Artificial out-of-plane Ising antiferromagnet

on the kagome lattice

with very small farther-neighbor couplings

Jeanne Colbois¹, Kevin Hofhuis² ³, Zhaochu Luo² ³, Xueqiao Wang² ³, Aleš Hrabec ² ³ , Laura J. Heyderman² ³, and Frédéric Mila¹

(1) EPF Lausanne Institute of Physics, (2) ETH Zürich Department of Materials,

(3) Paul Scherrer Institute Laboratory for Multiscale Materials experiments

Switzerland

2022 Joint MMM-Intermag Conference - Jeanne Colbois - AOA-02

2022 Joint MMM-Intermag Conference - Jeanne Colbois - AOA-02

Context

Out-of-plane systems on kagome

1

2022 Joint MMM-Intermag Conference - Jeanne Colbois - AOA-02

Context

Out-of-plane systems on kagome

1

2022 Joint MMM-Intermag Conference - Jeanne Colbois - AOA-02

Context

Out-of-plane systems on kagome

1

Zhang et al., Phys. Rev. Lett. 109, (2012)

2022 Joint MMM-Intermag Conference - Jeanne Colbois - AOA-02

Context

Essential role of farther-neighbor couplings

2

H = \sum_{(i,j)} J_{i,j} \sigma_i \sigma_j \\ J_{i,j} \propto 1/|r_i -r_j|^3

Chioar et al., Phys. Rev. B 90, (2014)

Non-universality: farther-neighbors couplings play a role in the selection of the correlations

2022 Joint MMM-Intermag Conference - Jeanne Colbois - AOA-02

Context

Chirally coupled nanomagnets

3

Luo et al., Science 363, 1435-1439 (2019)

Context

Chirally coupled nanomagnets

Pt(6 nm)/Co(1.6 nm)/Al(2 nm)

2022 Joint MMM-Intermag Conference - Jeanne Colbois - AOA-02

3

Dzyaloshinskii-Moryia interaction

  • Here : interfacial DMI

Context

Chirally coupled nanomagnets

2022 Joint MMM-Intermag Conference - Jeanne Colbois - AOA-02

Luo et al., Science 363, 1435-1439 (2019)

3

The magnetic anisotropy is controlled by the oxidization of the Co/Al interface

(the in-plane regions are protected and the out-of-plane regions are oxidized)

2022 Joint MMM-Intermag Conference - Jeanne Colbois - AOA-02

Context

Chirally coupled nanomagnets

Luo et al., Science 363, 1435-1439 (2019)

3

The magnetic anisotropy is controlled by the oxidization of the Co/Al interface

(the in-plane regions are protected and the out-of-plane regions are oxidized)

2022 Joint MMM-Intermag Conference - Jeanne Colbois - AOA-02

Context

Chirally coupled nanomagnets

Luo et al., Science 363, 1435-1439 (2019)

3

3

Result : an effective antiferromagnetic nearest-neighbour coupling for the out-of-plane (OOP) regions

 (MFM image)

2022 Joint MMM-Intermag Conference - Jeanne Colbois - AOA-02

Context

Chirally coupled nanomagnets

Luo et al., Science 363, 1435-1439 (2019)

3

2022 Joint MMM-Intermag Conference - Jeanne Colbois - AOA-02

Context

Chirally coupled nanomagnets

Luo et al., Science 363, 1435-1439 (2019)

JC, Hofhuis, Luo et al., PRB 104, 024418 (2021)

4

2022 Joint MMM-Intermag Conference - Jeanne Colbois - AOA-02

Questions

1. What would be a good effective model for these chirally coupled systems?

2. Should we expect farther-neighbor couplings to still play a role?

JC, Hofhuis, Luo et al., PRB 104, 024418 (2021)

SEM

4

2022 Joint MMM-Intermag Conference - Jeanne Colbois - AOA-02

Effective model

JC, Hofhuis, Luo et al., PRB 104, 024418 (2021)

SEM

4

OOP

IP

2022 Joint MMM-Intermag Conference - Jeanne Colbois - AOA-02

Effective model

JC, Hofhuis, Luo et al., PRB 104, 024418 (2021)

SEM

5

  • Effective model for the OOP spins on a 5-sites island

2022 Joint MMM-Intermag Conference - Jeanne Colbois - AOA-02

Effective model

JC, Hofhuis, Luo et al., PRB 104, 024418 (2021)

SEM

  • Effective model for the OOP spins on a 5-sites island
  • Systematic micromagnetic simulations assuming that the IP region takes the configuration of minimal energy

2022 Joint MMM-Intermag Conference - Jeanne Colbois - AOA-02

Effective model

5

JC, Hofhuis, Luo et al., PRB 104, 024418 (2021)

  • Effective model for the OOP spins on a 5-sites island
  • Systematic micromagnetic simulations assuming that the IP region takes the configuration of minimal energy

2022 Joint MMM-Intermag Conference - Jeanne Colbois - AOA-02

Effective model

5

JC, Hofhuis, Luo et al., PRB 104, 024418 (2021)

  • Effective model for the OOP spins on a 5-sites island
  • Systematic micromagnetic simulations assuming that the IP region takes the configuration of minimal energy
\frac{J_1}{J_1^{\text{dip}}} \cong 8.7 \pm 0.1

2022 Joint MMM-Intermag Conference - Jeanne Colbois - AOA-02

Effective model

5

JC, Hofhuis, Luo et al., PRB 104, 024418 (2021)

  • Effective model for the OOP spins on a 5-sites island
  • Systematic micromagnetic simulations assuming that the IP region takes the configuration of minimal energy
\frac{J_1}{J_1^{\text{dip}}} \cong 8.7 \pm 0.1
\frac{J_2}{J_2^{\text{dip}}} \cong 1.67 \pm 0.01
\frac{J_{3||}}{J_{3||}^{\text{dip}}} \cong 1.12 \pm 0.01

2022 Joint MMM-Intermag Conference - Jeanne Colbois - AOA-02

Effective model

5

JC, Hofhuis, Luo et al., PRB 104, 024418 (2021)

  • Effective model for the OOP spins on a 5-sites island
  • Systematic micromagnetic simulations assuming that the IP region takes the configuration of minimal energy
\frac{J_1}{J_1^{\text{dip}}} \cong 8.7 \pm 0.1
\frac{J_2}{J_2^{\text{dip}}} \cong 1.67 \pm 0.01
\frac{J_{3||}}{J_{3||}^{\text{dip}}} \cong 1.12 \pm 0.01

2022 Joint MMM-Intermag Conference - Jeanne Colbois - AOA-02

Effective model

5

Farther-neighbor to nearest-neighbor couplings ratios are much smaller than in the dipolar case!

(J2/J1 ~ 2%)

6

JC, Hofhuis, Luo et al., PRB 104, 024418 (2021)

2022 Joint MMM-Intermag Conference - Jeanne Colbois - AOA-02

Experimental results

  1. An overall up magnetization
  2. 10% to 15% of ferromagnetic triangles
  3. Short-range spin-spin correlations

20 samples

MFM

AFM

7

JC, Hofhuis, Luo et al., PRB 104, 024418 (2021)

2022 Joint MMM-Intermag Conference - Jeanne Colbois - AOA-02

Experimental results

  1. 1. An overall up magnetization (0.19)
  2. 2.10% to 15% of ferromagnetic triangles
  3. 3. Short-range spin-spin correlations

7

JC, Hofhuis, Luo et al., PRB 104, 024418 (2021)

2022 Joint MMM-Intermag Conference - Jeanne Colbois - AOA-02

Experimental results

  1. 1. An overall up magnetization (0.19)
  2. 2.10% to 15% of ferromagnetic triangles
  3. 3. Short-range spin-spin correlations

7

JC, Hofhuis, Luo et al., PRB 104, 024418 (2021)

2022 Joint MMM-Intermag Conference - Jeanne Colbois - AOA-02

Experimental results

  1. 1. An overall up magnetization (0.19)
  2. 2.10% to 15% of ferromagnetic triangles
  3. 3. Short-range spin-spin correlations

8

JC, Hofhuis, Luo et al., PRB 104, 024418 (2021)

2022 Joint MMM-Intermag Conference - Jeanne Colbois - AOA-02

Experimental results

c_k = \langle \sigma_i \sigma_j \rangle_k - \langle \sigma_i \rangle \langle \sigma_j \rangle
  1. 1. An overall up magnetization (0.19)
  2. 2.10% to 15% of ferromagnetic triangles
  3. 3. Short-range spin-spin correlations

8

JC, Hofhuis, Luo et al., PRB 104, 024418 (2021)

2022 Joint MMM-Intermag Conference - Jeanne Colbois - AOA-02

Experimental results

c_k = \langle \sigma_i \sigma_j \rangle_k - \langle \sigma_i \rangle \langle \sigma_j \rangle
|c_1| > c_{3||} \gtrsim 2c_2
  1. 1. An overall up magnetization (0.19)
  2. 2.10% to 15% of ferromagnetic triangles
  3. 3. Short-range spin-spin correlations

9

JC, Hofhuis, Luo et al., PRB 104, 024418 (2021)

2022 Joint MMM-Intermag Conference - Jeanne Colbois - AOA-02

Experimental results

c_k = \langle \sigma_i \sigma_j \rangle_k - \langle \sigma_i \rangle \langle \sigma_j \rangle
|c_1| > c_{3||} \gtrsim 2c_2

1. The effective model does not fully explain all three results at once.

  1. 1. An overall up magnetization (0.19)
  2. 2.10% to 15% of ferromagnetic triangles
  3. 3. Short-range spin-spin correlations

9

JC, Hofhuis, Luo et al., PRB 104, 024418 (2021)

2022 Joint MMM-Intermag Conference - Jeanne Colbois - AOA-02

Experimental results

c_k = \langle \sigma_i \sigma_j \rangle_k - \langle \sigma_i \rangle \langle \sigma_j \rangle
|c_1| > c_{3||} \gtrsim 2c_2

1. The effective model does not fully explain all three results at once.

2. It does tell us about the role of farther-neighbor couplings.

  1. 1. An overall up magnetization (0.19)
  2. 2.10% to 15% of ferromagnetic triangles
  3. 3. Short-range spin-spin correlations

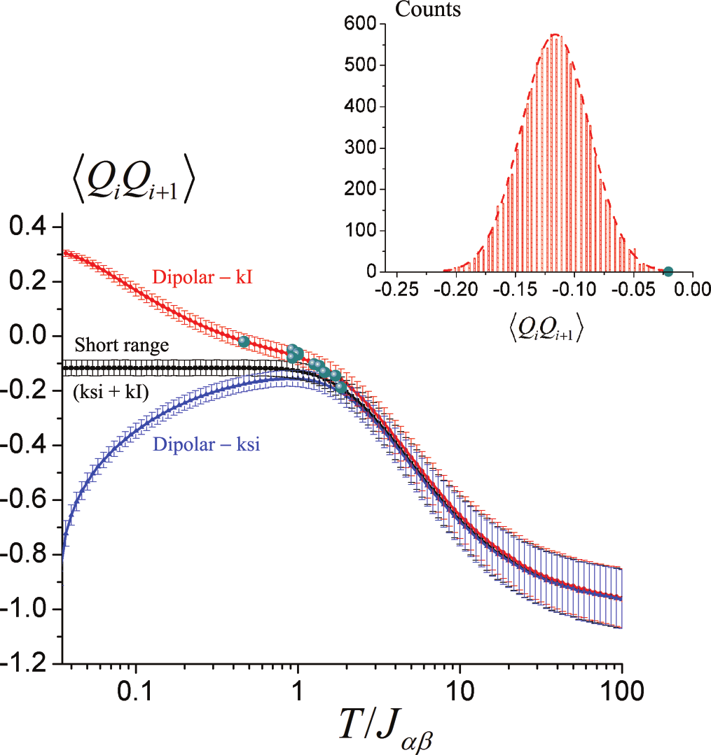
Discussion of the numerical results

Nearest-neighbor model

2022 Joint MMM-Intermag Conference - Jeanne Colbois - AOA-02

10

JC, Hofhuis, Luo et al., PRB 104, 024418 (2021)

See also: Sejman, Zukovic, Acta Phys. Pol. A 137, 622 (2020)

Loh, Yao, Carlson, Phys. Rev. B 77, 134402 (2008)

Li et al., Phys. Rev. B 82, 134434 (2010)

Zero field

Barry and Khatun, Int. J. Mod. Phys. B 11, 93 (1997)

Discussion of the numerical results

Nearest-neighbor model

2022 Joint MMM-Intermag Conference - Jeanne Colbois - AOA-02

10

JC, Hofhuis, Luo et al., PRB 104, 024418 (2021)

See also: Sejman, Zukovic, Acta Phys. Pol. A 137, 622 (2020)

Loh, Yao, Carlson, Phys. Rev. B 77, 134402 (2008)

Li et al., Phys. Rev. B 82, 134434 (2010)

Zero field

~Effective temperature

Discussion of the numerical results

Nearest-neighbor model

2022 Joint MMM-Intermag Conference - Jeanne Colbois - AOA-02

10

JC, Hofhuis, Luo et al., PRB 104, 024418 (2021)

See also: Sejman, Zukovic, Acta Phys. Pol. A 137, 622 (2020)

Loh, Yao, Carlson, Phys. Rev. B 77, 134402 (2008)

Li et al., Phys. Rev. B 82, 134434 (2010)

Zero field

Inversion in the order of the correlations between theory and experiment

~Effective temperature

11

Discussion of the numerical results

The role of next-nearest-neighbor couplings

2022 Joint MMM-Intermag Conference - Jeanne Colbois - AOA-02

JC, Hofhuis, Luo et al., PRB 104, 024418 (2021)

See also: Takagi, Mekata, J.Phys. Soc. Jpn. 62, 3943 (1993)

Wills, Ballou, Lacroix, PRB 66, 144407 (2002)

Chern, Tchernyshyov, P. Trans. R. Soc. A 370, 5718 (2012)

Hamp , Castelnovo, Moessner, PRB 98 (2018)

11

Discussion of the numerical results

The role of next-nearest-neighbor couplings

2022 Joint MMM-Intermag Conference - Jeanne Colbois - AOA-02

JC, Hofhuis, Luo et al., PRB 104, 024418 (2021)

See also: Takagi, Mekata, J.Phys. Soc. Jpn. 62, 3943 (1993)

Wills, Ballou, Lacroix, PRB 66, 144407 (2002)

Chern, Tchernyshyov, P. Trans. R. Soc. A 370, 5718 (2012)

Hamp , Castelnovo, Moessner, PRB 98 (2018)

11

Discussion of the numerical results

The role of next-nearest-neighbor couplings

2022 Joint MMM-Intermag Conference - Jeanne Colbois - AOA-02

Partial lifting of the g.s. degeneracy

JC, Hofhuis, Luo et al., PRB 104, 024418 (2021)

See also: Takagi, Mekata, J.Phys. Soc. Jpn. 62, 3943 (1993)

Wills, Ballou, Lacroix, PRB 66, 144407 (2002)

Chern, Tchernyshyov, P. Trans. R. Soc. A 370, 5718 (2012)

Hamp , Castelnovo, Moessner, PRB 98 (2018)

NN g.s. physics?

11

Discussion of the numerical results

The role of next-nearest-neighbor couplings

2022 Joint MMM-Intermag Conference - Jeanne Colbois - AOA-02

JC, Hofhuis, Luo et al., PRB 104, 024418 (2021)

See also: Takagi, Mekata, J.Phys. Soc. Jpn. 62, 3943 (1993)

Wills, Ballou, Lacroix, PRB 66, 144407 (2002)

Chern, Tchernyshyov, P. Trans. R. Soc. A 370, 5718 (2012)

Hamp , Castelnovo, Moessner, PRB 98 (2018)

12

JC, Hofhuis, Luo et al., PRB 104, 024418 (2021)

Discussion of the numerical results

The role of next-nearest-neighbor couplings

2022 Joint MMM-Intermag Conference - Jeanne Colbois - AOA-02

JC, Hofhuis, Luo et al., PRB 104, 024418 (2021)

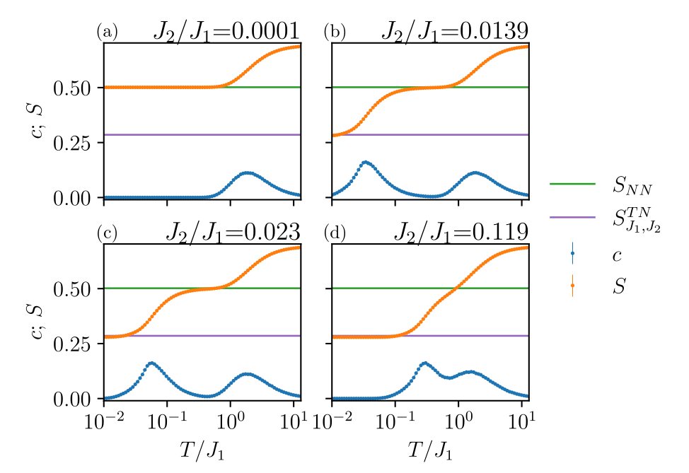
Discussion of the numerical results

The role of next-nearest-neighbor couplings

2022 Joint MMM-Intermag Conference - Jeanne Colbois - AOA-02

12

JC, Hofhuis, Luo et al., PRB 104, 024418 (2021)

Discussion of the numerical results

The role of next-nearest-neighbor couplings

2022 Joint MMM-Intermag Conference - Jeanne Colbois - AOA-02

12

13

JC, Hofhuis, Luo et al., PRB 104, 024418 (2021)

Discussion of the numerical results

The role of next-nearest-neighbor couplings

2022 Joint MMM-Intermag Conference - Jeanne Colbois - AOA-02

The spin-spin correlations are in the same order as in the experiment

13

JC, Hofhuis, Luo et al., PRB 104, 024418 (2021)

Discussion of the numerical results

The role of next-nearest-neighbor couplings

2022 Joint MMM-Intermag Conference - Jeanne Colbois - AOA-02

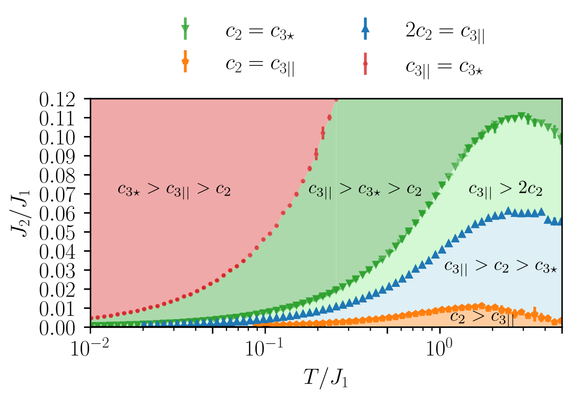
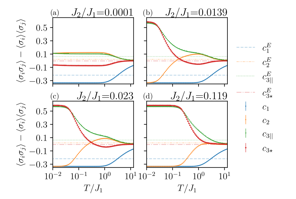
If                     ,

the correlations at finite temperatures are significantly impacted.

J_2 \gtrsim 1 \% J_1

14

Discussion of the numerical results

Teaser: the role of third-neighbor couplings and the field

2022 Joint MMM-Intermag Conference - Jeanne Colbois - AOA-02

14

Discussion of the numerical results

Teaser: the role of third-neighbor couplings and the field

2022 Joint MMM-Intermag Conference - Jeanne Colbois - AOA-02

14

J_1, J_2 \text{ model }

Discussion of the numerical results

Teaser: the role of third-neighbor couplings and the field

2022 Joint MMM-Intermag Conference - Jeanne Colbois - AOA-02

15

JC, Hofhuis, Luo et al., PRB 104, 024418 (2021)

The ground state still has a macroscopic degeneracy!

Discussion of the numerical results

Teaser: the role of third-neighbor couplings and the field

2022 Joint MMM-Intermag Conference - Jeanne Colbois - AOA-02

16

Discussion of the numerical results

Teaser: the role of third-neighbor couplings and the field

More about this in

2022 Joint MMM-Intermag Conference - Jeanne Colbois - AOA-02

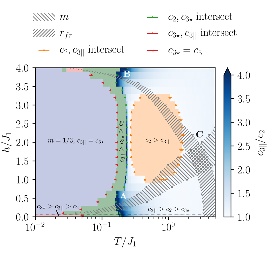
  • Taking into account the magnetization and the first few correlations
  • Finding three regions of interest

17

2022 Joint MMM-Intermag Conference - Jeanne Colbois - AOA-02

Conclusions and outlook

2022 Joint MMM-Intermag Conference - Jeanne Colbois - AOA-02

Conclusions and outlook

Chirally coupled nanomagnets

very strong NN interactions

Farther-neighbor couplings cannot be neglected

17

18

2022 Joint MMM-Intermag Conference - Jeanne Colbois - AOA-02

Conclusions and outlook

Chirally coupled nanomagnets

very strong NN interactions

Farther-neighbor couplings cannot be neglected

  • Long-range effective model?
  • Role of disorder in the couplings?
  • Observing the IP configurations to validate the effective model?
  • Design with a triangular hole to reduce the farther-neighbor couplings?

Theory

Experiment

Acknowledgments

Kevin Hofhuis

Zhaochu Luo, Ales Hrabec, Xueqiao Wang, Laura Heyderman, Frédéric Mila

Thank you for your attention!

Bram Vanhecke, Laurens Vanderstraeten, Andrew Smerald, Frank Verstraete, Patrick Emonts, Mithilesh Nayak, Natalia Chepiga

And the Centro de ciencias de Benasque Pedro Pascual

Discussions:

Collaborators:

2022 Joint MMM-Intermag Conference - Jeanne Colbois - AOA-02

2022 Joint MMM-Intermag Conference - Jeanne Colbois - AOA-02

Context

Out-of-plane systems on kagome

H = \sum_{(i,j)} J_{i,j} \sigma_i \sigma_j \\ J_{i,j} \propto 1/|r_i -r_j|^3

Chioar et al., Phys. Rev. B 90, (2014)

Chioar et al., Phys. Rev. B 90, (2014)

2

Artificial Out-of-Plane Ising Antiferromagnet on the Kagome Lattice with Very Small Farther-Neighbour Couplings

By Jeanne Colbois

Artificial Out-of-Plane Ising Antiferromagnet on the Kagome Lattice with Very Small Farther-Neighbour Couplings

Contributed talk at the Joint MMM -Intermag Conference 2022

  • 374