(i,j)} \frac{\sigma_i \sigma_j}{r_{ij}^3}

      One question among others

      Q_{\bigtriangleup} = \sum_i \sigma_i\\ Q_{\bigtriangledown} = - \sum_i \sigma_i

       

      I. A. Chioar, N. Rougemaille, B. Canals, PRB 93, (2016)

      J. Hamp, C. Castelnovo, R. Moessner, PRB 98, (2018)

      L. Cugliandolo, L. Foini, M. Tarzia, PRB 101 (2020)

      J. COLBOIS | INTRO TO TNS. FOR CLASSICAL SPIN SYSTEMS | GRENOBLE | 06.11.2023

      9

       

      I. A. Chioar, N. Rougemaille, B. Canals, PRB 93, (2016)

       

      H = J \sum_{\langle i, j \rangle } \sigma_i \sigma_j + D \sum_{(i,j)} \frac{\sigma_i \sigma_j}{r_{ij}^3}

      One question among others

      Q_{\bigtriangleup} = \sum_i \sigma_i\\ Q_{\bigtriangledown} = - \sum_i \sigma_i

       

      I. A. Chioar, N. Rougemaille, B. Canals, PRB 93, (2016)

      J. Hamp, C. Castelnovo, R. Moessner, PRB 98, (2018)

      L. Cugliandolo, L. Foini, M. Tarzia, PRB 101 (2020)

      How does the

      degeneracy get lifted?

      Can there be macroscopic degeneracy beyond fine-tuning?

      "Cahier des charges"

      10

      1. Residual entropy

       

      2. Correlations / structure factors

       

      3. Controlled scaling (finite - size / finite - entanglement)

      J. COLBOIS | INTRO TO TNS. FOR CLASSICAL SPIN SYSTEMS | GRENOBLE | 06.11.2023

      Tensor networks primer

      The DMRG revolution...

      11

      J. COLBOIS | INTRO TO TNS. FOR CLASSICAL SPIN SYSTEMS | GRENOBLE | 06.11.2023

      Steve White, PRL (1992), PRB (1993)

      Fannes, Nachtergale and Werner (1992)

      The DMRG revolution...

      11

      J. COLBOIS | INTRO TO TNS. FOR CLASSICAL SPIN SYSTEMS | GRENOBLE | 06.11.2023

      Steve White, PRL (1992), PRB (1993)

      The DMRG webpage  (T. Nishino) : 5 papers in 1993 ... ~25 papers in October 2023

      Fannes, Nachtergale and Werner (1992)

      the curse of dimensionality - the power of tns

      12

      J. COLBOIS | INTRO TO TNS. FOR CLASSICAL SPIN SYSTEMS | GRENOBLE | 06.11.2023

      M. Fannes, B. Nachtergaele, R.F. Werner, Commun. Math. Phys. 144 (1992)

      Pasquale Calabrese and John Cardy J. Stat. Mech. (2004) P06002

      M B Hastings J. Stat. Mech. (2007) P08024

      the curse of dimensionality - the power of tns

      12

      J. COLBOIS | INTRO TO TNS. FOR CLASSICAL SPIN SYSTEMS | GRENOBLE | 06.11.2023

      \(2^L\)

      Many-body Hilbert space

      M. Fannes, B. Nachtergaele, R.F. Werner, Commun. Math. Phys. 144 (1992)

      Pasquale Calabrese and John Cardy J. Stat. Mech. (2004) P06002

      M B Hastings J. Stat. Mech. (2007) P08024

      the curse of dimensionality - the power of tns

      12

      J. COLBOIS | INTRO TO TNS. FOR CLASSICAL SPIN SYSTEMS | GRENOBLE | 06.11.2023

      \(2^L\)

      Many-body Hilbert space

      Ground states of gapped, local Hamiltonians

      M. Fannes, B. Nachtergaele, R.F. Werner, Commun. Math. Phys. 144 (1992)

      Pasquale Calabrese and John Cardy J. Stat. Mech. (2004) P06002

      M B Hastings J. Stat. Mech. (2007) P08024

      the curse of dimensionality - the power of tns

      12

      J. COLBOIS | INTRO TO TNS. FOR CLASSICAL SPIN SYSTEMS | GRENOBLE | 06.11.2023

      \(2^L\)

      Many-body Hilbert space

      M. Fannes, B. Nachtergaele, R.F. Werner, Commun. Math. Phys. 144 (1992)

      Pasquale Calabrese and John Cardy J. Stat. Mech. (2004) P06002

      M B Hastings J. Stat. Mech. (2007) P08024

      Ground states of gapped, local Hamiltonians

      \(\Rightarrow\) TNs are very good at describing these states

      • No sign problem!

      Ground states of gapped, local Hamiltonians

      TNs For 2D classical systems - Why?

      13

      J. COLBOIS | INTRO TO TNS. FOR CLASSICAL SPIN SYSTEMS | GRENOBLE | 06.11.2023

      TNs For 2D classical systems - Why?

      13

      J. COLBOIS | INTRO TO TNS. FOR CLASSICAL SPIN SYSTEMS | GRENOBLE | 06.11.2023

      2D classical is "like" 1D quantum

      TNs For 2D classical systems - Why?

      13

      J. COLBOIS | INTRO TO TNS. FOR CLASSICAL SPIN SYSTEMS | GRENOBLE | 06.11.2023

      2D classical is "like" 1D quantum

      Building block  for 2D quantum problems - algorithms already optimized

      TNs For 2D classical systems - Why?

      13

      J. COLBOIS | INTRO TO TNS. FOR CLASSICAL SPIN SYSTEMS | GRENOBLE | 06.11.2023

      2D classical is "like" 1D quantum

      Building block  for 2D quantum problems - algorithms already optimized

      Infinite size for translation-invariant problems

      \( \rightarrow\) T. Nishino & K. Okunishi, 1995, 1996

      Why Should tn be useful for frustrated models?

      14

      J. COLBOIS | INTRO TO TNS. FOR CLASSICAL SPIN SYSTEMS | GRENOBLE | 06.11.2023

      Why Should tn be useful for frustrated models?

      14

      Monte Carlo?

      no sign problem (classical)

      ergodicity

      J. COLBOIS | INTRO TO TNS. FOR CLASSICAL SPIN SYSTEMS | GRENOBLE | 06.11.2023

      Why Should tn be useful for frustrated models?

      14

      Monte Carlo?

      no sign problem (classical)

      ergodicity

      J. COLBOIS | INTRO TO TNS. FOR CLASSICAL SPIN SYSTEMS | GRENOBLE | 06.11.2023

      S = \lim_{N \rightarrow \infty} \frac{1}{N} \ln\left(W_N\right)

      Why Should tn be useful for frustrated models?

      14

      Monte Carlo?

      no sign problem (classical)

      ergodicity

      J. COLBOIS | INTRO TO TNS. FOR CLASSICAL SPIN SYSTEMS | GRENOBLE | 06.11.2023

      S = \lim_{N \rightarrow \infty} \frac{1}{N} \ln\left(W_N\right)
      \mathcal{Z}_N = \sum_{\{\sigma\}} e^{-\beta \mathcal{H}(\{\sigma\})} = e^{-\beta E_{\rm{GS}}} {\color{orange}\sum_{\{\sigma\}} e^{-\beta \left(\mathcal{H}(\{\sigma\})- E_{\rm{GS}}\right)}}\\ = e^{-\beta E_{\rm{GS}}} {\color{orange}\tilde{\mathcal{Z}}_N}

      Why Should tn be useful for frustrated models?

      14

      Monte Carlo?

      no sign problem (classical)

      ergodicity

      J. COLBOIS | INTRO TO TNS. FOR CLASSICAL SPIN SYSTEMS | GRENOBLE | 06.11.2023

      \lim_{\beta \rightarrow \infty} {\color{orange}\tilde{\mathcal{Z}}_N} = {\color{orange}W_N}
      S = \lim_{N \rightarrow \infty} \frac{1}{N} \ln\left(W_N\right)
      \mathcal{Z}_N = \sum_{\{\sigma\}} e^{-\beta \mathcal{H}(\{\sigma\})} = e^{-\beta E_{\rm{GS}}} {\color{orange}\sum_{\{\sigma\}} e^{-\beta \left(\mathcal{H}(\{\sigma\})- E_{\rm{GS}}\right)}}\\ = e^{-\beta E_{\rm{GS}}} {\color{orange}\tilde{\mathcal{Z}}_N}
      \cong {\color{orange}\lambda_+}^N

      Why Should tn be useful for frustrated models?

      14

      Monte Carlo?

      no sign problem (classical)

      ergodicity

      J. COLBOIS | INTRO TO TNS. FOR CLASSICAL SPIN SYSTEMS | GRENOBLE | 06.11.2023

      \lim_{\beta \rightarrow \infty} {\color{orange}\tilde{\mathcal{Z}}_N} = {\color{orange}W_N}
      S = \lim_{N \rightarrow \infty} \frac{1}{N} \ln\left(W_N\right)
      \cong {\color{orange}\lambda_+}^N
      \mathcal{Z}_N = \sum_{\{\sigma\}} e^{-\beta \mathcal{H}(\{\sigma\})} = e^{-\beta E_{\rm{GS}}} {\color{orange}\sum_{\{\sigma\}} e^{-\beta \left(\mathcal{H}(\{\sigma\})- E_{\rm{GS}}\right)}}\\ = e^{-\beta E_{\rm{GS}}} {\color{orange}\tilde{\mathcal{Z}}_N}

      Partition function for one site...

      ...  Most precise result out of the TN

      Direct access to zero temperature

      Tensor networks : inspired by transfer matrices

      15

      \mathcal{Z}_L = \sum_{\sigma_1,\sigma_2,\dots\sigma_L} \prod_{i}e^{\beta J \sigma_i \sigma_{i+1}}

      Tensor notation: R. Penrose, in Combinatorial Mathematics and its applications, Academic Press (1971)

      image/svg+xml

      J. COLBOIS | INTRO TO TNS. FOR CLASSICAL SPIN SYSTEMS | GRENOBLE | 06.11.2023

      Tensor networks : inspired by transfer matrices

      \mathcal{Z}_L = \sum_{\sigma_1,\sigma_2,\dots\sigma_L} \prod_{i}e^{\beta J \sigma_i \sigma_{i+1}}
      T = \begin{pmatrix} e^{\beta J} &e^{-\beta J}\\ e^{-\beta J} &e^{\beta J}\\ \end{pmatrix}

      Tensor notation: R. Penrose, in Combinatorial Mathematics and its applications, Academic Press (1971)

      image/svg+xml

      J. COLBOIS | INTRO TO TNS. FOR CLASSICAL SPIN SYSTEMS | GRENOBLE | 06.11.2023

      15

      Tensor networks : inspired by transfer matrices

      \mathcal{Z}_L = \sum_{\sigma_1,\sigma_2,\dots\sigma_L} \prod_{i}e^{\beta J \sigma_i \sigma_{i+1}}
      T = \begin{pmatrix} e^{\beta J} &e^{-\beta J}\\ e^{-\beta J} &e^{\beta J}\\ \end{pmatrix}

      Tensor notation: R. Penrose, in Combinatorial Mathematics and its applications, Academic Press (1971)

      image/svg+xml
      \mathcal{Z}_L = \sum_{\sigma_0} (T^L)_{\sigma_0, \sigma_0}

      J. COLBOIS | INTRO TO TNS. FOR CLASSICAL SPIN SYSTEMS | GRENOBLE | 06.11.2023

      15

      Tensor networks : inspired by transfer matrices

      \mathcal{Z}_L = \sum_{\sigma_1,\sigma_2,\dots\sigma_L} \prod_{i}e^{\beta J \sigma_i \sigma_{i+1}}
      T = \begin{pmatrix} e^{\beta J} &e^{-\beta J}\\ e^{-\beta J} &e^{\beta J}\\ \end{pmatrix}

      Tensor notation: R. Penrose, in Combinatorial Mathematics and its applications, Academic Press (1971)

      image/svg+xml
      \mathcal{Z}_L = \sum_{\sigma_0} (T^L)_{\sigma_0, \sigma_0}

      15

      J. COLBOIS | INTRO TO TNS. FOR CLASSICAL SPIN SYSTEMS | GRENOBLE | 06.11.2023

      T^L = \left(P^{-1} \Lambda P\right)^L = P^{-1} \Lambda^L P

      Tensor networks : inspired by transfer matrices

      \mathcal{Z}_L = \sum_{\sigma_1,\sigma_2,\dots\sigma_L} \prod_{i}e^{\beta J \sigma_i \sigma_{i+1}}
      T = \begin{pmatrix} e^{\beta J} &e^{-\beta J}\\ e^{-\beta J} &e^{\beta J}\\ \end{pmatrix}

      Tensor notation: R. Penrose, in Combinatorial Mathematics and its applications, Academic Press (1971)

      image/svg+xml
      \mathcal{Z}_L = \sum_{\sigma_0} (T^L)_{\sigma_0, \sigma_0}
      T^L = \left(P^{-1} \Lambda P\right)^L = P^{-1} \Lambda^L P

      15

      J. COLBOIS | INTRO TO TNS. FOR CLASSICAL SPIN SYSTEMS | GRENOBLE | 06.11.2023

      \Lambda = \begin{pmatrix} \lambda_{+} & 0 \\ 0 & \lambda_{-} \end{pmatrix} = \lambda_{+} \begin{pmatrix} 1& 0 \\ 0 & \frac{\lambda_{-}}{\lambda_{+}} \end{pmatrix}

      Tensor networks : inspired by transfer matrices

      \mathcal{Z}_L = \sum_{\sigma_1,\sigma_2,\dots\sigma_L} \prod_{i}e^{\beta J \sigma_i \sigma_{i+1}}
      T = \begin{pmatrix} e^{\beta J} &e^{-\beta J}\\ e^{-\beta J} &e^{\beta J}\\ \end{pmatrix}

      Tensor notation: R. Penrose, in Combinatorial Mathematics and its applications, Academic Press (1971)

      image/svg+xml
      \mathcal{Z}_L = \sum_{\sigma_0} (T^L)_{\sigma_0, \sigma_0}
      T^L = \left(P^{-1} \Lambda P\right)^L = P^{-1} \Lambda^L P

      "Exact contraction"

      15

      J. COLBOIS | INTRO TO TNS. FOR CLASSICAL SPIN SYSTEMS | GRENOBLE | 06.11.2023

      \Lambda = \begin{pmatrix} \lambda_{+} & 0 \\ 0 & \lambda_{-} \end{pmatrix} = \lambda_{+} \begin{pmatrix} 1& 0 \\ 0 & \frac{\lambda_{-}}{\lambda_{+}} \end{pmatrix}
      \Lambda^{L} = \lambda_{+}^{L} \begin{pmatrix} 1& 0 \\ 0 & \left(\frac{\lambda_{-}}{\lambda_{+}}\right)^L \end{pmatrix}

      Tensor networks : inspired by transfer matrices

      \mathcal{Z}_L = \sum_{\sigma_1,\sigma_2,\dots\sigma_L} \prod_{i}e^{\beta J \sigma_i \sigma_{i+1}}
      T = \begin{pmatrix} e^{\beta J} &e^{-\beta J}\\ e^{-\beta J} &e^{\beta J}\\ \end{pmatrix}

      Tensor notation: R. Penrose, in Combinatorial Mathematics and its applications, Academic Press (1971)

      image/svg+xml
      \mathcal{Z}_L = \sum_{\sigma_0} (T^L)_{\sigma_0, \sigma_0}
      T^L = \left(P^{-1} \Lambda P\right)^L = P^{-1} \Lambda^L P

      "Exact contraction"

      15

      J. COLBOIS | INTRO TO TNS. FOR CLASSICAL SPIN SYSTEMS | GRENOBLE | 06.11.2023

      \Lambda = \begin{pmatrix} \lambda_{+} & 0 \\ 0 & \lambda_{-} \end{pmatrix} = \lambda_{+} \begin{pmatrix} 1& 0 \\ 0 & \frac{\lambda_{-}}{\lambda_{+}} \end{pmatrix}
      \Lambda^{L} = \lambda_{+}^{L} \begin{pmatrix} 1& 0 \\ 0 & \left(\frac{\lambda_{-}}{\lambda_{+}}\right)^L \end{pmatrix} \xrightarrow[L \to \infty]{} \lambda_{+}^{L} \begin{pmatrix} 1& 0 \\ 0 & 0 \end{pmatrix}

      "Approximate  contraction"

      TN language

      16

      Tensor notation: R. Penrose, in Combinatorial Mathematics and its applications, Academic Press (1971)

      "Contraction"

      Matrix / tensor

      Vector

      Open legs =  number of indices = "rank"

      J. COLBOIS | INTRO TO TNS. FOR CLASSICAL SPIN SYSTEMS | GRENOBLE | 06.11.2023

      TN language

      16

      Tensor notation: R. Penrose, in Combinatorial Mathematics and its applications, Academic Press (1971)

      "Contraction"

      Matrix / tensor

      Vector

      Open legs =  number of indices = "rank"

      J. COLBOIS | INTRO TO TNS. FOR CLASSICAL SPIN SYSTEMS | GRENOBLE | 06.11.2023

      TN language

      Tensor notation: R. Penrose, in Combinatorial Mathematics and its applications, Academic Press (1971)

      "Contraction"

      Matrix / tensor

      Vector

      Open legs =  number of indices = "rank"

      16

      J. COLBOIS | INTRO TO TNS. FOR CLASSICAL SPIN SYSTEMS | GRENOBLE | 06.11.2023

      2D partition function

      17

      R. J. Baxter, J. Math. Phys. 9, 1968

      R. Orús, G. Vidal, PRB 78, 2008

      T. Nishino, K. Okunishi, J. Phys. Soc. Jpn 65, 1996

      J. COLBOIS | INTRO TO TNS. FOR CLASSICAL SPIN SYSTEMS | GRENOBLE | 06.11.2023

      2D partition function

      17

      R. J. Baxter, J. Math. Phys. 9, 1968

      R. Orús, G. Vidal, PRB 78, 2008

      T. Nishino, K. Okunishi, J. Phys. Soc. Jpn 65, 1996

      T = \begin{pmatrix} e^{\beta J} &e^{-\beta J}\\ e^{-\beta J} &e^{\beta J}\\ \end{pmatrix}

      J. COLBOIS | INTRO TO TNS. FOR CLASSICAL SPIN SYSTEMS | GRENOBLE | 06.11.2023

      2D partition function

      17

      R. J. Baxter, J. Math. Phys. 9, 1968

      R. Orús, G. Vidal, PRB 78, 2008

      T. Nishino, K. Okunishi, J. Phys. Soc. Jpn 65, 1996

      T = \begin{pmatrix} e^{\beta J} &e^{-\beta J}\\ e^{-\beta J} &e^{\beta J}\\ \end{pmatrix}
      \delta_{\sigma_{i,1}, \sigma_{i,2}, \sigma_{i,3}, \sigma_{i,4}} = \begin{cases} 1 & \text{ all equal}\\ 0 & \text{ otherwise} \end{cases}

      J. COLBOIS | INTRO TO TNS. FOR CLASSICAL SPIN SYSTEMS | GRENOBLE | 06.11.2023

      2D partition function

      R. J. Baxter, J. Math. Phys. 9, 1968

      R. Orús, G. Vidal, PRB 78, 2008

      T. Nishino, K. Okunishi, J. Phys. Soc. Jpn 65, 1996

      T = \begin{pmatrix} e^{\beta J} &e^{-\beta J}\\ e^{-\beta J} &e^{\beta J}\\ \end{pmatrix}
      \delta_{\sigma_{i,1}, \sigma_{i,2}, \sigma_{i,3}, \sigma_{i,4}} = \begin{cases} 1 & \text{ all equal}\\ 0 & \text{ otherwise} \end{cases}

      17

      J. COLBOIS | INTRO TO TNS. FOR CLASSICAL SPIN SYSTEMS | GRENOBLE | 06.11.2023

      2D partition function contraction

      18

      \mathcal{Z}_N =

      R. J. Baxter, J. Math. Phys. 9, 1968

      Orús, Vidal, PRB 78, 2008;

      V. Zauner-Stauber et. al. PRB 97,2018;

      M. Fishman et. al PRB 98, 2018

      J. COLBOIS | INTRO TO TNS. FOR CLASSICAL SPIN SYSTEMS | GRENOBLE | 06.11.2023

      Row to row transfer matrix -> "Matrix product operator"

      2D partition function contraction

      R. J. Baxter, J. Math. Phys. 9, 1968

      Orús, Vidal, PRB 78, 2008;

      V. Zauner-Stauber et. al. PRB 97,2018;

      M. Fishman et. al PRB 98, 2018

      J. COLBOIS | INTRO TO TNS. FOR CLASSICAL SPIN SYSTEMS | GRENOBLE | 06.11.2023

      18

      Row to row transfer matrix -> "Matrix product operator"

      2D partition function contraction

      R. J. Baxter, J. Math. Phys. 9, 1968

      Orús, Vidal, PRB 78, 2008;

      V. Zauner-Stauber et. al. PRB 97,2018;

      M. Fishman et. al PRB 98, 2018

      J. COLBOIS | INTRO TO TNS. FOR CLASSICAL SPIN SYSTEMS | GRENOBLE | 06.11.2023

      18

      Row to row transfer matrix -> "Matrix product operator"

      2D partition function contraction

      R. J. Baxter, J. Math. Phys. 9, 1968

      Orús, Vidal, PRB 78, 2008;

      V. Zauner-Stauber et. al. PRB 97,2018;

      M. Fishman et. al PRB 98, 2018

      J. COLBOIS | INTRO TO TNS. FOR CLASSICAL SPIN SYSTEMS | GRENOBLE | 06.11.2023

      18

      Row to row transfer matrix -> "Matrix product operator"

      2D partition function contraction

      R. J. Baxter, J. Math. Phys. 9, 1968

      Orús, Vidal, PRB 78, 2008;

      V. Zauner-Stauber et. al. PRB 97,2018;

      M. Fishman et. al PRB 98, 2018

      J. COLBOIS | INTRO TO TNS. FOR CLASSICAL SPIN SYSTEMS | GRENOBLE | 06.11.2023

      18

      19

      Matrix - Product - State Ansatz

      R. J. Baxter, J. Math. Phys. 9, 1968

      S. R. White, PRL 69, 2863-2866 (1992) & PRB 49, 10345-10356 (1993)

      G. Vidal, PRL 91 147902 (2003) & PRL 98, 070201 (2007)

       

      J. COLBOIS | INTRO TO TNS. FOR CLASSICAL SPIN SYSTEMS | GRENOBLE | 06.11.2023

      19

      Matrix - Product - State Ansatz

      R. J. Baxter, J. Math. Phys. 9, 1968

      S. R. White, PRL 69, 2863-2866 (1992) & PRB 49, 10345-10356 (1993)

      G. Vidal, PRL 91 147902 (2003) & PRL 98, 070201 (2007)

       

      J. COLBOIS | INTRO TO TNS. FOR CLASSICAL SPIN SYSTEMS | GRENOBLE | 06.11.2023

      |\phi\rangle = \sum_{\{s_j\}} \phi_{\dots, s_{j-1}, s_j, s_{j+1}, \dots} |\dots, s_{j-1}, s_{j}, s_{j+1}, \dots\rangle

      EXPONENTIAL # of PARAMETERS

      2^L
      |\phi\rangle = \sum_{\{s_j\}} \phi_{\dots, s_{j-1}, s_j, s_{j+1}, \dots} |\dots, s_{j-1}, s_{j}, s_{j+1}, \dots\rangle

      EXPONENTIAL # of PARAMETERS

      2^L

      R. J. Baxter, J. Math. Phys. 9, 1968

      S. R. White, PRL 69, 2863-2866 (1992) & PRB 49, 10345-10356 (1993)

      G. Vidal, PRL 91 147902 (2003) & PRL 98, 070201 (2007)

       

      J. COLBOIS | INTRO TO TNS. FOR CLASSICAL SPIN SYSTEMS | GRENOBLE | 06.11.2023

      Matrix - Product - State Ansatz

      19

      \chi
      \chi
      |\phi\rangle = \sum_{\{s_j\}} \phi_{\dots, s_{j-1}, s_j, s_{j+1}, \dots} |\dots, s_{j-1}, s_{j}, s_{j+1}, \dots\rangle

      EXPONENTIAL # of PARAMETERS

      2^L

      R. J. Baxter, J. Math. Phys. 9, 1968

      S. R. White, PRL 69, 2863-2866 (1992) & PRB 49, 10345-10356 (1993)

      G. Vidal, PRL 91 147902 (2003) & PRL 98, 070201 (2007)

       

      J. COLBOIS | INTRO TO TNS. FOR CLASSICAL SPIN SYSTEMS | GRENOBLE | 06.11.2023

      Matrix - Product - State Ansatz

      19

      CONSTANT # of

      PARAMETERS (poly. in \(\chi\))

      (\chi \times 2 \times \chi)
      \chi
      \chi
      |\phi\rangle = \sum_{\{s_j\}} \phi_{\dots, s_{j-1}, s_j, s_{j+1}, \dots} |\dots, s_{j-1}, s_{j}, s_{j+1}, \dots\rangle

      EXPONENTIAL # of PARAMETERS

      2^L

      R. J. Baxter, J. Math. Phys. 9, 1968

      S. R. White, PRL 69, 2863-2866 (1992) & PRB 49, 10345-10356 (1993)

      G. Vidal, PRL 91 147902 (2003) & PRL 98, 070201 (2007)

       

      J. COLBOIS | INTRO TO TNS. FOR CLASSICAL SPIN SYSTEMS | GRENOBLE | 06.11.2023

      Matrix - Product - State Ansatz

      19

      CONSTANT # of

      PARAMETERS (poly. in \(\chi\))

      (\chi \times 2 \times \chi)
      \chi
      \chi

      Control parameter!

      tWO MAIN SCHEMES

      20

      (1 + 1)D

      iTEBD / VUMPS

      R. J. Baxter, J. Math. Phys. 9, 1968

      Orús, Vidal, PRB 78, 2008;

      V. Zauner-Stauber et. al. PRB 97,2018;

      M. Fishman et. al PRB 98, 2018 

      J. COLBOIS | INTRO TO TNS. FOR CLASSICAL SPIN SYSTEMS | GRENOBLE | 06.11.2023

      tWO MAIN SCHEMES

      (1 + 1)D

      iTEBD / VUMPS

      R. J. Baxter, J. Math. Phys. 9, 1968

      Orús, Vidal, PRB 78, 2008;

      V. Zauner-Stauber et. al. PRB 97,2018;

      M. Fishman et. al PRB 98, 2018 

      2D

      R. J. Baxter, J. Math. Phys. 9, 1968

      T. Nishino, K. Okunishi, J. Phys. Soc. Jpn 65, 1996

      Fishman et al. PRB 98, 2018

      J. COLBOIS | INTRO TO TNS. FOR CLASSICAL SPIN SYSTEMS | GRENOBLE | 06.11.2023

      20

      tWO MAIN SCHEMES

      (1 + 1)D

      iTEBD / VUMPS

      R. J. Baxter, J. Math. Phys. 9, 1968

      Orús, Vidal, PRB 78, 2008;

      V. Zauner-Stauber et. al. PRB 97,2018;

      M. Fishman et. al PRB 98, 2018 

      R. J. Baxter, J. Math. Phys. 9, 1968

      T. Nishino, K. Okunishi, J. Phys. Soc. Jpn 65, 1996

      Fishman et al. PRB 98, 2018

      2D

      J. COLBOIS | INTRO TO TNS. FOR CLASSICAL SPIN SYSTEMS | GRENOBLE | 06.11.2023

      20

      tWO MAIN SCHEMES

      (1 + 1)D

      iTEBD / VUMPS

      R. J. Baxter, J. Math. Phys. 9, 1968

      Orús, Vidal, PRB 78, 2008;

      V. Zauner-Stauber et. al. PRB 97,2018;

      M. Fishman et. al PRB 98, 2018 

      R. J. Baxter, J. Math. Phys. 9, 1968

      T. Nishino, K. Okunishi, J. Phys. Soc. Jpn 65, 1996

      Fishman et al. PRB 98, 2018

      2D

      J. COLBOIS | INTRO TO TNS. FOR CLASSICAL SPIN SYSTEMS | GRENOBLE | 06.11.2023

      20

      tWO MAIN SCHEMES

      (1 + 1)D

      iTEBD / VUMPS

      R. J. Baxter, J. Math. Phys. 9, 1968

      Orús, Vidal, PRB 78, 2008;

      V. Zauner-Stauber et. al. PRB 97,2018;

      M. Fishman et. al PRB 98, 2018 

      R. J. Baxter, J. Math. Phys. 9, 1968

      T. Nishino, K. Okunishi, J. Phys. Soc. Jpn 65, 1996

      Fishman et al. PRB 98, 2018

      2D

      J. COLBOIS | INTRO TO TNS. FOR CLASSICAL SPIN SYSTEMS | GRENOBLE | 06.11.2023

      20

      LOcal observables

      21

      R. J. Baxter, J. Math. Phys. 9, 1968

      Orús, Vidal, PRB 78, 2008;

      T. Nishino, K. Okunishi, J. Phys. Soc. Jpn 65, 1996

      V. Zauner-Stauber et. al. PRB 97,2018;

      M. Fishman et. al PRB 98, 2018 

      \(\langle m \rangle\) = 

      J. COLBOIS | INTRO TO TNS. FOR CLASSICAL SPIN SYSTEMS | GRENOBLE | 06.11.2023

      \(\propto\mathcal{Z}\)

      LOcal observables

      18

      R. J. Baxter, J. Math. Phys. 9, 1968

      Orús, Vidal, PRB 78, 2008;

      T. Nishino, K. Okunishi, J. Phys. Soc. Jpn 65, 1996

      V. Zauner-Stauber et. al. PRB 97,2018;

      M. Fishman et. al PRB 98, 2018 

      \(\langle m \rangle\) = 

      J. COLBOIS | INTRO TO TNS. FOR CLASSICAL SPIN SYSTEMS | GRENOBLE | 06.11.2023

      Conceptually simple and numerically efficient

      way of representing  and computing

       

      - classical partition functions

      - ground states of local Hamiltonians

      Tensor networks?

      The frustration problem

      The frustration problem 

      22

      J. COLBOIS | INTRO TO TNS. FOR CLASSICAL SPIN SYSTEMS | GRENOBLE | 06.11.2023

      The frustration problem 

      Fails in the presence of

      frustration and macroscopic g.s. degeneracy

      22

      J. COLBOIS | INTRO TO TNS. FOR CLASSICAL SPIN SYSTEMS | GRENOBLE | 06.11.2023

      The frustration problem 

      Fails in the presence of

      frustration and macroscopic g.s. degeneracy

      22

      J. COLBOIS | INTRO TO TNS. FOR CLASSICAL SPIN SYSTEMS | GRENOBLE | 06.11.2023

      \(\rightarrow\) in spin glasses

       

       

       

      C. Wang, S.-M. Qin, H.-J. Zhou, PRB 90, (2014)

      Z. Zhu, H. G. Katzgraber, arXiv:1903.07721 (2019)

      J. G. Liu, L. Wang, P. Zhang, PRL 126, (2021)

      The frustration problem 

      Fails in the presence of

      frustration and macroscopic g.s. degeneracy

      B. Vanhecke, JC, et al. PRR 3, (2021)

      \(\rightarrow\) in spin glasses

       

       

      \(\rightarrow \) in translation-invariant frustrated Ising models

       

       

      22

      C. Wang, S.-M. Qin, H.-J. Zhou, PRB 90, (2014)

      Z. Zhu, H. G. Katzgraber, arXiv:1903.07721 (2019)

      J. G. Liu, L. Wang, P. Zhang, PRL 126, (2021)

      J. COLBOIS | INTRO TO TNS. FOR CLASSICAL SPIN SYSTEMS | GRENOBLE | 06.11.2023

      The frustration problem 

      Fails in the presence of

      frustration and macroscopic g.s. degeneracy

      B. Vanhecke, JC, et al. PRR 3, (2021)

      \(\rightarrow\) in spin glasses

       

       

      \(\rightarrow \) in translation-invariant frustrated Ising models

      \(\rightarrow\) in lattice gas models

       

      S. A. Akimenko, PRE 107, (2023)

      22

      C. Wang, S.-M. Qin, H.-J. Zhou, PRB 90, (2014)

      Z. Zhu, H. G. Katzgraber, arXiv:1903.07721 (2019)

      J. G. Liu, L. Wang, P. Zhang, PRL 126, (2021)

      J. COLBOIS | INTRO TO TNS. FOR CLASSICAL SPIN SYSTEMS | GRENOBLE | 06.11.2023

      The frustration problem 

      Fails in the presence of

      frustration and macroscopic g.s. degeneracy

      B. Vanhecke, JC, et al. PRR 3, (2021)

      \(\rightarrow\) in spin glasses

       

       

      \(\rightarrow \) in translation-invariant frustrated Ising models

      \(\rightarrow\) in lattice gas models

      \(\rightarrow\) in frustrated XY models 

      S. A. Akimenko, PRE 107, (2023)

      F.F. Song, T.-Y. Lin, G. M. Zhang, arXiv:2309.05321

      22

      C. Wang, S.-M. Qin, H.-J. Zhou, PRB 90, (2014)

      Z. Zhu, H. G. Katzgraber, arXiv:1903.07721 (2019)

      J. G. Liu, L. Wang, P. Zhang, PRL 126, (2021)

      J. COLBOIS | INTRO TO TNS. FOR CLASSICAL SPIN SYSTEMS | GRENOBLE | 06.11.2023

      23

      J. COLBOIS | INTRO TO TNS. FOR CLASSICAL SPIN SYSTEMS | GRENOBLE | 06.11.2023

      T_{\sigma_1, \sigma_2, \sigma_3} =
      = \begin{cases} 0 \quad & \text{if } \sigma_1 = \sigma_2 = \sigma_3\\ 1 & \text{otherwise} \end{cases}
      T_{d_1, d_2,d_3} =
      = \begin{cases} 1 \quad & \text{if } \prod_i d_i = -1\\ 0 & \text{otherwise} \end{cases}

      A SURPRISE?

      A SURPRISE?

      23

      J. COLBOIS | INTRO TO TNS. FOR CLASSICAL SPIN SYSTEMS | GRENOBLE | 06.11.2023

      T_{\sigma_1, \sigma_2, \sigma_3} =
      = \begin{cases} 0 \quad & \text{if } \sigma_1 = \sigma_2 = \sigma_3\\ 1 & \text{otherwise} \end{cases}
      T_{d_1, d_2,d_3} =
      = \begin{cases} 1 \quad & \text{if } \prod_i d_i = -1\\ 0 & \text{otherwise} \end{cases}

       

      The convergence of the tensor network contraction depends on the

      formulation of the partition function

       

      Points of view

      Contracting the TN of a frustrated model

      Numerical problem

      Cancellation of small and large factors

      \tilde{t} = e^{\beta \frac{E_{\text{G.S.}}}{N_{\text{bonds}}}} t = \begin{pmatrix} e^{-\frac{4}{3}\beta J} & e^{\frac{2}{3}\beta J}\\ e^{\frac{2}{3}\beta J} & e^{-\frac{4}{3}\beta J}\end{pmatrix}

      23

      J. COLBOIS | INTRO TO TNS. FOR CLASSICAL SPIN SYSTEMS | GRENOBLE | 06.11.2023

      Points of view

      Contracting the TN of a frustrated model

      Numerical problem

      Cancellation of small and large factors

      C. Wang, S.-M. Qin, H.-J. Zhou, PRB 90, (2014)

      Z. Zhu, H. G. Katzgraber, arXiv:1903.07721 (2019)

       

      \(\rightarrow\) precision?

       

      J. G. Liu, L. Wang, P. Zhan, PRL 126, (2021)

      \(\rightarrow\) log?

      \tilde{t} = e^{\beta \frac{E_{\text{G.S.}}}{N_{\text{bonds}}}} t = \begin{pmatrix} e^{-\frac{4}{3}\beta J} & e^{\frac{2}{3}\beta J}\\ e^{\frac{2}{3}\beta J} & e^{-\frac{4}{3}\beta J}\end{pmatrix}

      23

      J. COLBOIS | INTRO TO TNS. FOR CLASSICAL SPIN SYSTEMS | GRENOBLE | 06.11.2023

      Points of view

      Contracting the TN of a frustrated model

      Numerical problem

      Cancellation of small and large factors

      C. Wang, S.-M. Qin, H.-J. Zhou, PRB 90, (2014)

      Z. Zhu, H. G. Katzgraber, arXiv:1903.07721 (2019)

       

      \(\rightarrow\) precision?

       

      J. G. Liu, L. Wang, P. Zhan, PRL 126, (2021)

      \(\rightarrow\) log?

      (For TN experts)

      MPO

      The MPO is badly conditioned (e.g. not hermitian, ...). Fix it?

      \tilde{t} = e^{\beta \frac{E_{\text{G.S.}}}{N_{\text{bonds}}}} t = \begin{pmatrix} e^{-\frac{4}{3}\beta J} & e^{\frac{2}{3}\beta J}\\ e^{\frac{2}{3}\beta J} & e^{-\frac{4}{3}\beta J}\end{pmatrix}

      23

      J. COLBOIS | INTRO TO TNS. FOR CLASSICAL SPIN SYSTEMS | GRENOBLE | 06.11.2023

      Points of view

      Contracting the TN of a frustrated model

      Numerical problem

      Ground-state rule

      Cancellation of small and large factors

      C. Wang, S.-M. Qin, H.-J. Zhou, PRB 90, (2014)

      Z. Zhu, H. G. Katzgraber, arXiv:1903.07721 (2019)

       

      \(\rightarrow\) precision?

       

      J. G. Liu, L. Wang, P. Zhan, PRL 126, (2021)

      \(\rightarrow\) log?

      (For TN experts)

      MPO

      The MPO is badly conditioned (e.g. not hermitian, ...). Fix it?

      \tilde{t} = e^{\beta \frac{E_{\text{G.S.}}}{N_{\text{bonds}}}} t = \begin{pmatrix} e^{-\frac{4}{3}\beta J} & e^{\frac{2}{3}\beta J}\\ e^{\frac{2}{3}\beta J} & e^{-\frac{4}{3}\beta J}\end{pmatrix}

      Failure to minimize simultaneously all local Hamiltonians.

      23

      J. COLBOIS | INTRO TO TNS. FOR CLASSICAL SPIN SYSTEMS | GRENOBLE | 06.11.2023

      Points of view

      Contracting the TN of a frustrated model

      Numerical problem

      Ground-state rule

      Cancellation of small and large factors

      C. Wang, S.-M. Qin, H.-J. Zhou, PRB 90, (2014)

      Z. Zhu, H. G. Katzgraber, arXiv:1903.07721 (2019)

       

      \(\rightarrow\) precision?

       

      J. G. Liu, L. Wang, P. Zhan, PRL 126, (2021)

      \(\rightarrow\) log?

      (For TN experts)

      MPO

      The MPO is badly conditioned (e.g. not hermitian, ...). Fix it?

      \tilde{t} = e^{\beta \frac{E_{\text{G.S.}}}{N_{\text{bonds}}}} t = \begin{pmatrix} e^{-\frac{4}{3}\beta J} & e^{\frac{2}{3}\beta J}\\ e^{\frac{2}{3}\beta J} & e^{-\frac{4}{3}\beta J}\end{pmatrix}

      Failure to minimize simultaneously all local Hamiltonians.

      B. Vanhecke, JC, et al. PRR 3, (2021)

      F.F. Song, T.-Y. Lin, G. M. Zhang, arXiv:2309.05321

      23

      J. COLBOIS | INTRO TO TNS. FOR CLASSICAL SPIN SYSTEMS | GRENOBLE | 06.11.2023

      Bram Vanhecke

      University of Vienna | Austria

      Relaxing THE frustration

      H = \sum_{c} H_c^{\alpha}(\vec{\sigma}|_c)

      1. Split

       

       

       

       

       B. Vanhecke, JC, L. Vanderstraeten, F. Verstraete, F. Mila, PRR 3, (2021)

      C. K. Majumdar and D. K. Ghosh, J. Math. Phys. 10, (1969)

      M. Kaburagi, J. Kanamori, Prog. Theor. Phys. 54 , (1975)

      B. Sriram Shastry and B. Sutherland, Physica 108 B+C, (1981)

      W. Huang, D. A. Kitchaev, et. al. , Phys. Rev. B 94, (2016)

      P. W. Anderson, PR 83, (1951).

      Essential idea : Anderson bounds

      24

      J. COLBOIS | INTRO TO TNS. FOR CLASSICAL SPIN SYSTEMS | GRENOBLE | 06.11.2023

      Relaxing THE frustration

      H = \sum_{c} H_c^{\alpha}(\vec{\sigma}|_c)

      1. Split

       

       

       

      2. Lower bound on GS energy

       

       

       

       

       

      \min_{\vec{\sigma}|_c} H_c^{\alpha}(\vec{\sigma}|_c)

       B. Vanhecke, JC, L. Vanderstraeten, F. Verstraete, F. Mila, PRR 3, (2021)

      \rightarrow

      P. W. Anderson, PR 83, (1951).

      Essential idea : Anderson bounds

      24

      J. COLBOIS | INTRO TO TNS. FOR CLASSICAL SPIN SYSTEMS | GRENOBLE | 06.11.2023

      C. K. Majumdar and D. K. Ghosh, J. Math. Phys. 10, (1969)

      M. Kaburagi, J. Kanamori, Prog. Theor. Phys. 54 , (1975)

      B. Sriram Shastry and B. Sutherland, Physica 108 B+C, (1981)

      W. Huang, D. A. Kitchaev, et. al. , Phys. Rev. B 94, (2016)

      Relaxing THE frustration

      H = \sum_{c} H_c^{\alpha}(\vec{\sigma}|_c)

      1. Split

       

       

       

      2. Lower bound on GS energy

       

       

       

      3. Maximize with respect to the weights:

       

      \min_{\vec{\sigma}|_c} H_c^{\alpha}(\vec{\sigma}|_c)
      \max_{\alpha}\,\,\min_{\vec{\sigma}|_c} H_c^{\alpha}(\vec{\sigma}|_c)

       B. Vanhecke, JC, L. Vanderstraeten, F. Verstraete, F. Mila, PRR 3, (2021)

      \rightarrow

      P. W. Anderson, PR 83, (1951).

      Essential idea : Anderson bounds

      24

      J. COLBOIS | INTRO TO TNS. FOR CLASSICAL SPIN SYSTEMS | GRENOBLE | 06.11.2023

      C. K. Majumdar and D. K. Ghosh, J. Math. Phys. 10, (1969)

      M. Kaburagi, J. Kanamori, Prog. Theor. Phys. 54 , (1975)

      B. Sriram Shastry and B. Sutherland, Physica 108 B+C, (1981)

      W. Huang, D. A. Kitchaev, et. al. , Phys. Rev. B 94, (2016)

      Relaxing THE frustration

      H = \sum_{c} H_c^{\alpha}(\vec{\sigma}|_c)

      1. Split

       

       

       

      2. Lower bound on GS energy

       

       

       

      3. Maximize with respect to the weights:

       

      \min_{\vec{\sigma}|_c} H_c^{\alpha}(\vec{\sigma}|_c)
      \max_{\alpha}\,\,\min_{\vec{\sigma}|_c} H_c^{\alpha}(\vec{\sigma}|_c)

       B. Vanhecke, JC, L. Vanderstraeten, F. Verstraete, F. Mila, PRR 3, (2021)

      \rightarrow
      \rightarrow

      P. W. Anderson, PR 83, (1951).

      Essential idea : Anderson bounds

      24

      J. COLBOIS | INTRO TO TNS. FOR CLASSICAL SPIN SYSTEMS | GRENOBLE | 06.11.2023

      Ground states

      tiling of configurations that minimize the local Hamiltonian

      C. K. Majumdar and D. K. Ghosh, J. Math. Phys. 10, (1969)

      M. Kaburagi, J. Kanamori, Prog. Theor. Phys. 54 , (1975)

      B. Sriram Shastry and B. Sutherland, Physica 108 B+C, (1981)

      W. Huang, D. A. Kitchaev, et. al. , Phys. Rev. B 94, (2016)

      Relaxing THE frustration

      H = \sum_{c} H_c^{\alpha}(\vec{\sigma}|_c)

      1. Split

       

       

       

      2. Lower bound on GS energy

       

       

       

      3. Maximize with respect to the weights:

       

      \min_{\vec{\sigma}|_c} H_c^{\alpha}(\vec{\sigma}|_c)
      \max_{\alpha}\,\,\min_{\vec{\sigma}|_c} H_c^{\alpha}(\vec{\sigma}|_c)

       B. Vanhecke, JC, L. Vanderstraeten, F. Verstraete, F. Mila, PRR 3, (2021)

      \rightarrow
      \rightarrow

      P. W. Anderson, PR 83, (1951).

      Essential idea : Anderson bounds

      24

      J. COLBOIS | INTRO TO TNS. FOR CLASSICAL SPIN SYSTEMS | GRENOBLE | 06.11.2023

      Ground states

      tiling of configurations that minimize the local Hamiltonian

      LINEAR PROGRAM

      C. K. Majumdar and D. K. Ghosh, J. Math. Phys. 10, (1969)

      M. Kaburagi, J. Kanamori, Prog. Theor. Phys. 54 , (1975)

      B. Sriram Shastry and B. Sutherland, Physica 108 B+C, (1981)

      W. Huang, D. A. Kitchaev, et. al. , Phys. Rev. B 94, (2016)

      24

      J. COLBOIS | INTRO TO TNS. FOR CLASSICAL SPIN SYSTEMS | GRENOBLE | 06.11.2023

       B. Vanhecke, JC, L. Vanderstraeten, F. Verstraete, F. Mila, PRR 3, (2021)

      Contraction

      24

      J. COLBOIS | INTRO TO TNS. FOR CLASSICAL SPIN SYSTEMS | GRENOBLE | 06.11.2023

       B. Vanhecke, JC, L. Vanderstraeten, F. Verstraete, F. Mila, PRR 3, (2021)

      Contraction

      24

      J. COLBOIS | INTRO TO TNS. FOR CLASSICAL SPIN SYSTEMS | GRENOBLE | 06.11.2023

       B. Vanhecke, JC, L. Vanderstraeten, F. Verstraete, F. Mila, PRR 3, (2021)

      Contraction

      25

      J. COLBOIS | INTRO TO TNS. FOR CLASSICAL SPIN SYSTEMS | GRENOBLE | 06.11.2023

       B. Vanhecke, JC, L. Vanderstraeten, F. Verstraete, F. Mila, PRR 3, (2021)

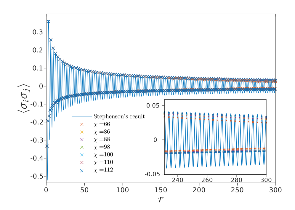
      Triangular lattice ising antiferromagnet

      H = J \sum_{\langle i, j \rangle} \sigma_i \sigma_j \quad J > 0 \quad \sigma_i = \pm 1

      Nyckees, Rufino, Mila & JC, arXiv:2306.0904 (2023)

      Jacobsen, Fogedby, Physica A 246,  1997

      G.S. critical

      S = 0.3230659...\\ \langle \sigma_i \sigma_j \rangle \sim \frac{1}{\sqrt{r}}

      Stephenson, J. Math. Phys. 11, 1970

      25

      J. COLBOIS | INTRO TO TNS. FOR CLASSICAL SPIN SYSTEMS | GRENOBLE | 06.11.2023

       B. Vanhecke, JC, L. Vanderstraeten, F. Verstraete, F. Mila, PRR 3, (2021)

      Triangular lattice ising antiferromagnet

      H = J \sum_{\langle i, j \rangle} \sigma_i \sigma_j \quad J > 0 \quad \sigma_i = \pm 1

      Nyckees, Rufino, Mila & JC, arXiv:2306.0904 (2023)

      Jacobsen, Fogedby, Physica A 246,  1997

      G.S. critical

      S = 0.3230659...\\ \langle \sigma_i \sigma_j \rangle \sim \frac{1}{\sqrt{r}}

      Stephenson, J. Math. Phys. 11, 1970

      25

      J. COLBOIS | INTRO TO TNS. FOR CLASSICAL SPIN SYSTEMS | GRENOBLE | 06.11.2023

       B. Vanhecke, JC, L. Vanderstraeten, F. Verstraete, F. Mila, PRR 3, (2021)

      Triangular lattice ising antiferromagnet

      H = J \sum_{\langle i, j \rangle} \sigma_i \sigma_j \quad J > 0 \quad \sigma_i = \pm 1

      Nyckees, Rufino, Mila & JC, arXiv:2306.0904 (2023)

      Jacobsen, Fogedby, Physica A 246,  1997

      G.S. critical

      S = 0.3230659...\\ \langle \sigma_i \sigma_j \rangle \sim \frac{1}{\sqrt{r}}

      Stephenson, J. Math. Phys. 11, 1970

      25

      J. COLBOIS | INTRO TO TNS. FOR CLASSICAL SPIN SYSTEMS | GRENOBLE | 06.11.2023

       B. Vanhecke, JC, L. Vanderstraeten, F. Verstraete, F. Mila, PRR 3, (2021)

      Triangular lattice ising antiferromagnet

      No transition at finite temperature

      \langle \sigma_i \sigma_j \rangle \sim \frac{e^{-r/\xi}}{\sqrt{r}}\\ \xi = -\frac{1}{\ln\tanh(1/T)}

      Jacobsen, Fogedby, Physica A 246,  1997

      Wannier, PR 79 , 1950

      Houtappel, Physica 16, 1950

      G.S. critical

      S = 0.3230659...\\ \langle \sigma_i \sigma_j \rangle \sim \frac{1}{\sqrt{r}}

      Stephenson, J. Math. Phys. 11, 1970

      Nyckees, Rufino, Mila & JC, arXiv:2306.0904 (2023)

      Samuel Nyckees

      EPFL | Switzerland

      H = J \sum_{\langle i, j \rangle} \sigma_i \sigma_j \quad J > 0 \quad \sigma_i = \pm 1

      25

      J. COLBOIS | INTRO TO TNS. FOR CLASSICAL SPIN SYSTEMS | GRENOBLE | 06.11.2023

       B. Vanhecke, JC, L. Vanderstraeten, F. Verstraete, F. Mila, PRR 3, (2021)

      Triangular lattice ising antiferromagnet

      No transition at finite temperature

      \langle \sigma_i \sigma_j \rangle \sim \frac{e^{-r/\xi}}{\sqrt{r}}\\ \xi = -\frac{1}{\ln\tanh(1/T)}

      Jacobsen, Fogedby, Physica A 246,  1997

      Wannier, PR 79 , 1950

      Houtappel, Physica 16, 1950

      G.S. critical

      S = 0.3230659...\\ \langle \sigma_i \sigma_j \rangle \sim \frac{1}{\sqrt{r}}

      Stephenson, J. Math. Phys. 11, 1970

      Nyckees, Rufino, Mila & JC, arXiv:2306.0904 (2023)

      Samuel Nyckees

      EPFL | Switzerland

      H = J \sum_{\langle i, j \rangle} \sigma_i \sigma_j \quad J > 0 \quad \sigma_i = \pm 1

      26

      J. COLBOIS | INTRO TO TNS. FOR CLASSICAL SPIN SYSTEMS | GRENOBLE | 06.11.2023

       B. Vanhecke, JC, L. Vanderstraeten, F. Verstraete, F. Mila, PRR 3, (2021)

      Triangular lattice ising antiferromagnet In a field

      Nyckees, Rufino, Mila & JC, arXiv:2306.0904 (2023)

      Racz PRB 21, 1980;

      Qian, Wegewijs, Blöte PRE 69, 2004;

      Baxter, Exactly solved models

      Alexander P.L.A 54 (1975)

      Kinzel & Schick PRB 23 (1981)

      Noh & Kim, Int. J. Phys. B 06 ( 1992)

      \nu = 5/6, \eta = 4/15, c = 4/5, \beta = 1/9
      H = J \sum_{\langle i, j \rangle} \sigma_i \sigma_j - h \sum_i \sigma_i \quad J, h > 0 \quad \sigma_i = \pm 1

      26

      J. COLBOIS | INTRO TO TNS. FOR CLASSICAL SPIN SYSTEMS | GRENOBLE | 06.11.2023

       B. Vanhecke, JC, L. Vanderstraeten, F. Verstraete, F. Mila, PRR 3, (2021)

      Triangular lattice ising antiferromagnet In a field

      Nyckees, Rufino, Mila & JC, arXiv:2306.0904 (2023)

      Racz PRB 21, 1980;

      Qian, Wegewijs, Blöte PRE 69, 2004;

      Baxter, Exactly solved models

      Alexander P.L.A 54 (1975)

      Kinzel & Schick PRB 23 (1981)

      Noh & Kim, Int. J. Phys. B 06 ( 1992)

      \nu = 5/6, \eta = 4/15, c = 4/5, \beta = 1/9
      H = J \sum_{\langle i, j \rangle} \sigma_i \sigma_j - h \sum_i \sigma_i \quad J, h > 0 \quad \sigma_i = \pm 1

      J. COLBOIS | INTRO TO TNS. FOR CLASSICAL SPIN SYSTEMS | GRENOBLE | 06.11.2023

       B. Vanhecke, JC, L. Vanderstraeten, F. Verstraete, F. Mila, PRR 3, (2021)

      Triangular lattice ising antiferromagnet In a field

      Nyckees, Rufino, Mila & JC, arXiv:2306.0904 (2023)

      Racz PRB 21, 1980;

      Qian, Wegewijs, Blöte PRE 69, 2004;

      Baxter, Exactly solved models

      Alexander P.L.A 54 (1975)

      Kinzel & Schick PRB 23 (1981)

      Noh & Kim, Int. J. Phys. B 06 ( 1992)

      \nu = 5/6, \eta = 4/15, c = 4/5, \beta = 1/9

      26

      \(h = 3\)

      H = J \sum_{\langle i, j \rangle} \sigma_i \sigma_j - h \sum_i \sigma_i \quad J, h > 0 \quad \sigma_i = \pm 1

      J. COLBOIS | INTRO TO TNS. FOR CLASSICAL SPIN SYSTEMS | GRENOBLE | 06.11.2023

       B. Vanhecke, JC, L. Vanderstraeten, F. Verstraete, F. Mila, PRR 3, (2021)

      Triangular lattice ising antiferromagnet In a field

      Nyckees, Rufino, Mila & JC, arXiv:2306.0904 (2023)

      Racz PRB 21, 1980;

      Qian, Wegewijs, Blöte PRE 69, 2004;

      Baxter, Exactly solved models

      Alexander P.L.A 54 (1975)

      Kinzel & Schick PRB 23 (1981)

      Noh & Kim, Int. J. Phys. B 06 ( 1992)

      \nu = 5/6, \eta = 4/15, c = 4/5, \beta = 1/9

      26

      H = J \sum_{\langle i, j \rangle} \sigma_i \sigma_j - h \sum_i \sigma_i \quad J, h > 0 \quad \sigma_i = \pm 1

      J. COLBOIS | INTRO TO TNS. FOR CLASSICAL SPIN SYSTEMS | GRENOBLE | 06.11.2023

       B. Vanhecke, JC, L. Vanderstraeten, F. Verstraete, F. Mila, PRR 3, (2021)

      Triangular lattice ising antiferromagnet In a field

      Nyckees, Rufino, Mila & JC, arXiv:2306.0904 (2023)

      Racz PRB 21, 1980;

      Qian, Wegewijs, Blöte PRE 69, 2004;

      Baxter, Exactly solved models

      Alexander P.L.A 54 (1975)

      Kinzel & Schick PRB 23 (1981)

      Noh & Kim, Int. J. Phys. B 06 ( 1992)

      \nu = 5/6, \eta = 4/15, c = 4/5, \beta = 1/9

      26

      \(h = 3\)

      H = J \sum_{\langle i, j \rangle} \sigma_i \sigma_j - h \sum_i \sigma_i \quad J, h > 0 \quad \sigma_i = \pm 1

      What have we learned so far?

      27

      J. COLBOIS | INTRO TO TNS. FOR CLASSICAL SPIN SYSTEMS | GRENOBLE | 06.11.2023

      What have we learned so far?

      Tensor network approaches can be understood from the point of view of transfer matrices

      R. J. Baxter, J. Math. Phys. 9, 1968

      Orús, Vidal, PRB 78, 2008;

      V. Zauner-Stauber et. al. PRB 97,2018;

      M. Fishman et. al PRB 98, 2018 

      J. COLBOIS | INTRO TO TNS. FOR CLASSICAL SPIN SYSTEMS | GRENOBLE | 06.11.2023

      27

      What have we learned so far?

      The convergence of the tensor network contraction depends on the formulation of the partition function

      Tensor network approaches can be understood from the point of view of transfer matrices

      R. J. Baxter, J. Math. Phys. 9, 1968

      Orús, Vidal, PRB 78, 2008;

      V. Zauner-Stauber et. al. PRB 97,2018;

      M. Fishman et. al PRB 98, 2018 

      J. COLBOIS | INTRO TO TNS. FOR CLASSICAL SPIN SYSTEMS | GRENOBLE | 06.11.2023

      27

      C. Wang, S.-M. Qin, H.-J. Zhou, PRB 90, (2014)

      Z. Zhu, H. G. Katzgraber, arXiv:1903.07721 (2019)

       

      B. Vanhecke, JC, et al. PRR 3, (2021)

       

      J. G. Liu, L. Wang, P. Zhan, PRL 126, (2021)

      M. Friaz-Pérez, M, Mariën et al, SciPost 14(2023)

      What have we learned so far?

       B. Vanhecke, JC, L. Vanderstraeten, F. Verstraete,

      F. Mila, PRR 3, (2021)

      JC, K. Hofhuis, et al, PRB 104 (2021)

      JC, B. Vanhecke, et al.  PRB 106 (2022)

       

      F.F. Song, G. M. Zhang, PRB 105, (2022)

      The convergence of the tensor network contraction depends on the formulation of the partition function

      Tensor network approaches can be understood from the point of view of transfer matrices

      R. J. Baxter, J. Math. Phys. 9, 1968

      Orús, Vidal, PRB 78, 2008;

      V. Zauner-Stauber et. al. PRB 97,2018;

      M. Fishman et. al PRB 98, 2018 

      C. Wang, S.-M. Qin, H.-J. Zhou, PRB 90, (2014)

      Z. Zhu, H. G. Katzgraber, arXiv:1903.07721 (2019)

       

      B. Vanhecke, JC, et al. PRR 3, (2021)

       

      J. G. Liu, L. Wang, P. Zhan, PRL 126, (2021)

      M. Friaz-Pérez, M, Mariën et al, SciPost 14(2023)

      If the ground-state rule is implemented at the level of the tensor, the algorithms converge

      J. COLBOIS | INTRO TO TNS. FOR CLASSICAL SPIN SYSTEMS | GRENOBLE | 06.11.2023

      27

      Farther-neighbors on kagome

      28

      H = J \sum_{\langle i, j \rangle } \sigma_i \sigma_j + D \sum_{(i,j)} \frac{\sigma_i \sigma_j}{r_{ij}^3}

      Chioar et al., PRB 90, (2014)

       

      I. A. Chioar, N. Rougemaille, B. Canals, PRB 93, (2016)

      J. Hamp, C. Castelnovo, R. Moessner, PRB 98, (2018)

      JC, B. Vanhecke et. al., PRB 106 (2022)

      J. COLBOIS | INTRO TO TNS. FOR CLASSICAL SPIN SYSTEMS | GRENOBLE | 06.11.2023

      Artificial Out-of-plane kagome

      28

      H = J \sum_{\langle i, j \rangle } \sigma_i \sigma_j + D \sum_{(i,j)} \frac{\sigma_i \sigma_j}{r_{ij}^3}

      Chioar et al., PRB 90, (2014)

       

      I. A. Chioar, N. Rougemaille, B. Canals, PRB 93, (2016)

      J. Hamp, C. Castelnovo, R. Moessner, PRB 98, (2018)

      JC, B. Vanhecke et. al., PRB 106 (2022)

      J. COLBOIS | INTRO TO TNS. FOR CLASSICAL SPIN SYSTEMS | GRENOBLE | 06.11.2023

      Artificial Out-of-plane kagome

      image/svg+xml
      image/svg+xml
      H =
      J_2 \sum_{\langle i,j \rangle_{2}} \sigma_i \sigma_j
      J_{3} \sum_{\langle i,j \rangle_{3||}} \sigma_i \sigma_j
      J_{3} \sum_{\langle i,j \rangle_{3\star}} \sigma_i \sigma_j
      +
      +
      +
      J_1 \sum_{\langle i,j \rangle_1} \sigma_i \sigma_j
      H =
      J_2 \sum_{\langle i,j \rangle_{2}} \sigma_i \sigma_j
      J_{3} \sum_{\langle i,j \rangle_{3||}} \sigma_i \sigma_j
      J_{3} \sum_{\langle i,j \rangle_{3\star}} \sigma_i \sigma_j
      +
      +
      +
      J_1 \sum_{\langle i,j \rangle_1} \sigma_i \sigma_j

      Tensor network construction

      29

      H =
      J_2 \sum_{\langle i,j \rangle_{2}} \sigma_i \sigma_j
      J_{3} \sum_{\langle i,j \rangle_{3||}} \sigma_i \sigma_j
      J_{3} \sum_{\langle i,j \rangle_{3\star}} \sigma_i \sigma_j
      +
      +
      +
      J_1 \sum_{\langle i,j \rangle_1} \sigma_i \sigma_j
      H =
      J_2 \sum_{\langle i,j \rangle_{2}} \sigma_i \sigma_j
      J_{3} \sum_{\langle i,j \rangle_{3||}} \sigma_i \sigma_j
      J_{3} \sum_{\langle i,j \rangle_{3\star}} \sigma_i \sigma_j
      +
      +
      +
      J_1 \sum_{\langle i,j \rangle_1} \sigma_i \sigma_j

       

       

      JC, B. Vanhecke et. al., PRB 106 (2022)

      image/svg+xml
      image/svg+xml

      J. COLBOIS | INTRO TO TNS. FOR CLASSICAL SPIN SYSTEMS | GRENOBLE | 06.11.2023

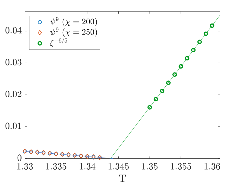
      Ground state Phase diagram

      30

      S = 0.026922 \pm 3 \cdot 10^{-6} = \frac{S_\triangle}{12}
      S = 0.107689 \pm 2 \cdot 10^{-6} \cong \frac{S_\triangle}{3}
      S = 0.01920 \pm 3 \cdot 10^{-5}
      image/svg+xml
      image/svg+xml
      H =
      J_2 \sum_{\langle i,j \rangle_{2}} \sigma_i \sigma_j
      J_{3} \sum_{\langle i,j \rangle_{3||}} \sigma_i \sigma_j
      J_{3} \sum_{\langle i,j \rangle_{3\star}} \sigma_i \sigma_j
      +
      +
      +
      J_1 \sum_{\langle i,j \rangle_1} \sigma_i \sigma_j
      H =
      J_2 \sum_{\langle i,j \rangle_{2}} \sigma_i \sigma_j
      J_{3} \sum_{\langle i,j \rangle_{3||}} \sigma_i \sigma_j
      J_{3} \sum_{\langle i,j \rangle_{3\star}} \sigma_i \sigma_j
      +
      +
      +
      J_1 \sum_{\langle i,j \rangle_1} \sigma_i \sigma_j

       

       

      JC, B. Vanhecke et. al., PRB 106 (2022)

      J. COLBOIS | INTRO TO TNS. FOR CLASSICAL SPIN SYSTEMS | GRENOBLE | 06.11.2023

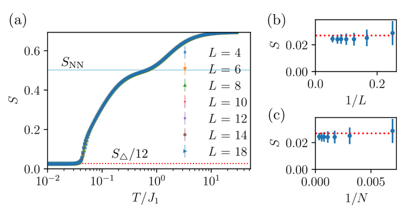
      Emergent degrees-of-freedom

      31

      S = 0.026922 \pm 3 \cdot 10^{-6} = \frac{S_\triangle}{12}

       

       

      JC, B. Vanhecke et. al., PRB 106 (2022)

      J. COLBOIS | INTRO TO TNS. FOR CLASSICAL SPIN SYSTEMS | GRENOBLE | 06.11.2023

      Emergent degrees-of-freedom

      S = 0.026922 \pm 3 \cdot 10^{-6} = \frac{S_\triangle}{12}

       

       

      JC, B. Vanhecke et. al., PRB 106 (2022)

       

       

      MC algorithm : G. Rakala, K. Damle, PRE 96 (2017) 

      J. COLBOIS | INTRO TO TNS. FOR CLASSICAL SPIN SYSTEMS | GRENOBLE | 06.11.2023

      31

      Emergent degrees-of-freedom

      S = 0.026922 \pm 3 \cdot 10^{-6} = \frac{S_\triangle}{12}

       

       

      JC, B. Vanhecke et. al., PRB 106 (2022)

      J. COLBOIS | INTRO TO TNS. FOR CLASSICAL SPIN SYSTEMS | GRENOBLE | 06.11.2023

      31

      Emergent degrees-of-freedom

      S = 0.026922 \pm 3 \cdot 10^{-6} = \frac{S_\triangle}{12}

       

       

      JC, B. Vanhecke et. al., PRB 106 (2022)

      J. COLBOIS | INTRO TO TNS. FOR CLASSICAL SPIN SYSTEMS | GRENOBLE | 06.11.2023

      32

      Emergent degrees-of-freedom

      S = 0.107689 \pm 2 \cdot 10^{-6} \cong \frac{S_\triangle}{3}

       

       

      JC, B. Vanhecke et. al., PRB 106 (2022)

      J. COLBOIS | INTRO TO TNS. FOR CLASSICAL SPIN SYSTEMS | GRENOBLE | 06.11.2023

      \(\mathbb{Z}_2 \times \mathbb{Z}_3\) symmetry breaking

      Relation to the TIAFM

      33

      J. COLBOIS | INTRO TO TNS. FOR CLASSICAL SPIN SYSTEMS | GRENOBLE | 06.11.2023

      Outlook

      36

      J. COLBOIS | INTRO TO TNS. FOR CLASSICAL SPIN SYSTEMS | GRENOBLE | 06.11.2023

      Outlook

      TNs

      Is there always a cell relaxing the frustration? (Hard vs weak frustration)

      Consequences for tensor networks for 2D quantum systems?

       

      36

      J. COLBOIS | INTRO TO TNS. FOR CLASSICAL SPIN SYSTEMS | GRENOBLE | 06.11.2023

      Outlook

      TNs

      Beyond

      classical, short-range

      Ising

      Effect of quantum fluctuations?

      NN Frustrated XY models. Farther-neighbors? Heisenberg?

      Other classical constrained models?

      Long-range interactions? (TNMH)

      Spin glasses ? (Tropical TNs)

      36

      Is there always a cell relaxing the frustration? (Hard vs weak frustration)

      Consequences for tensor networks for 2D quantum systems?

       

      J. COLBOIS | INTRO TO TNS. FOR CLASSICAL SPIN SYSTEMS | GRENOBLE | 06.11.2023

      Take home message

      37

      Why use them for classical systems?

       

      What are tensor networks (TNs)?

       

      Transfer matrix!

      • Complement to Monte Carlo
      • Different scaling

      What do we learn?

       

      • Macroscopic ground-state degeneracy beyond fine-tuning in kagome

      J. COLBOIS | INTRO TO TNS. FOR CLASSICAL SPIN SYSTEMS | GRENOBLE | 06.11.2023

      Take home message

      37

      Why use them for classical systems?

       

      What are tensor networks (TNs)?

       

      Transfer matrix!

      • Complement to Monte Carlo
      • Different scaling

      What do we learn?

       

      • Macroscopic ground-state degeneracy beyond fine-tuning in kagome

      Thank you for your attention!

      SLIDES

      and

      PAPERS

      Thank you for the question!

      Area-Law of entanglement

      J. COLBOIS | INTRO TO TNS. FOR CLASSICAL SPIN SYSTEMS | GRENOBLE | 06.11.2023

      \(2^L\)

      Many-body Hilbert space

      M. Fannes, B. Nachtergaele, R.F. Werner, Commun. Math. Phys. 144 (1992)

      M B Hastings J. Stat. Mech. (2007) P08024

      Ground states of gapped, local Hamiltonians

      SAMPLING

      Ueda, et al. JSPS 74, 111-124 (2005)

      A. Rufino, S. Nyckees, J. Colbois and F. Mila, in preparation

      J. COLBOIS | INTRO TO TNS. FOR CLASSICAL SPIN SYSTEMS | GRENOBLE | 06.11.2023

      SAMPLING

      Ueda, et al. JSPS 74, 111-124 (2005)

      A. Rufino, S. Nyckees, J. Colbois and F. Mila, in preparation

      J. COLBOIS | INTRO TO TNS. FOR CLASSICAL SPIN SYSTEMS | GRENOBLE | 06.11.2023

      SAMPLING

      Ueda, et al. JSPS 74, 111-124 (2005)

      A. Rufino, S. Nyckees, J. Colbois and F. Mila, in preparation

      SAMPLING

      \(\rightarrow\) patches of the infinite lattice

      Ueda, et al. JSPS 74, 111-124 (2005)

      A. Rufino, S. Nyckees, J. Colbois and F. Mila, in preparation

      J. COLBOIS | INTRO TO TNS. FOR CLASSICAL SPIN SYSTEMS | GRENOBLE | 06.11.2023

      IPEPS

      J. COLBOIS | INTRO TO TNS. FOR CLASSICAL SPIN SYSTEMS | GRENOBLE | 06.11.2023

      Jiménez, J.L., Crone, S.P.G., Fogh, E. et al. Nature 592, 370–375 (2021)

      SrCu2(BO3)2  under pressure

      finite-temperature iPEPS simulations

      Dimer

      Plaquette

      Introduction to tensor networks for frustrated spin systems

      By Jeanne Colbois

      Introduction to tensor networks for frustrated spin systems

      Seminar at Institut Néel

      • 355