Jeanne Colbois | CNRS - LPT Toulouse | France

IQTN workshop | Tensor networks for constrained systems | Delft, 18.10.2023

tensor networks and LIMITS

oF classical frustrated Ising models

1

J. COLBOIS | TENSOR NETWORKS FOR CONSTRAINED SYSTEMS | DELFT | 18.10.2023

Trailer...

Classical frustrated systems

The constraints appearing in the low-temperature limit need to be correctly described at the level of a single tensor for the contraction to converge

2

Short-range, classical spin Hamiltonian on a lattice...

  • How to write the partition function as a TN?
  • Consequences?
  • Interesting physics?

TIAFM in a field

image/svg+xml
image/svg+xml

Kagome lattice

J. COLBOIS | TENSOR NETWORKS FOR CONSTRAINED SYSTEMS | DELFT | 18.10.2023

Scope

Scope

3

1. Motivation : classical frustrated Ising models

2. The frustration problem

3. A simple case: the triangular lattice Ising antiferromagnet

4. Farther-neighbor models on the kagome lattice

J. COLBOIS | TENSOR NETWORKS FOR CONSTRAINED SYSTEMS | DELFT | 18.10.2023

Acknowledgments

4

Andrew Smerald

KIT | Germany

Frédéric Mila

EPFL | Switzerland

Frank Verstraete

Ghent University | Belgium

Laurens Vanderstraeten

Ghent University | Belgium

Samuel Nyckees

EPFL | Switzerland

Afonso Rufino

EPFL | Switzerland

Bram Vanhecke

University of Vienna | Austria

J. COLBOIS | TENSOR NETWORKS FOR CONSTRAINED SYSTEMS | DELFT | 18.10.2023

Acknowledgments

Andrew Smerald

KIT | Germany

Frédéric Mila

EPFL | Switzerland

Frank Verstraete

Ghent University | Belgium

Laurens Vanderstraeten

Ghent University | Belgium

Samuel Nyckees

EPFL | Switzerland

Afonso Rufino

EPFL | Switzerland

Bram Vanhecke

University of Vienna | Austria

J. COLBOIS | TENSOR NETWORKS FOR CONSTRAINED SYSTEMS | DELFT | 18.10.2023

4

Acknowledgments

Andrew Smerald

KIT | Germany

Frédéric Mila

EPFL | Switzerland

Frank Verstraete

Ghent University | Belgium

Laurens Vanderstraeten

Ghent University | Belgium

Samuel Nyckees

EPFL | Switzerland

Afonso Rufino

EPFL | Switzerland

Bram Vanhecke

University of Vienna | Austria

J. COLBOIS | TENSOR NETWORKS FOR CONSTRAINED SYSTEMS | DELFT | 18.10.2023

4

Acknowledgments

Andrew Smerald

KIT | Germany

Frédéric Mila

EPFL | Switzerland

Frank Verstraete

Ghent University | Belgium

Laurens Vanderstraeten

Ghent University | Belgium

Samuel Nyckees

EPFL | Switzerland

Afonso Rufino

EPFL | Switzerland

Bram Vanhecke

University of Vienna | Austria

J. COLBOIS | TENSOR NETWORKS FOR CONSTRAINED SYSTEMS | DELFT | 18.10.2023

4

Motivation : frustration...

Frustrated Ising models

5

H = J\sum_{\langle i,j \rangle} \sigma_i \sigma_j \qquad \sigma_i = \pm 1
S = 0.3230659...
S = 0.501833...

G.H. Wannier, PR 79, (1950, 1973)

K. Kano and S. Naya, Prog. Theor. Phys. 10, (1953)

W_{G.S.} = \# \text{ configurations } \gtrsim 2^{N/3}
d_{i,j} = \sigma_i \sigma_j
S := \lim_{N \rightarrow \infty} \frac{\ln(W_{\text{G.S.}})}{N}

2-up 1-down (UUD),

2-down 1-up (DDU)

\xi = 1.2506...

A. Sütö, Z. Phys. B 44, (1981)

W. Apel, H.-U. Everts, J. Stat. Mech, (2011)

J. COLBOIS | TENSOR NETWORKS FOR CONSTRAINED SYSTEMS | DELFT | 18.10.2023

Simple models of complex behavior

6

In-plane artificial kagome /square ice

L. Anghinolfi et al.,

Nat. Commun. 6, (2015)

Monopoles in spin ice

C. Castlenovo, R. Moessner, S. L. Sondhi, Nature 451 (2008)

J. COLBOIS | TENSOR NETWORKS FOR CONSTRAINED SYSTEMS | DELFT | 18.10.2023

T. Mizoguichi, L. Jaubert, M. Udagawa, PRL 119, 077207 (2017)

D. Kiese, F. Ferrari, N. Astrakhantsev, N. Niggemann, P. Ghosh et al. , PRR 5, L012025 (2023)

Hexamer spin liquid

7

 

I. A. Chioar, N. Rougemaille, B. Canals, PRB 93, (2016)

J. Hamp, C. Castelnovo, R. Moessner, PRB 98, (2018)

L. Cugliandolo, L. Foini, M. Tarzia, PRB 101 (2020)

Chioar et al., PRB 90, (2014)

H = J \sum_{\langle i, j \rangle } \sigma_i \sigma_j + D \sum_{(i,j)} \frac{\sigma_i \sigma_j}{r_{ij}^3}

 

Luo et al. Science 363, (2019)

Colbois et al., PRB 104 (2021)

J. COLBOIS | TENSOR NETWORKS FOR CONSTRAINED SYSTEMS | DELFT | 18.10.2023

Artificial spin systems

TN for classical Frustrated models

TNs for 2D classical Frustrated systems - Why?

8

J. COLBOIS | TENSOR NETWORKS FOR CONSTRAINED SYSTEMS | DELFT | 18.10.2023

\lim_{\beta \rightarrow \infty} {\color{orange}\tilde{\mathcal{Z}}_N} = {\color{orange}W_N}
S = \lim_{N \rightarrow \infty} \frac{1}{N} \ln\left(W_N\right)
\cong {\color{orange}\Lambda_0}^N
\mathcal{Z}_N = \sum_{\{\sigma\}} e^{-\beta \mathcal{H}(\{\sigma\})} = e^{-\beta E_{\rm{GS}}} {\color{orange}\sum_{\{\sigma\}} e^{-\beta \left(\mathcal{H}(\{\sigma\})- E_{\rm{GS}}\right)}}\\ = e^{-\beta E_{\rm{GS}}} {\color{orange}\tilde{\mathcal{Z}}_N}

Monte Carlo?

no sign problem (classical)

ergodicity

Entanglement scaling vs finite-size scaling

 

TNs give direct access to the partition function per site

2D partition function

R. J. Baxter, J. Math. Phys. 9, 1968

R. Orús, G. Vidal, PRB 78, 2008

T. Nishino, K. Okunishi, J. Phys. Soc. Jpn 65, 1996

T = \begin{pmatrix} e^{\beta J} &e^{-\beta J}\\ e^{-\beta J} &e^{\beta J}\\ \end{pmatrix}
\delta_{\sigma_{i,1}, \sigma_{i,2}, \sigma_{i,3}, \sigma_{i,4}} = \begin{cases} 1 & \text{ all equal}\\ 0 & \text{ otherwise} \end{cases}

9

J. COLBOIS | TENSOR NETWORKS FOR CONSTRAINED SYSTEMS | DELFT | 18.10.2023

2D partition function contraction

R. J. Baxter, J. Math. Phys. 9, 1968

Orús, Vidal, PRB 78, 2008;

V. Zauner-Stauber et. al. PRB 97,2018;

M. Fishman et. al PRB 98, 2018

J. COLBOIS | TENSOR NETWORKS FOR CONSTRAINED SYSTEMS | DELFT | 18.10.2023

10

R. J. Baxter, J. Math. Phys. 9, 1968

T. Nishino, K. Okunishi, J. Phys. Soc. Jpn 65, 1996

 P. Corboz, T. M. Rice, and M. Troyer, PRL 113, 2014

Row to row transfer matrix \(\rightarrow\) MPO

2D partition function contraction

R. J. Baxter, J. Math. Phys. 9, 1968

Orús, Vidal, PRB 78, 2008;

V. Zauner-Stauber et. al. PRB 97,2018;

M. Fishman et. al PRB 98, 2018

J. COLBOIS | TENSOR NETWORKS FOR CONSTRAINED SYSTEMS | DELFT | 18.10.2023

10

R. J. Baxter, J. Math. Phys. 9, 1968

T. Nishino, K. Okunishi, J. Phys. Soc. Jpn 65, 1996

 P. Corboz, T. M. Rice, and M. Troyer, PRL 113, 2014

Row to row transfer matrix \(\rightarrow\) MPO

2D partition function contraction

R. J. Baxter, J. Math. Phys. 9, 1968

Orús, Vidal, PRB 78, 2008;

V. Zauner-Stauber et. al. PRB 97,2018;

M. Fishman et. al PRB 98, 2018

J. COLBOIS | TENSOR NETWORKS FOR CONSTRAINED SYSTEMS | DELFT | 18.10.2023

10

R. J. Baxter, J. Math. Phys. 9, 1968

T. Nishino, K. Okunishi, J. Phys. Soc. Jpn 65, 1996

 P. Corboz, T. M. Rice, and M. Troyer, PRL 113, 2014

Row to row transfer matrix \(\rightarrow\) MPO

2D partition function contraction

R. J. Baxter, J. Math. Phys. 9, 1968

Orús, Vidal, PRB 78, 2008;

V. Zauner-Stauber et. al. PRB 97,2018;

M. Fishman et. al PRB 98, 2018

J. COLBOIS | TENSOR NETWORKS FOR CONSTRAINED SYSTEMS | DELFT | 18.10.2023

10

R. J. Baxter, J. Math. Phys. 9, 1968

T. Nishino, K. Okunishi, J. Phys. Soc. Jpn 65, 1996

 P. Corboz, T. M. Rice, and M. Troyer, PRL 113, 2014

Measurements

11

R. J. Baxter, J. Math. Phys. 9, 1968

Orús, Vidal, PRB 78, 2008;

T. Nishino, K. Okunishi, J. Phys. Soc. Jpn 65, 1996

V. Zauner-Stauber et. al. PRB 97,2018;

M. Fishman et. al PRB 98, 2018 

\(\langle m \rangle\) = 

J. COLBOIS | TENSOR NETWORKS FOR CONSTRAINED SYSTEMS | DELFT | 18.10.2023

R. J. Baxter, J. Math. Phys. 9, 1968

Orús, Vidal, PRB 78, 2008;

T. Nishino, K. Okunishi, J. Phys. Soc. Jpn 65, 1996

V. Zauner-Stauber et. al. PRB 97,2018;

M. Fishman et. al PRB 98, 2018 

\(\langle m \rangle\) = 

J. COLBOIS | TENSOR NETWORKS FOR CONSTRAINED SYSTEMS | DELFT | 18.10.2023

\(\rightarrow\) patches of the infinite lattice

11

Measurements

Ueda, et al. JSPS 74, 111-124 (2005)

T. Viejira, J. Haegeman, F. Verstraete, L. Vanderstraeten, PRB 104, 235141 (2021)

 

R. J. Baxter, J. Math. Phys. 9, 1968

Orús, Vidal, PRB 78, 2008;

T. Nishino, K. Okunishi, J. Phys. Soc. Jpn 65, 1996

V. Zauner-Stauber et. al. PRB 97,2018;

M. Fishman et. al PRB 98, 2018 

\(\langle m \rangle\) = 

J. COLBOIS | TENSOR NETWORKS FOR CONSTRAINED SYSTEMS | DELFT | 18.10.2023

\(\rightarrow\) patches of the infinite lattice

11

Ueda, et al. JSPS 74, 111-124 (2005)

T. Viejira, J. Haegeman, F. Verstraete, L. Vanderstraeten, PRB 104, 235141 (2021)

 

Measurements

The frustration problem 

12

J. COLBOIS | TENSOR NETWORKS FOR CONSTRAINED SYSTEMS | DELFT | 18.10.2023

The frustration problem 

Fails in the presence of

frustration and macroscopic g.s. degeneracy

J. COLBOIS | TENSOR NETWORKS FOR CONSTRAINED SYSTEMS | DELFT | 18.10.2023

12

\(\rightarrow\) in spin glasses

 

 

 

C. Wang, S.-M. Qin, H.-J. Zhou, PRB 90, (2014)

Z. Zhu, H. G. Katzgraber, arXiv:1903.07721 (2019)

J. G. Liu, L. Wang, P. Zhang, PRL 126, (2021)

The frustration problem 

Fails in the presence of

frustration and macroscopic g.s. degeneracy

J. COLBOIS | TENSOR NETWORKS FOR CONSTRAINED SYSTEMS | DELFT | 18.10.2023

B. Vanhecke, JC, et al. PRR 3, (2021)

\(\rightarrow\) in spin glasses

 

 

\(\rightarrow \) in translation-invariant frustrated Ising models

 

12

C. Wang, S.-M. Qin, H.-J. Zhou, PRB 90, (2014)

Z. Zhu, H. G. Katzgraber, arXiv:1903.07721 (2019)

J. G. Liu, L. Wang, P. Zhang, PRL 126, (2021)

The frustration problem 

Fails in the presence of

frustration and macroscopic g.s. degeneracy

J. COLBOIS | TENSOR NETWORKS FOR CONSTRAINED SYSTEMS | DELFT | 18.10.2023

B. Vanhecke, JC, et al. PRR 3, (2021)

\(\rightarrow\) in spin glasses

 

 

\(\rightarrow \) in translation-invariant frustrated Ising models

\(\rightarrow\) in lattice gas models

 

S. A. Akimenko, PRE 107, (2023)

12

C. Wang, S.-M. Qin, H.-J. Zhou, PRB 90, (2014)

Z. Zhu, H. G. Katzgraber, arXiv:1903.07721 (2019)

J. G. Liu, L. Wang, P. Zhang, PRL 126, (2021)

The frustration problem 

Fails in the presence of

frustration and macroscopic g.s. degeneracy

J. COLBOIS | TENSOR NETWORKS FOR CONSTRAINED SYSTEMS | DELFT | 18.10.2023

B. Vanhecke, JC, et al. PRR 3, (2021)

\(\rightarrow\) in spin glasses

 

 

\(\rightarrow \) in translation-invariant frustrated Ising models

\(\rightarrow\) in lattice gas models

\(\rightarrow\) in frustrated XY models 

S. A. Akimenko, PRE 107, (2023)

F.F. Song, T.-Y. Lin, G. M. Zhang, arXiv:2309.05321

12

C. Wang, S.-M. Qin, H.-J. Zhou, PRB 90, (2014)

Z. Zhu, H. G. Katzgraber, arXiv:1903.07721 (2019)

J. G. Liu, L. Wang, P. Zhang, PRL 126, (2021)

Points of view

13

J. COLBOIS | TENSOR NETWORKS FOR CONSTRAINED SYSTEMS | DELFT | 18.10.2023

Contracting the TN of a frustrated model

Numerical problem

Cancellation of small and large factors

\tilde{t} = e^{\beta \frac{E_{\text{G.S.}}}{N_{\text{bonds}}}} t = \begin{pmatrix} e^{-\frac{4}{3}\beta J} & e^{\frac{2}{3}\beta J}\\ e^{\frac{2}{3}\beta J} & e^{-\frac{4}{3}\beta J}\end{pmatrix}

Points of view

13

J. COLBOIS | TENSOR NETWORKS FOR CONSTRAINED SYSTEMS | DELFT | 18.10.2023

Contracting the TN of a frustrated model

Numerical problem

Cancellation of small and large factors

C. Wang, S.-M. Qin, H.-J. Zhou, PRB 90, (2014)

Z. Zhu, H. G. Katzgraber, arXiv:1903.07721 (2019)

 

\(\rightarrow\) precision?

\tilde{t} = e^{\beta \frac{E_{\text{G.S.}}}{N_{\text{bonds}}}} t = \begin{pmatrix} e^{-\frac{4}{3}\beta J} & e^{\frac{2}{3}\beta J}\\ e^{\frac{2}{3}\beta J} & e^{-\frac{4}{3}\beta J}\end{pmatrix}

Points of view

13

J. COLBOIS | TENSOR NETWORKS FOR CONSTRAINED SYSTEMS | DELFT | 18.10.2023

Contracting the TN of a frustrated model

Numerical problem

Cancellation of small and large factors

C. Wang, S.-M. Qin, H.-J. Zhou, PRB 90, (2014)

Z. Zhu, H. G. Katzgraber, arXiv:1903.07721 (2019)

 

\(\rightarrow\) precision?

 

J. G. Liu, L. Wang, P. Zhan, PRL 126, (2021)

\(\rightarrow\) log?

\tilde{t} = e^{\beta \frac{E_{\text{G.S.}}}{N_{\text{bonds}}}} t = \begin{pmatrix} e^{-\frac{4}{3}\beta J} & e^{\frac{2}{3}\beta J}\\ e^{\frac{2}{3}\beta J} & e^{-\frac{4}{3}\beta J}\end{pmatrix}

Points of view

13

J. COLBOIS | TENSOR NETWORKS FOR CONSTRAINED SYSTEMS | DELFT | 18.10.2023

Contracting the TN of a frustrated model

Numerical problem

Cancellation of small and large factors

C. Wang, S.-M. Qin, H.-J. Zhou, PRB 90, (2014)

Z. Zhu, H. G. Katzgraber, arXiv:1903.07721 (2019)

 

\(\rightarrow\) precision?

 

J. G. Liu, L. Wang, P. Zhan, PRL 126, (2021)

\(\rightarrow\) log?

\tilde{t} = e^{\beta \frac{E_{\text{G.S.}}}{N_{\text{bonds}}}} t = \begin{pmatrix} e^{-\frac{4}{3}\beta J} & e^{\frac{2}{3}\beta J}\\ e^{\frac{2}{3}\beta J} & e^{-\frac{4}{3}\beta J}\end{pmatrix}

MPO

The MPO is badly conditioned (e.g. not hermitian, ...). Fix it?

Points of view

13

J. COLBOIS | TENSOR NETWORKS FOR CONSTRAINED SYSTEMS | DELFT | 18.10.2023

Contracting the TN of a frustrated model

Numerical problem

Ground-state rule

Cancellation of small and large factors

C. Wang, S.-M. Qin, H.-J. Zhou, PRB 90, (2014)

Z. Zhu, H. G. Katzgraber, arXiv:1903.07721 (2019)

 

\(\rightarrow\) precision?

 

J. G. Liu, L. Wang, P. Zhan, PRL 126, (2021)

\(\rightarrow\) log?

MPO

The MPO is badly conditioned (e.g. not hermitian, ...). Fix it?

\tilde{t} = e^{\beta \frac{E_{\text{G.S.}}}{N_{\text{bonds}}}} t = \begin{pmatrix} e^{-\frac{4}{3}\beta J} & e^{\frac{2}{3}\beta J}\\ e^{\frac{2}{3}\beta J} & e^{-\frac{4}{3}\beta J}\end{pmatrix}

Failure to minimize simultaneously all local Hamiltonians.

B. Vanhecke, JC, et al. PRR 3, (2021)

F.F. Song, T.-Y. Lin, G. M. Zhang, arXiv:2309.05321

Points of view

13

J. COLBOIS | TENSOR NETWORKS FOR CONSTRAINED SYSTEMS | DELFT | 18.10.2023

Contracting the TN of a frustrated model

Numerical problem

Ground-state rule

Cancellation of small and large factors

C. Wang, S.-M. Qin, H.-J. Zhou, PRB 90, (2014)

Z. Zhu, H. G. Katzgraber, arXiv:1903.07721 (2019)

 

\(\rightarrow\) precision?

 

J. G. Liu, L. Wang, P. Zhan, PRL 126, (2021)

\(\rightarrow\) log?

MPO

The MPO is badly conditioned (e.g. not hermitian, ...). Fix it?

\tilde{t} = e^{\beta \frac{E_{\text{G.S.}}}{N_{\text{bonds}}}} t = \begin{pmatrix} e^{-\frac{4}{3}\beta J} & e^{\frac{2}{3}\beta J}\\ e^{\frac{2}{3}\beta J} & e^{-\frac{4}{3}\beta J}\end{pmatrix}

Failure to minimize simultaneously all local Hamiltonians.

B. Vanhecke, JC, et al. PRR 3, (2021)

F.F. Song, T.-Y. Lin, G. M. Zhang, arXiv:2309.05321

Bram Vanhecke

University of Vienna | Austria

Relaxing THE frustration

14

H = \sum_{c} H_c^{\alpha}(\vec{\sigma}|_c)

1. Split

 

 

 

 

 B. Vanhecke, JC, L. Vanderstraeten, F. Verstraete, F. Mila, PRR 3, (2021)

C. K. Majumdar and D. K. Ghosh, J. Math. Phys. 10, (1969);

M. Kaburagi, J. Kanamori, Prog. Theor. Phys. 54 , (1975);

B. Sriram Shastry and B. Sutherland, Physica 108 B+C, (1981);

W. Huang, D. A. Kitchaev, et. al. , Phys. Rev. B 94, (2016)

J. COLBOIS | TENSOR NETWORKS FOR CONSTRAINED SYSTEMS | DELFT | 18.10.2023

P. W. Anderson, PR 83, (1951).

Essential idea : Anderson bounds

Relaxing THE frustration

H = \sum_{c} H_c^{\alpha}(\vec{\sigma}|_c)

1. Split

 

 

 

2. Lower bound on GS energy

 

 

 

\min_{\vec{\sigma}|_c} H_c^{\alpha}(\vec{\sigma}|_c)

 B. Vanhecke, JC, L. Vanderstraeten, F. Verstraete, F. Mila, PRR 3, (2021)

C. K. Majumdar and D. K. Ghosh, J. Math. Phys. 10, (1969);

M. Kaburagi, J. Kanamori, Prog. Theor. Phys. 54 , (1975);

B. Sriram Shastry and B. Sutherland, Physica 108 B+C, (1981);

W. Huang, D. A. Kitchaev, et. al. , Phys. Rev. B 94, (2016)

J. COLBOIS | TENSOR NETWORKS FOR CONSTRAINED SYSTEMS | DELFT | 18.10.2023

14

P. W. Anderson, PR 83, (1951).

Essential idea : Anderson bounds

Relaxing THE frustration

H = \sum_{c} H_c^{\alpha}(\vec{\sigma}|_c)

1. Split

 

 

 

2. Lower bound on GS energy

 

 

 

3. Maximize with respect to the weights:

 

\min_{\vec{\sigma}|_c} H_c^{\alpha}(\vec{\sigma}|_c)
\max_{\alpha}\,\,\min_{\vec{\sigma}|_c} H_c^{\alpha}(\vec{\sigma}|_c)

 B. Vanhecke, JC, L. Vanderstraeten, F. Verstraete, F. Mila, PRR 3, (2021)

C. K. Majumdar and D. K. Ghosh, J. Math. Phys. 10, (1969);

M. Kaburagi, J. Kanamori, Prog. Theor. Phys. 54 , (1975);

B. Sriram Shastry and B. Sutherland, Physica 108 B+C, (1981);

W. Huang, D. A. Kitchaev, et. al. , Phys. Rev. B 94, (2016)

\rightarrow

J. COLBOIS | TENSOR NETWORKS FOR CONSTRAINED SYSTEMS | DELFT | 18.10.2023

14

P. W. Anderson, PR 83, (1951).

Essential idea : Anderson bounds

Relaxing THE frustration

H = \sum_{c} H_c^{\alpha}(\vec{\sigma}|_c)

1. Split

 

 

 

2. Lower bound on GS energy

 

 

 

3. Maximize with respect to the weights:

 

\min_{\vec{\sigma}|_c} H_c^{\alpha}(\vec{\sigma}|_c)
\max_{\alpha}\,\,\min_{\vec{\sigma}|_c} H_c^{\alpha}(\vec{\sigma}|_c)

 B. Vanhecke, JC, L. Vanderstraeten, F. Verstraete, F. Mila, PRR 3, (2021)

C. K. Majumdar and D. K. Ghosh, J. Math. Phys. 10, (1969);

M. Kaburagi, J. Kanamori, Prog. Theor. Phys. 54 , (1975);

B. Sriram Shastry and B. Sutherland, Physica 108 B+C, (1981);

W. Huang, D. A. Kitchaev, et. al. , Phys. Rev. B 94, (2016)

\rightarrow
\rightarrow

J. COLBOIS | TENSOR NETWORKS FOR CONSTRAINED SYSTEMS | DELFT | 18.10.2023

Ground states

tiling of configurations that minimize the local Hamiltonian

14

P. W. Anderson, PR 83, (1951).

Essential idea : Anderson bounds

Relaxing THE frustration

H = \sum_{c} H_c^{\alpha}(\vec{\sigma}|_c)

1. Split

 

 

 

2. Lower bound on GS energy

 

 

 

3. Maximize with respect to the weights:

 

\min_{\vec{\sigma}|_c} H_c^{\alpha}(\vec{\sigma}|_c)
\max_{\alpha}\,\,\min_{\vec{\sigma}|_c} H_c^{\alpha}(\vec{\sigma}|_c)

 B. Vanhecke, JC, L. Vanderstraeten, F. Verstraete, F. Mila, PRR 3, (2021)

C. K. Majumdar and D. K. Ghosh, J. Math. Phys. 10, (1969);

M. Kaburagi, J. Kanamori, Prog. Theor. Phys. 54 , (1975);

B. Sriram Shastry and B. Sutherland, Physica 108 B+C, (1981);

W. Huang, D. A. Kitchaev, et. al. , Phys. Rev. B 94, (2016)

\rightarrow
\rightarrow

J. COLBOIS | TENSOR NETWORKS FOR CONSTRAINED SYSTEMS | DELFT | 18.10.2023

14

P. W. Anderson, PR 83, (1951).

Essential idea : Anderson bounds

Ground states

tiling of configurations that minimize the local Hamiltonian

remarks

J. COLBOIS | TENSOR NETWORKS FOR CONSTRAINED SYSTEMS | DELFT | 18.10.2023

15

remarks

J. COLBOIS | TENSOR NETWORKS FOR CONSTRAINED SYSTEMS | DELFT | 18.10.2023

15

Turned the problem into a tiling problem.

 

L. Vanderstraeten , B. Vanhecke, F. Verstraete, PRE 98, (2018)

remarks

J. COLBOIS | TENSOR NETWORKS FOR CONSTRAINED SYSTEMS | DELFT | 18.10.2023

15

Turned the problem into a tiling problem.

 

For NN models, naturally occurs from the "interactions-round-a-face" construction

see e.g. R. J. Baxter, J. Stat. Phys. 19, (1978)

L. Vanderstraeten , B. Vanhecke, F. Verstraete, PRE 98, (2018)

remarks

J. COLBOIS | TENSOR NETWORKS FOR CONSTRAINED SYSTEMS | DELFT | 18.10.2023

15

Turned the problem into a tiling problem.

 

For NN models, naturally occurs from the "interactions-round-a-face" construction

\(J_1 - J_2\) on kagome

see e.g. R. J. Baxter, J. Stat. Phys. 19, (1978)

L. Vanderstraeten , B. Vanhecke, F. Verstraete, PRE 98, (2018)

Finite temperature

J. COLBOIS | TENSOR NETWORKS FOR CONSTRAINED SYSTEMS | DELFT | 18.10.2023

16

\mathcal{Z}_0 =
D^{C_1, C_2, C_3, C_4}(\beta,\{\alpha\}) = \delta^{C_1, C_2, C_3,C_4} B(C_1, \beta, \{\alpha\})\\ B(C_1, \beta, \{\alpha\}) = e^{-\beta (H^{\{\alpha\}}_u(C_1)-E_u)}

Contraction

17

 B. Vanhecke, JC, L. Vanderstraeten, F. Verstraete, F. Mila, PRR 3, (2021)

J. COLBOIS | TENSOR NETWORKS FOR CONSTRAINED SYSTEMS | DELFT | 18.10.2023

 B. Vanhecke, JC, L. Vanderstraeten, F. Verstraete, F. Mila, PRR 3, (2021)

J. COLBOIS | TENSOR NETWORKS FOR CONSTRAINED SYSTEMS | DELFT | 18.10.2023

Contraction

17

 B. Vanhecke, JC, L. Vanderstraeten, F. Verstraete, F. Mila, PRR 3, (2021)

J. COLBOIS | TENSOR NETWORKS FOR CONSTRAINED SYSTEMS | DELFT | 18.10.2023

Contraction

17

Spurious tiles

 B. Vanhecke, JC, L. Vanderstraeten, F. Verstraete, F. Mila, PRR 3, (2021)

J. COLBOIS | TENSOR NETWORKS FOR CONSTRAINED SYSTEMS | DELFT | 18.10.2023

17

Spurious tiles

 B. Vanhecke, JC, L. Vanderstraeten, F. Verstraete, F. Mila, PRR 3, (2021)

J. COLBOIS | TENSOR NETWORKS FOR CONSTRAINED SYSTEMS | DELFT | 18.10.2023

17

18

J. COLBOIS | TENSOR NETWORKS FOR CONSTRAINED SYSTEMS | DELFT | 18.10.2023

F.F. Song, T.-Y. Lin, G. M. Zhang, arXiv:2309.05321

 B. Vanhecke, JC, L. Vanderstraeten, F. Verstraete, F. Mila, PRR 3, (2021)

Charges and strings

See e.g. Henley (2010) or Nienhuis (1984)

18

J. COLBOIS | TENSOR NETWORKS FOR CONSTRAINED SYSTEMS | DELFT | 18.10.2023

F.F. Song, T.-Y. Lin, G. M. Zhang, arXiv:2309.05321

 B. Vanhecke, JC, L. Vanderstraeten, F. Verstraete, F. Mila, PRR 3, (2021)

H = \frac{J}{4} \sum_{p \in \triangle, \triangledown} (Q_p^2 -3)
Q_{\triangle} = \sum_{i \in \triangle} \sigma_i
Q_{\triangledown} = -\sum_{i \in \triangledown} \sigma_i

Charges and strings

See e.g. Henley (2010) or Nienhuis (1984)

18

J. COLBOIS | TENSOR NETWORKS FOR CONSTRAINED SYSTEMS | DELFT | 18.10.2023

F.F. Song, T.-Y. Lin, G. M. Zhang, arXiv:2309.05321

 B. Vanhecke, JC, L. Vanderstraeten, F. Verstraete, F. Mila, PRR 3, (2021)

H = \frac{J}{4} \sum_{p \in \triangle, \triangledown} (Q_p^2 -3)
Q_{\triangle} = \sum_{i \in \triangle} \sigma_i

Charges and strings

See e.g. Henley (2010) or Nienhuis (1984)

Q_{\triangledown} = -\sum_{i \in \triangledown} \sigma_i

18

J. COLBOIS | TENSOR NETWORKS FOR CONSTRAINED SYSTEMS | DELFT | 18.10.2023

F.F. Song, T.-Y. Lin, G. M. Zhang, arXiv:2309.05321

 B. Vanhecke, JC, L. Vanderstraeten, F. Verstraete, F. Mila, PRR 3, (2021)

H = \frac{J}{4} \sum_{p \in \triangle, \triangledown} (Q_p^2 -3)
Q_{\triangle} = \sum_{i \in \triangle} \sigma_i

Charges and strings

See e.g. Henley (2010) or Nienhuis (1984)

Q_{\triangledown} = -\sum_{i \in \triangledown} \sigma_i

18

J. COLBOIS | TENSOR NETWORKS FOR CONSTRAINED SYSTEMS | DELFT | 18.10.2023

F.F. Song, T.-Y. Lin, G. M. Zhang, arXiv:2309.05321

 B. Vanhecke, JC, L. Vanderstraeten, F. Verstraete, F. Mila, PRR 3, (2021)

H = \frac{J}{4} \sum_{p \in \triangle, \triangledown} (Q_p^2 -3)
Q_{\triangle} = \sum_{i \in \triangle} \sigma_i

Charges and strings

See e.g. Henley (2010) or Nienhuis (1984)

Q_{\triangledown} = -\sum_{i \in \triangledown} \sigma_i

18

J. COLBOIS | TENSOR NETWORKS FOR CONSTRAINED SYSTEMS | DELFT | 18.10.2023

F.F. Song, T.-Y. Lin, G. M. Zhang, arXiv:2309.05321

 B. Vanhecke, JC, L. Vanderstraeten, F. Verstraete, F. Mila, PRR 3, (2021)

H = \frac{J}{4} \sum_{p \in \triangle, \triangledown} (Q_p^2 -3)
Q_{\triangle} = \sum_{i \in \triangle} \sigma_i

Charges and strings

See e.g. Henley (2010) or Nienhuis (1984)

Q_{\triangledown} = -\sum_{i \in \triangledown} \sigma_i

Charges and strings

18

J. COLBOIS | TENSOR NETWORKS FOR CONSTRAINED SYSTEMS | DELFT | 18.10.2023

F.F. Song, T.-Y. Lin, G. M. Zhang, arXiv:2309.05321

 B. Vanhecke, JC, L. Vanderstraeten, F. Verstraete, F. Mila, PRR 3, (2021)

H = \frac{J}{4} \sum_{p \in \triangle, \triangledown} (Q_p^2 -3)
Q_{\triangle} = \sum_{i \in \triangle} \sigma_i

See e.g. Henley (2010) or Nienhuis (1984)

Q_{\triangledown} = -\sum_{i \in \triangledown} \sigma_i

Triangular lattice Ising antiferromagnet

Phase diagram & Question

19

H = J \sum_{\langle i, j \rangle} \sigma_i \sigma_j - h \sum_i \sigma_i \quad J, h > 0 \quad \sigma_i = \pm 1

J. COLBOIS | TENSOR NETWORKS FOR CONSTRAINED SYSTEMS | DELFT | 18.10.2023

Phase diagram & Question

H = J \sum_{\langle i, j \rangle} \sigma_i \sigma_j - h \sum_i \sigma_i \quad J, h > 0 \quad \sigma_i = \pm 1

J. COLBOIS | TENSOR NETWORKS FOR CONSTRAINED SYSTEMS | DELFT | 18.10.2023

19

Phase diagram & Question

H = J \sum_{\langle i, j \rangle} \sigma_i \sigma_j - h \sum_i \sigma_i \quad J, h > 0 \quad \sigma_i = \pm 1

G.S. critical

S = 0.3230659...\\ c = 1, \eta = 1/2\\ \langle \sigma_i \sigma_j \rangle \sim \frac{1}{\sqrt{r}}

J. COLBOIS | TENSOR NETWORKS FOR CONSTRAINED SYSTEMS | DELFT | 18.10.2023

G. H. Wannier, PR 79, 1950

 Stephenson, J. Math. Phys. 11, 1970

Height model!

19

B. Nienhuis, H. J. Hilhorst, and H. W. J. Blote,  J. Phys. A. 17, (1984).

Phase diagram & Question

H = J \sum_{\langle i, j \rangle} \sigma_i \sigma_j - h \sum_i \sigma_i \quad J, h > 0 \quad \sigma_i = \pm 1

No transition at finite temperature

\langle \sigma_i \sigma_j \rangle \sim \frac{e^{-r/\xi}}{\sqrt{r}}\\ \xi = -\frac{1}{\ln\tanh(1/T)}

Stephenson, J. Math. Phys. 11, 1970

Jacobsen, Fogedby, Physica A 246,  1997

Houtappel, Physica 16, 1950

G.S. critical

S = 0.3230659...\\ c = 1, \eta = 1/2\\ \langle \sigma_i \sigma_j \rangle \sim \frac{1}{\sqrt{r}}

J. COLBOIS | TENSOR NETWORKS FOR CONSTRAINED SYSTEMS | DELFT | 18.10.2023

G. H. Wannier, PR 79, 1950

 Stephenson, J. Math. Phys. 11, 1970

19

Height model!

B. Nienhuis, H. J. Hilhorst, and H. W. J. Blote,  J. Phys. A. 17, (1984).

Phase diagram & Question

H = J \sum_{\langle i, j \rangle} \sigma_i \sigma_j - h \sum_i \sigma_i \quad J, h > 0 \quad \sigma_i = \pm 1

J. COLBOIS | TENSOR NETWORKS FOR CONSTRAINED SYSTEMS | DELFT | 18.10.2023

\nu = 5/6, \eta = 4/15, c = 4/5

20

Phase diagram & Question

H = J \sum_{\langle i, j \rangle} \sigma_i \sigma_j - h \sum_i \sigma_i \quad J, h > 0 \quad \sigma_i = \pm 1

Alexander P.L.A 54 (1975)

Kinzel & Schick PRB 23 (1981)

Noh & Kim, Int. J. Phys. B 06 ( 1992)

J. COLBOIS | TENSOR NETWORKS FOR CONSTRAINED SYSTEMS | DELFT | 18.10.2023

\nu = 5/6, \eta = 4/15, c = 4/5

20

Phase diagram & Question

H = J \sum_{\langle i, j \rangle} \sigma_i \sigma_j - h \sum_i \sigma_i \quad J, h > 0 \quad \sigma_i = \pm 1

Racz PRB 21, 1980;

Qian, Wegewijs, Blöte PRE 69, 2004;

Baxter, Exactly solved models

J. COLBOIS | TENSOR NETWORKS FOR CONSTRAINED SYSTEMS | DELFT | 18.10.2023

Alexander P.L.A 54 (1975)

Kinzel & Schick PRB 23 (1981)

Noh & Kim, Int. J. Phys. B 06 ( 1992)

\nu = 5/6, \eta = 4/15, c = 4/5

20

Phase diagram & Question

H = J \sum_{\langle i, j \rangle} \sigma_i \sigma_j - h \sum_i \sigma_i \quad J, h > 0 \quad \sigma_i = \pm 1

Racz PRB 21, 1980;

Qian, Wegewijs, Blöte PRE 69, 2004;

Baxter, Exactly solved models

J. COLBOIS | TENSOR NETWORKS FOR CONSTRAINED SYSTEMS | DELFT | 18.10.2023

Alexander P.L.A 54 (1975)

Kinzel & Schick PRB 23 (1981)

Noh & Kim, Int. J. Phys. B 06 ( 1992)

\nu = 5/6, \eta = 4/15, c = 4/5

20

Phase diagram & Question

K = J/T\\ H = h/T
H = J \sum_{\langle i, j \rangle} \sigma_i \sigma_j - h \sum_i \sigma_i \quad J, h > 0 \quad \sigma_i = \pm 1

Blöte, Nightingale, Wu, Hoogland,  PRB 43, (1991)

Blöte, Nightingale, PRB 47, (1993)

Qian, Wegewijs, Blöte, PRE 69 (2004)

J. COLBOIS | TENSOR NETWORKS FOR CONSTRAINED SYSTEMS | DELFT | 18.10.2023

21

\eta = 4/9
\eta = 4/15

Flat

Rough

tensor network

22

S. Nyckees, A. Rufino, F. Mila & JC, arXiv:2306.0904 (2023)

J. COLBOIS | TENSOR NETWORKS FOR CONSTRAINED SYSTEMS | DELFT | 18.10.2023

Limit at T = 0 where H = h/T is constant

a_{(\sigma_1, \sigma_4), (\sigma_2, \sigma_5), (\sigma_3, \sigma_6)} = \delta_{\sigma_1,\sigma_6} \delta_{\sigma_4, \sigma_2} \delta_{\sigma_5, \sigma_1} e^{- \frac{K}{2}} e^{-\frac{K}{2}(\sigma_1 \sigma_2 + \sigma_2 \sigma_3 + \sigma_3 \sigma_1)} e^{\frac{H}{6} (\sigma_1+\sigma_2 + \sigma_3)}

ctmrg on the honeycomb lattice

23

Samuel Nyckees

EPFL | Switzerland

J. COLBOIS | TENSOR NETWORKS FOR CONSTRAINED SYSTEMS | DELFT | 18.10.2023

S. Nyckees, A. Rufino, F. Mila & JC, arXiv:2306.0904 (2023)

 I. V. Lukin and A. G. Sotnikov,   PRB 107, 054424 (2023)

 A. Gendiar, R. Krcmar, S. Andergassen, M. Daniška,
and T. Nishino, PRE 86, 021105 (2012)

Samuel Nyckees

EPFL | Switzerland

J. COLBOIS | TENSOR NETWORKS FOR CONSTRAINED SYSTEMS | DELFT | 18.10.2023

23

ctmrg on the honeycomb lattice

S. Nyckees, A. Rufino, F. Mila & JC, arXiv:2306.0904 (2023)

 I. V. Lukin and A. G. Sotnikov,   PRB 107, 054424 (2023)

 A. Gendiar, R. Krcmar, S. Andergassen, M. Daniška,
and T. Nishino, PRE 86, 021105 (2012)

Samuel Nyckees

EPFL | Switzerland

J. COLBOIS | TENSOR NETWORKS FOR CONSTRAINED SYSTEMS | DELFT | 18.10.2023

23

ctmrg on the honeycomb lattice

S. Nyckees, A. Rufino, F. Mila & JC, arXiv:2306.0904 (2023)

 I. V. Lukin and A. G. Sotnikov,   PRB 107, 054424 (2023)

 A. Gendiar, R. Krcmar, S. Andergassen, M. Daniška,
and T. Nishino, PRE 86, 021105 (2012)

Samuel Nyckees

EPFL | Switzerland

J. COLBOIS | TENSOR NETWORKS FOR CONSTRAINED SYSTEMS | DELFT | 18.10.2023

23

ctmrg on the honeycomb lattice

S. Nyckees, A. Rufino, F. Mila & JC, arXiv:2306.0904 (2023)

 I. V. Lukin and A. G. Sotnikov,   PRB 107, 054424 (2023)

 A. Gendiar, R. Krcmar, S. Andergassen, M. Daniška,
and T. Nishino, PRE 86, 021105 (2012)

Samuel Nyckees

EPFL | Switzerland

J. COLBOIS | TENSOR NETWORKS FOR CONSTRAINED SYSTEMS | DELFT | 18.10.2023

23

ctmrg on the honeycomb lattice

S. Nyckees, A. Rufino, F. Mila & JC, arXiv:2306.0904 (2023)

Samuel Nyckees

EPFL | Switzerland

24

Large Field

J. COLBOIS | TENSOR NETWORKS FOR CONSTRAINED SYSTEMS | DELFT | 18.10.2023

\psi = \frac{1}{3}| m_A + e^{2\pi i/3} m_B + e^{-2\pi i/3}m_C|

Order parameter for 3-sublattice order (3 states of the triangle)

S. Nyckees, A. Rufino, F. Mila & JC, arXiv:2306.0904 (2023)

Samuel Nyckees

EPFL | Switzerland

24

J. COLBOIS | TENSOR NETWORKS FOR CONSTRAINED SYSTEMS | DELFT | 18.10.2023

\psi = \frac{1}{3}| m_A + e^{2\pi i/3} m_B + e^{-2\pi i/3}m_C|

S. Nyckees, A. Rufino, F. Mila & JC, arXiv:2306.0904 (2023)

Order parameter for 3-sublattice order (3 states of the triangle)

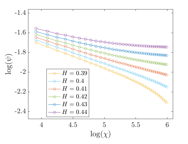
Single-site -> no access to TM

Large Field

Samuel Nyckees

EPFL | Switzerland

24

Constrained limit

J. COLBOIS | TENSOR NETWORKS FOR CONSTRAINED SYSTEMS | DELFT | 18.10.2023

\psi = \frac{1}{3}| m_A + e^{2\pi i/3} m_B + e^{-2\pi i/3}m_C|

Order parameter for 3-sublattice order (3 states of the triangle)

Single-site -> no access to TM

S. Nyckees, A. Rufino, F. Mila & JC, arXiv:2306.0904 (2023)

F. Pollmann, S. Mukerjee, A. M. Turner, J.E. Moore, PRL 102 (2009)

L. Tagliacozzo, T. R. de Oliveira, S. Iblisdir, J.I. Latorre, PRB 78 (2008)

\xi \sim \chi^{\kappa} \quad \kappa \sim \frac{6}{c(\sqrt{12/c}+1)}\\ \Rightarrow \begin{cases} S &= \frac{c \kappa}{6} \log(\chi)\\ \psi &= \chi^{\frac{\kappa \eta}{2}} \end{cases}

\(\Rightarrow\) exponents from log. fits, assuming \(c\).

Constrained limit

Samuel Nyckees

EPFL | Switzerland

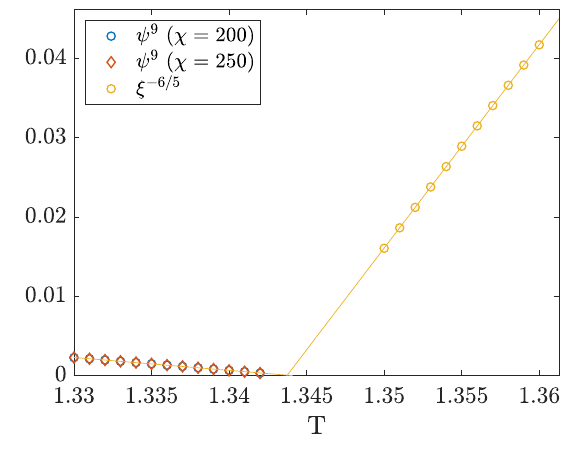
Qian, Wegewijs, Blöte PRE  69 (2004) : TM results

J. COLBOIS | TENSOR NETWORKS FOR CONSTRAINED SYSTEMS | DELFT | 18.10.2023

23

A, B : convergence modulo 3 (B=C)

S. Nyckees, A. Rufino, F. Mila & JC, arXiv:2306.0904 (2023)

Approaching the Constrained limit

Samuel Nyckees

EPFL | Switzerland

J. COLBOIS | TENSOR NETWORKS FOR CONSTRAINED SYSTEMS | DELFT | 18.10.2023

24

S. Nyckees, A. Rufino, F. Mila & JC, arXiv:2306.0904 (2023)

\(\eta\) in agreement with 3-state Potts

T/J = 0.25

Qian, Wegewijs, Blöte PRE  69 (2004)

Approaching the Constrained limit

Samuel Nyckees

EPFL | Switzerland

J. COLBOIS | TENSOR NETWORKS FOR CONSTRAINED SYSTEMS | DELFT | 18.10.2023

24

\(\eta\) in agreement with 3-state Potts

T/J = 0.25

S. Nyckees, A. Rufino, F. Mila & JC, arXiv:2306.0904 (2023)

Qian, Wegewijs, Blöte PRE  69 (2004)

Farther-neighbors on kagome

Artificial Out-of-plane kagome

 

I. A. Chioar, N. Rougemaille, B. Canals, PRB 93, (2016)

J. Hamp, C. Castelnovo, R. Moessner, PRB 98, (2018)

L. Cugliandolo, L. Foini, M. Tarzia, PRB 101 (2020)

Chioar et al., PRB 90, (2014)

H = J \sum_{\langle i, j \rangle } \sigma_i \sigma_j + D \sum_{(i,j)} \frac{\sigma_i \sigma_j}{r_{ij}^3}
Q_{\bigtriangleup} = \sum_i \sigma_i\\ Q_{\bigtriangledown} = - \sum_i \sigma_i

J. COLBOIS | TENSOR NETWORKS FOR CONSTRAINED SYSTEMS | DELFT | 18.10.2023

25

image/svg+xml
image/svg+xml
H =
J_2 \sum_{\langle i,j \rangle_{2}} \sigma_i \sigma_j
J_{3} \sum_{\langle i,j \rangle_{3||}} \sigma_i \sigma_j
J_{3} \sum_{\langle i,j \rangle_{3\star}} \sigma_i \sigma_j
+
+
+
J_1 \sum_{\langle i,j \rangle_1} \sigma_i \sigma_j
H =
J_2 \sum_{\langle i,j \rangle_{2}} \sigma_i \sigma_j
J_{3} \sum_{\langle i,j \rangle_{3||}} \sigma_i \sigma_j
J_{3} \sum_{\langle i,j \rangle_{3\star}} \sigma_i \sigma_j
+
+
+
J_1 \sum_{\langle i,j \rangle_1} \sigma_i \sigma_j

Tensor network construction

26

H =
J_2 \sum_{\langle i,j \rangle_{2}} \sigma_i \sigma_j
J_{3} \sum_{\langle i,j \rangle_{3||}} \sigma_i \sigma_j
J_{3} \sum_{\langle i,j \rangle_{3\star}} \sigma_i \sigma_j
+
+
+
J_1 \sum_{\langle i,j \rangle_1} \sigma_i \sigma_j
H =
J_2 \sum_{\langle i,j \rangle_{2}} \sigma_i \sigma_j
J_{3} \sum_{\langle i,j \rangle_{3||}} \sigma_i \sigma_j
J_{3} \sum_{\langle i,j \rangle_{3\star}} \sigma_i \sigma_j
+
+
+
J_1 \sum_{\langle i,j \rangle_1} \sigma_i \sigma_j

 

 

JC, B. Vanhecke et. al., PRB 106 (2022)

image/svg+xml
image/svg+xml

J. COLBOIS | TENSOR NETWORKS FOR CONSTRAINED SYSTEMS | DELFT | 18.10.2023

Ground state Phase diagram

27

S = 0.026922 \pm 3 \cdot 10^{-6} = \frac{S_\triangle}{12}
S = 0.107689 \pm 2 \cdot 10^{-6} \cong \frac{S_\triangle}{3}
S = 0.01920 \pm 3 \cdot 10^{-5}
H =
J_2 \sum_{\langle i,j \rangle_{2}} \sigma_i \sigma_j
J_{3} \sum_{\langle i,j \rangle_{3||}} \sigma_i \sigma_j
J_{3} \sum_{\langle i,j \rangle_{3\star}} \sigma_i \sigma_j
+
+
+
J_1 \sum_{\langle i,j \rangle_1} \sigma_i \sigma_j
H =
J_2 \sum_{\langle i,j \rangle_{2}} \sigma_i \sigma_j
J_{3} \sum_{\langle i,j \rangle_{3||}} \sigma_i \sigma_j
J_{3} \sum_{\langle i,j \rangle_{3\star}} \sigma_i \sigma_j
+
+
+
J_1 \sum_{\langle i,j \rangle_1} \sigma_i \sigma_j

 

 

JC, B. Vanhecke et. al., PRB 106 (2022)

J. COLBOIS | TENSOR NETWORKS FOR CONSTRAINED SYSTEMS | DELFT | 18.10.2023

Emergent degrees-of-freedom

28

S = 0.026922 \pm 3 \cdot 10^{-6} = \frac{S_\triangle}{12}

 

 

JC, B. Vanhecke et. al., PRB 106 (2022)

J. COLBOIS | TENSOR NETWORKS FOR CONSTRAINED SYSTEMS | DELFT | 18.10.2023

Emergent degrees-of-freedom

28

S = 0.026922 \pm 3 \cdot 10^{-6} = \frac{S_\triangle}{12}

 

 

JC, B. Vanhecke et. al., PRB 106 (2022)

J. COLBOIS | TENSOR NETWORKS FOR CONSTRAINED SYSTEMS | DELFT | 18.10.2023

Emergent degrees-of-freedom

28

S = 0.026922 \pm 3 \cdot 10^{-6} = \frac{S_\triangle}{12}

 

 

JC, B. Vanhecke et. al., PRB 106 (2022)

J. COLBOIS | TENSOR NETWORKS FOR CONSTRAINED SYSTEMS | DELFT | 18.10.2023

Emergent degrees-of-freedom

29

S = 0.107689 \pm 2 \cdot 10^{-6} \cong \frac{S_\triangle}{3}

 

 

JC, B. Vanhecke et. al., PRB 106 (2022)

J. COLBOIS | TENSOR NETWORKS FOR CONSTRAINED SYSTEMS | DELFT | 18.10.2023

\(\mathbb{Z}_2 \times \mathbb{Z}_3\) symmetry breaking

Relation to the TIAFM

Outlook

32

TNs

Is there always a cell relaxing the frustration? (Hard vs weak frustration)

Can the problem be fixed at the level of the MPO?

Consequences for iPEPS?

 

J. COLBOIS | TENSOR NETWORKS FOR CONSTRAINED SYSTEMS | DELFT | 18.10.2023

Outlook

32

TNs

Is there always a cell relaxing the frustration? (Hard vs weak frustration)

Can the problem be fixed at the level of the MPO?

Consequences for iPEPS?

 

Beyond

classical, short-range

Ising

Effect of quantum fluctuations?

Other classical constrained models? Other challenges?

NN Frustrated XY models. Farther-neighbors? Heisenberg?

Long-range interactions? (TNMH)

Spin glasses ? (Tropical TNs)

J. COLBOIS | TENSOR NETWORKS FOR CONSTRAINED SYSTEMS | DELFT | 18.10.2023

Thank you for the question!

Strings phase ground state

 

 

JC, B. Vanhecke et. al., PRB 106 (2022)

J. COLBOIS | TENSOR NETWORKS FOR CONSTRAINED SYSTEMS | DELFT | 18.10.2023

Strings phase ground state

 

 

JC, B. Vanhecke et. al., PRB 106 (2022)

 

 

JC, B. Vanhecke et. al., PRB 106 (2022)

J. COLBOIS | TENSOR NETWORKS FOR CONSTRAINED SYSTEMS | DELFT | 18.10.2023

Strings phase ground state

\(\mathbb{Z}_2 \times \mathbb{Z}_3\) symmetry breaking

Relation to the TIAFM

\Psi_{\mathbb{Z}_2} = \lim_{x \rightarrow \infty} | \sigma_0 \sigma_{x} |

AF. order in horizontal direction

\Psi_{\mathbb{Z}_3} = |d_{|} + d_{/}e^{\frac{2\pi i}{3}} + d_{\ } e^{-\frac{2 \pi i}{3}} |

Absence of vertical dimers

 

 

JC, B. Vanhecke et. al., PRB 106 (2022); A. Rufino, S. Nyckees, JC, F. Mila, in preparation

J. COLBOIS | TENSOR NETWORKS FOR CONSTRAINED SYSTEMS | DELFT | 18.10.2023

Tensor networks : inspired by transfer matrices

\mathcal{Z}_L = \sum_{\sigma_1,\sigma_2,\dots\sigma_L} \prod_{i}e^{\beta J \sigma_i \sigma_{i+1}}
T = \begin{pmatrix} e^{\beta J} &e^{-\beta J}\\ e^{-\beta J} &e^{\beta J}\\ \end{pmatrix}

Tensor notation: R. Penrose, in Combinatorial Mathematics and its applications, Academic Press (1971)

image/svg+xml

J. COLBOIS | TENSOR NETWORKS FOR CONSTRAINED SYSTEMS | DELFT | 18.10.2023

Tensor networks : inspired by transfer matrices

\mathcal{Z}_L = \sum_{\sigma_1,\sigma_2,\dots\sigma_L} \prod_{i}e^{\beta J \sigma_i \sigma_{i+1}}
T = \begin{pmatrix} e^{\beta J} &e^{-\beta J}\\ e^{-\beta J} &e^{\beta J}\\ \end{pmatrix}

Tensor notation: R. Penrose, in Combinatorial Mathematics and its applications, Academic Press (1971)

image/svg+xml

J. COLBOIS | TENSOR NETWORKS FOR CONSTRAINED SYSTEMS | DELFT | 18.10.2023

Tensor networks : inspired by transfer matrices

\mathcal{Z}_L = \sum_{\sigma_1,\sigma_2,\dots\sigma_L} \prod_{i}e^{\beta J \sigma_i \sigma_{i+1}}
T = \begin{pmatrix} e^{\beta J} &e^{-\beta J}\\ e^{-\beta J} &e^{\beta J}\\ \end{pmatrix}

Tensor notation: R. Penrose, in Combinatorial Mathematics and its applications, Academic Press (1971)

image/svg+xml
\mathcal{Z}_L = \sum_{\sigma_0} (T^L)_{\sigma_0, \sigma_0}

J. COLBOIS | TENSOR NETWORKS FOR CONSTRAINED SYSTEMS | DELFT | 18.10.2023

Tensor networks : inspired by transfer matrices

\mathcal{Z}_L = \sum_{\sigma_1,\sigma_2,\dots\sigma_L} \prod_{i}e^{\beta J \sigma_i \sigma_{i+1}}
T = \begin{pmatrix} e^{\beta J} &e^{-\beta J}\\ e^{-\beta J} &e^{\beta J}\\ \end{pmatrix}

Tensor notation: R. Penrose, in Combinatorial Mathematics and its applications, Academic Press (1971)

image/svg+xml
\mathcal{Z}_L = \sum_{\sigma_0} (T^L)_{\sigma_0, \sigma_0}
T^L = \lambda_{+}^L \sum_{i = +, -} \left( \frac{\lambda_i}{\lambda_+} \right)^L \left|r_i\rangle \langle l_i\right|

"Exact contraction"

J. COLBOIS | TENSOR NETWORKS FOR CONSTRAINED SYSTEMS | DELFT | 18.10.2023

Tensor networks : inspired by transfer matrices

\mathcal{Z}_L = \sum_{\sigma_1,\sigma_2,\dots\sigma_L} \prod_{i}e^{\beta J \sigma_i \sigma_{i+1}}
T = \begin{pmatrix} e^{\beta J} &e^{-\beta J}\\ e^{-\beta J} &e^{\beta J}\\ \end{pmatrix}

Tensor notation: R. Penrose, in Combinatorial Mathematics and its applications, Academic Press (1971)

image/svg+xml
\mathcal{Z}_L = \sum_{\sigma_0} (T^L)_{\sigma_0, \sigma_0}
T^L = \lambda_{+}^L \sum_{i = +, -} \left( \frac{\lambda_i}{\lambda_+} \right)^L \left|r_i\rangle \langle l_i\right| \xrightarrow[L \to \infty]{} \lambda_+^L \left|r_+\rangle \langle l_+\right|

"Exact contraction"

"Approximate contraction"

J. COLBOIS | TENSOR NETWORKS FOR CONSTRAINED SYSTEMS | DELFT | 18.10.2023

TN language

Tensor notation: R. Penrose, in Combinatorial Mathematics and its applications, Academic Press (1971)

"Contraction"

Matrix / tensor

Vector

Open legs =  number of indices = "rank"

J. COLBOIS | TENSOR NETWORKS FOR CONSTRAINED SYSTEMS | DELFT | 18.10.2023

Tensor networks : inspired by transfer matrices

\mathcal{Z}_L = \sum_{\sigma_1,\sigma_2,\dots\sigma_L} \prod_{i}e^{\beta J \sigma_i \sigma_{i+1}}
T = \begin{pmatrix} e^{\beta J} &e^{-\beta J}\\ e^{-\beta J} &e^{\beta J}\\ \end{pmatrix}

Tensor notation: R. Penrose, in Combinatorial Mathematics and its applications, Academic Press (1971)

image/svg+xml
\mathcal{Z}_L = \sum_{\sigma_0} (T^L)_{\sigma_0, \sigma_0}
T^L = \lambda_{+}^L \sum_{i = +, -} \left( \frac{\lambda_i}{\lambda_+} \right)^L \left|r_i\rangle \langle l_i\right| \xrightarrow[L \to \infty]{} \lambda_+^L \left|r_+\rangle \langle l_+\right|

"Exact contraction"

"Approximate contraction"

\mathcal{Z}_L \rightarrow \lambda_+^L

J. COLBOIS | TENSOR NETWORKS FOR CONSTRAINED SYSTEMS | DELFT | 18.10.2023

TN language

Tensor notation: R. Penrose, in Combinatorial Mathematics and its applications, Academic Press (1971)

"Contraction"

Matrix / tensor

Vector

Open legs =  number of indices = "rank"

T^L = \lambda_{+}^L \sum_{i = +, -} \left( \frac{\lambda_i}{\lambda_+} \right)^L \left|r_i\rangle \langle l_i\right| \xrightarrow[L \to \infty]{} \lambda_+^L \left|r_+\rangle \langle l_+\right|

J. COLBOIS | TENSOR NETWORKS FOR CONSTRAINED SYSTEMS | DELFT | 18.10.2023

Tensor networks and limits of classical frustrated Ising models

By Jeanne Colbois

Tensor networks and limits of classical frustrated Ising models

Invited talk in Delft "Workshop on tensor networks for constrained systems"

  • 434