Artificial out-of-plane Ising antiferromagnet

on the kagome lattice

with very small farther-neighbor couplings

Jeanne Colbois¹, Kevin Hofhuis² ³, Zhaochu Luo² ³, Xueqiao Wang² ³, Aleš Hrabec ² ³ , Laura J. Heyderman² ³, and Frédéric Mila¹

(1) EPF Lausanne Institute of Physics, (2) ETH Zürich Department of Materials, (3) Paul Scherrer Institute Laboratory for Multiscale Materials experiments

Switzerland

OASIS session 7 - 23.08.2021 - Jeanne Colbois

OASIS session 7 - 23.08.2021 - Jeanne Colbois

Motivation

OASIS session 7 - 23.08.2021 - Jeanne Colbois

Chioar et al., Phys. Rev. B 90, (2014)

1

Motivation

  • Artificial spin systems can be (surprisingly) well modeled by Ising Hamiltonians

OASIS session 7 - 23.08.2021 - Jeanne Colbois

Chioar et al., Phys. Rev. B 90, (2014)

1

Motivation

  • Artificial spin systems can be (surprisingly) well modeled by Ising Hamiltonians

OASIS session 7 - 23.08.2021 - Jeanne Colbois

Chioar et al., Phys. Rev. B 90, (2014)

H = \sum_{(i,j)} J_{i,j} \sigma_i \sigma_j \\ J_{i,j} \propto 1/|r_i -r_j|^3

1

Motivation

  • Artificial spin systems can be (surprisingly) well modeled by Ising Hamiltonians
  • The resulting models are of intrinsic interest

OASIS session 7 - 23.08.2021 - Jeanne Colbois

Chioar et al., Phys. Rev. B 90, (2014)

H = \sum_{(i,j)} J_{i,j} \sigma_i \sigma_j \\ J_{i,j} \propto 1/|r_i -r_j|^3

Hamp et al., Phys. Rev. B 98, (2018)

1

Motivation

  • Artificial spin systems can be (surprisingly) well modeled by Ising Hamiltonians
  • The resulting models are of intrinsic interest
  • There has been increased interest in the possibility of tuning couplings

OASIS session 7 - 23.08.2021 - Jeanne Colbois

2

Motivation

with a magnetic underlayer (Kempinger et al., arXiv:2104.00126)

  • Artificial spin systems can be (surprisingly) well modeled by Ising Hamiltonians
  • The resulting models are of intrinsic interest
  • There has been increased interest in the possibility of tuning couplings

OASIS session 7 - 23.08.2021 - Jeanne Colbois

with a magnetic underlayer (Kempinger et al., arXiv:2104.00126)

With chirally coupled nanomagnets

Luo et al., Science 363, 1435-1439 (2019)

2

Motivation

  • Artificial spin systems can be (surprisingly) well modeled by Ising Hamiltonians
  • The resulting models are of intrinsic interest
  • There has been increased interest in the possibility of tuning couplings

OASIS session 7 - 23.08.2021 - Jeanne Colbois

with a magnetic underlayer (Kempinger et al., arXiv:2104.00126)

With chirally coupled nanomagnets

Luo et al., Science 363, 1435-1439 (2019)

Motivation

2

OASIS session 7 - 23.08.2021 - Jeanne Colbois

Chirally coupled nanomagnets

OASIS session 7 - 23.08.2021 - Jeanne Colbois

Luo et al., Science 363, 1435-1439 (2019)

Chirally coupled nanomagnets...

3

Pt(6 nm)/Co(1.6 nm)/Al(2 nm)

OASIS session 7 - 23.08.2021 - Jeanne Colbois

Dzyaloshinskii-Moryia interaction

  • Here : interfacial DMI

3

Chirally coupled nanomagnets...

Luo et al., Science 363, 1435-1439 (2019)

Pt(6 nm)/Co(1.6 nm)/Al(2 nm)

OASIS session 7 - 23.08.2021 - Jeanne Colbois

3

Chirally coupled nanomagnets...

Luo et al., Science 363, 1435-1439 (2019)

Pt(6 nm)/Co(1.6 nm)/Al(2 nm)

The magnetic anisotropy is controlled by the oxidization of the Co/Al interface

(the in-plane regions are protected and the out-of-plane regions are oxidized)

OASIS session 7 - 23.08.2021 - Jeanne Colbois

The magnetic anisotropy is controlled by the oxidization of the Co/Al interface

(the in-plane regions are protected and the out-of-plane regions are oxidized)

3

Chirally coupled nanomagnets...

Luo et al., Science 363, 1435-1439 (2019)

Pt(6 nm)/Co(1.6 nm)/Al(2 nm)

OASIS session 7 - 23.08.2021 - Jeanne Colbois

3

Chirally coupled nanomagnets...

Luo et al., Science 363, 1435-1439 (2019)

Pt(6 nm)/Co(1.6 nm)/Al(2 nm)

Result : an effective antiferromagnetic nearest neighbour coupling for the out-of-plane (OOP) regions

 (MFM image)

OASIS session 7 - 23.08.2021 - Jeanne Colbois

... on the kagome lattice...

Chirally coupled nanomagnets...

4

Luo et al., Science 363, 1435-1439 (2019)

OASIS session 7 - 23.08.2021 - Jeanne Colbois

Effective model

OASIS session 7 - 23.08.2021 - Jeanne Colbois

... interaction strengths

JC, Hofhuis, Luo et al., PRB 104, 024418 (2021)

5

Chirally coupled nanomagnets...

OASIS session 7 - 23.08.2021 - Jeanne Colbois

... interaction strengths

JC, Hofhuis, Luo et al., PRB 104, 024418 (2021)

SEM

5

Chirally coupled nanomagnets...

OASIS session 7 - 23.08.2021 - Jeanne Colbois

... interaction strengths

JC, Hofhuis, Luo et al., PRB 104, 024418 (2021)

SEM

5

Chirally coupled nanomagnets...

OOP

IP

OASIS session 7 - 23.08.2021 - Jeanne Colbois

... interaction strengths

JC, Hofhuis, Luo et al., PRB 104, 024418 (2021)

SEM

5

Chirally coupled nanomagnets...

It is far from obvious what the long-range effective model should be!

OOP

IP

OASIS session 7 - 23.08.2021 - Jeanne Colbois

... interaction strengths

JC, Hofhuis, Luo et al., PRB 104, 024418 (2021)

SEM

6

Chirally coupled nanomagnets...

  • Effective model for the OOP spins on a 5-sites island

OASIS session 7 - 23.08.2021 - Jeanne Colbois

... interaction strengths

JC, Hofhuis, Luo et al., PRB 104, 024418 (2021)

SEM

  • Effective model for the OOP spins on a 5-sites island
  • Systematic micromagnetic simulations assuming that the IP region takes the configuration of minimal energy

Chirally coupled nanomagnets...

6

OASIS session 7 - 23.08.2021 - Jeanne Colbois

... interaction strengths

JC, Hofhuis, Luo et al., PRB 104, 024418 (2021)

  • Effective model for the OOP spins on a 5-sites island
  • Systematic micromagnetic simulations assuming that the IP region takes the configuration of minimal energy

Chirally coupled nanomagnets...

6

OASIS session 7 - 23.08.2021 - Jeanne Colbois

... interaction strengths

JC, Hofhuis, Luo et al., PRB 104, 024418 (2021)

  • Effective model for the OOP spins on a 5-sites island
  • Systematic micromagnetic simulations assuming that the IP region takes the configuration of minimal energy

Chirally coupled nanomagnets...

\frac{J_1}{J_1^{\text{dip}}} \cong 8.7 \pm 0.1

6

OASIS session 7 - 23.08.2021 - Jeanne Colbois

... interaction strengths

JC, Hofhuis, Luo et al., PRB 104, 024418 (2021)

  • Effective model for the OOP spins on a 5-sites island
  • Systematic micromagnetic simulations assuming that the IP region takes the configuration of minimal energy

Chirally coupled nanomagnets...

\frac{J_1}{J_1^{\text{dip}}} \cong 8.7 \pm 0.1
\frac{J_2}{J_2^{\text{dip}}} \cong 1.67 \pm 0.01

6

OASIS session 7 - 23.08.2021 - Jeanne Colbois

... interaction strengths

JC, Hofhuis, Luo et al., PRB 104, 024418 (2021)

Chirally coupled nanomagnets...

  • Effective model for the OOP spins on a 5-sites island
  • Systematic micromagnetic simulations assuming that the IP region takes the configuration of minimal energy
\frac{J_1}{J_1^{\text{dip}}} \cong 8.7 \pm 0.1
\frac{J_2}{J_2^{\text{dip}}} \cong 1.67 \pm 0.01
\frac{J_{3||}}{J_{3||}^{\text{dip}}} \cong 1.12 \pm 0.01

6

OASIS session 7 - 23.08.2021 - Jeanne Colbois

... interaction strengths

JC, Hofhuis, Luo et al., PRB 104, 024418 (2021)

Chirally coupled nanomagnets...

7

OASIS session 7 - 23.08.2021 - Jeanne Colbois

... interaction strengths

JC, Hofhuis, Luo et al., PRB 104, 024418 (2021)

Chirally coupled nanomagnets...

7

OASIS session 7 - 23.08.2021 - Jeanne Colbois

... interaction strengths

JC, Hofhuis, Luo et al., PRB 104, 024418 (2021)

Chirally coupled nanomagnets...

7

OASIS session 7 - 23.08.2021 - Jeanne Colbois

... interaction strengths

JC, Hofhuis, Luo et al., PRB 104, 024418 (2021)

Chirally coupled nanomagnets...

Farther-neighbor to nearest-neighbor couplings ratios are much smaller than in the dipolar case!

7

OASIS session 7 - 23.08.2021 - Jeanne Colbois

... Results.

JC, Hofhuis, Luo et al., PRB 104, 024418 (2021)

Chirally coupled nanomagnets...

8

MFM

AFM

OASIS session 7 - 23.08.2021 - Jeanne Colbois

... Results.

JC, Hofhuis, Luo et al., PRB 104, 024418 (2021)

Chirally coupled nanomagnets...

MFM

x 20

8

OASIS session 7 - 23.08.2021 - Jeanne Colbois

  • An overall up magnetization : criterion 1
  • 10% to 15% of ferromagnetic triangles (not respecting the 2-up 1-down, 2-down 1-up rule) : criterion 2

... Results.

Chirally coupled nanomagnets...

9

JC, Hofhuis, Luo et al., PRB 104, 024418 (2021)

m = 0.19 \pm 0.05

OASIS session 7 - 23.08.2021 - Jeanne Colbois

... Results.

Chirally coupled nanomagnets...

9

JC, Hofhuis, Luo et al., PRB 104, 024418 (2021)

  • An overall up magnetization : criterion 1
  • 10% to 15% of ferromagnetic triangles (not respecting the 2-up 1-down, 2-down 1-up rule) : criterion 2

OASIS session 7 - 23.08.2021 - Jeanne Colbois

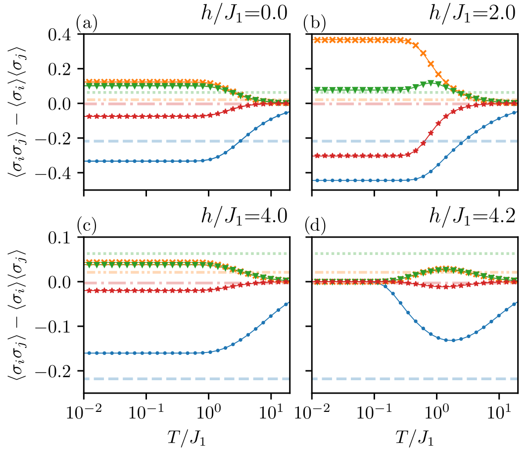
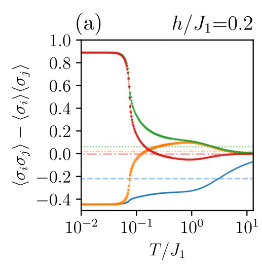
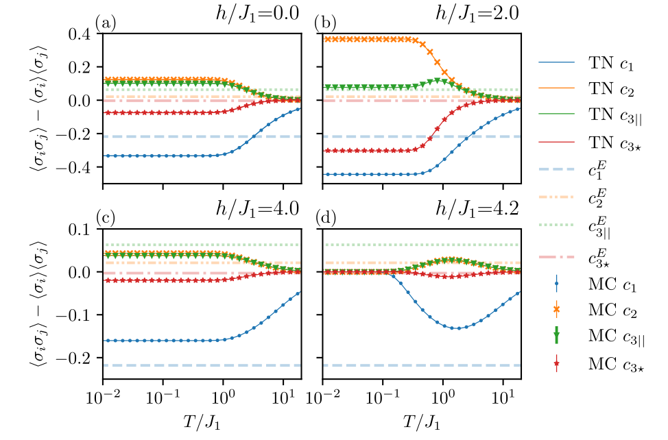
Short-range spin-spin correlations

... Results.

Chirally coupled nanomagnets...

JC, Hofhuis, Luo et al., PRB 104, 024418 (2021)

9

OASIS session 7 - 23.08.2021 - Jeanne Colbois

Short-range spin-spin correlations

... Results.

Chirally coupled nanomagnets...

JC, Hofhuis, Luo et al., PRB 104, 024418 (2021)

c_k = \langle \sigma_i \sigma_j \rangle_k - \langle \sigma_i \rangle \langle \sigma_j \rangle

9

OASIS session 7 - 23.08.2021 - Jeanne Colbois

Short-range spin-spin correlations

... Results.

Chirally coupled nanomagnets...

JC, Hofhuis, Luo et al., PRB 104, 024418 (2021)

9

OASIS session 7 - 23.08.2021 - Jeanne Colbois

Short-range spin-spin correlations

|c_1| > c_{3||} \gtrsim 2c_2

... Results.

Chirally coupled nanomagnets...

JC, Hofhuis, Luo et al., PRB 104, 024418 (2021)

9

OASIS session 7 - 23.08.2021 - Jeanne Colbois

Short-range spin-spin correlations

|c_1| > c_{3||} \gtrsim 2c_2

... Results.

Chirally coupled nanomagnets...

9

JC, Hofhuis, Luo et al., PRB 104, 024418 (2021)

criterion 3

OASIS session 7 - 23.08.2021 - Jeanne Colbois

Can our effective model describe these results?

OASIS session 7 - 23.08.2021 - Jeanne Colbois

Can our effective model describe these results?

Not really...

OASIS session 7 - 23.08.2021 - Jeanne Colbois

Can our effective model describe these results?

Not really...

... but we can learn a lot about the impact of the couplings on the correlations

OASIS session 7 - 23.08.2021 - Jeanne Colbois

Towards the J1-J2-J3||-h model

Monte Carlo : Rakala, Damle, PRE 96 (2017)

 Tensor Networks : Vanhecke, JC, et al. PRR 3 (2021)

OASIS session 7 - 23.08.2021 - Jeanne Colbois

10

1. The nearest-neighbor model in a field

JC, Hofhuis, Luo et al., PRB 104, 024418 (2021)

See also: Sejman, Zukovic, Acta Phys. Pol. A 137, 622 (2020)

Loh, Yao, Carlson, Phys. Rev. B 77, 134402 (2008)

Li et al., Phys. Rev. B 82, 134434 (2010)

OASIS session 7 - 23.08.2021 - Jeanne Colbois

10

1. The nearest-neighbor model in a field

JC, Hofhuis, Luo et al., PRB 104, 024418 (2021)

See also: Sejman, Zukovic, Acta Phys. Pol. A 137, 622 (2020)

Loh, Yao, Carlson, Phys. Rev. B 77, 134402 (2008)

Li et al., Phys. Rev. B 82, 134434 (2010)

OASIS session 7 - 23.08.2021 - Jeanne Colbois

10

NN

2-up 1-down, 2-down 1-up rule

m = 0

1. The nearest-neighbor model in a field

JC, Hofhuis, Luo et al., PRB 104, 024418 (2021)

See also: Sejman, Zukovic, Acta Phys. Pol. A 137, 622 (2020)

Loh, Yao, Carlson, Phys. Rev. B 77, 134402 (2008)

Li et al., Phys. Rev. B 82, 134434 (2010)

S = 0.501833...

Kano, Naya, Prog. Theor. Phys.  10, 158 (1953)

OASIS session 7 - 23.08.2021 - Jeanne Colbois

10

NN

2-up 1-down rule

Moessner, Sondhi

PRB 63, 224401 (2001)

m = 1/3, S = S_{\text{TLIAF}}

JC, Hofhuis, Luo et al., PRB 104, 024418 (2021)

See also: Sejman, Zukovic, Acta Phys. Pol. A 137, 622 (2020)

Loh, Yao, Carlson, Phys. Rev. B 77, 134402 (2008)

Li et al., Phys. Rev. B 82, 134434 (2010)

1. The nearest-neighbor model in a field

m = 1/3, S = S_{\text{TLIAF}}

OASIS session 7 - 23.08.2021 - Jeanne Colbois

10

m = 0.59966(2)

First-order PT

1. The nearest-neighbor model in a field

JC, Hofhuis, Luo et al., PRB 104, 024418 (2021)

See also: Sejman, Zukovic, Acta Phys. Pol. A 137, 622 (2020)

Loh, Yao, Carlson, Phys. Rev. B 77, 134402 (2008)

Li et al., Phys. Rev. B 82, 134434 (2010)

OASIS session 7 - 23.08.2021 - Jeanne Colbois

10

m = 1

1. The nearest-neighbor model in a field

JC, Hofhuis, Luo et al., PRB 104, 024418 (2021)

See also: Sejman, Zukovic, Acta Phys. Pol. A 137, 622 (2020)

Loh, Yao, Carlson, Phys. Rev. B 77, 134402 (2008)

Li et al., Phys. Rev. B 82, 134434 (2010)

OASIS session 7 - 23.08.2021 - Jeanne Colbois

10

1. The nearest-neighbor model in a field

JC, Hofhuis, Luo et al., PRB 104, 024418 (2021)

See also: Sejman, Zukovic, Acta Phys. Pol. A 137, 622 (2020)

Loh, Yao, Carlson, Phys. Rev. B 77, 134402 (2008)

Li et al., Phys. Rev. B 82, 134434 (2010)

OASIS session 7 - 23.08.2021 - Jeanne Colbois

10

1. The nearest-neighbor model in a field

JC, Hofhuis, Luo et al., PRB 104, 024418 (2021)

See also: Sejman, Zukovic, Acta Phys. Pol. A 137, 622 (2020)

Loh, Yao, Carlson, Phys. Rev. B 77, 134402 (2008)

Li et al., Phys. Rev. B 82, 134434 (2010)

OASIS session 7 - 23.08.2021 - Jeanne Colbois

10

1. The nearest-neighbor model in a field

JC, Hofhuis, Luo et al., PRB 104, 024418 (2021)

See also: Sejman, Zukovic, Acta Phys. Pol. A 137, 622 (2020)

Loh, Yao, Carlson, Phys. Rev. B 77, 134402 (2008)

Li et al., Phys. Rev. B 82, 134434 (2010)

OASIS session 7 - 23.08.2021 - Jeanne Colbois

10

1. The nearest-neighbor model in a field

JC, Hofhuis, Luo et al., PRB 104, 024418 (2021)

See also: Sejman, Zukovic, Acta Phys. Pol. A 137, 622 (2020)

Loh, Yao, Carlson, Phys. Rev. B 77, 134402 (2008)

Li et al., Phys. Rev. B 82, 134434 (2010)

OASIS session 7 - 23.08.2021 - Jeanne Colbois

11

2. The next-nearest neighbor model

JC, Hofhuis, Luo et al., PRB 104, 024418 (2021)

See also: Takagi, Mekata, J.Phys. Soc. Jpn. 62, 3943 (1993)

Wills, Ballou, Lacroix, PRB 66, 144407 (2002)

Chern, Tchernyshyov, P. Trans. R. Soc. A 370, 5718 (2012)

OASIS session 7 - 23.08.2021 - Jeanne Colbois

2. The next-nearest neighbor model

JC, Hofhuis, Luo et al., PRB 104, 024418 (2021)

See also: Takagi, Mekata, J.Phys. Soc. Jpn. 62, 3943 (1993)

Wills, Ballou, Lacroix, PRB 66, 144407 (2002)

Chern, Tchernyshyov, P. Trans. R. Soc. A 370, 5718 (2012)

11

OASIS session 7 - 23.08.2021 - Jeanne Colbois

2. The next-nearest neighbor model

JC, Hofhuis, Luo et al., PRB 104, 024418 (2021)

See also: Takagi, Mekata, J.Phys. Soc. Jpn. 62, 3943 (1993)

Wills, Ballou, Lacroix, PRB 66, 144407 (2002)

Chern, Tchernyshyov, P. Trans. R. Soc. A 370, 5718 (2012)

11

OASIS session 7 - 23.08.2021 - Jeanne Colbois

NN g.s. physics?

2. The next-nearest neighbor model

JC, Hofhuis, Luo et al., PRB 104, 024418 (2021)

See also: Takagi, Mekata, J.Phys. Soc. Jpn. 62, 3943 (1993)

Wills, Ballou, Lacroix, PRB 66, 144407 (2002)

Chern, Tchernyshyov, P. Trans. R. Soc. A 370, 5718 (2012)

11

OASIS session 7 - 23.08.2021 - Jeanne Colbois

2. The next-nearest neighbor model

JC, Hofhuis, Luo et al., PRB 104, 024418 (2021)

12

OASIS session 7 - 23.08.2021 - Jeanne Colbois

In the g.s. the selected correlations are very different from the nearest neighbor model (J2 ice rule)

12

2. The next-nearest neighbor model

JC, Hofhuis, Luo et al., PRB 104, 024418 (2021)

OASIS session 7 - 23.08.2021 - Jeanne Colbois

But if J2 is small enough the temperature can restore the correlations from the NN ground state

12

2. The next-nearest neighbor model

JC, Hofhuis, Luo et al., PRB 104, 024418 (2021)

OASIS session 7 - 23.08.2021 - Jeanne Colbois

12

However, not for J2 > 1%J1

2. The next-nearest neighbor model

JC, Hofhuis, Luo et al., PRB 104, 024418 (2021)

OASIS session 7 - 23.08.2021 - Jeanne Colbois

13

JC, Hofhuis, Luo et al., PRB 104, 024418 (2021)

2. The next-nearest neighbor model

OASIS session 7 - 23.08.2021 - Jeanne Colbois

13

JC, Hofhuis, Luo et al., PRB 104, 024418 (2021)

2. The next-nearest neighbor model

OASIS session 7 - 23.08.2021 - Jeanne Colbois

13

JC, Hofhuis, Luo et al., PRB 104, 024418 (2021)

2. The next-nearest neighbor model

OASIS session 7 - 23.08.2021 - Jeanne Colbois

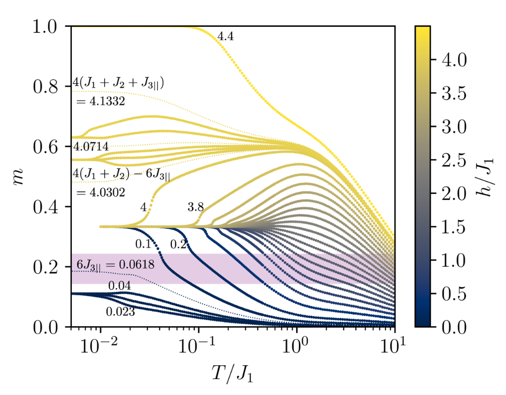
3. Magnetization plateaus in the ground state

of the J1-J2-J3|| model in a field

14

OASIS session 7 - 23.08.2021 - Jeanne Colbois

14

3. Magnetization plateaus in the ground state

of the J1-J2-J3|| model in a field

OASIS session 7 - 23.08.2021 - Jeanne Colbois

14

J_1, J_2 \text{ model }

3. Magnetization plateaus in the ground state

of the J1-J2-J3|| model in a field

OASIS session 7 - 23.08.2021 - Jeanne Colbois

14

3. Magnetization plateaus in the ground state

of the J1-J2-J3|| model in a field

Stripe long-range order

m = 1

JC, Hofhuis, Luo et al., PRB 104, 024418 (2021)

OASIS session 7 - 23.08.2021 - Jeanne Colbois

15

3. Magnetization plateaus in the ground state

of the J1-J2-J3|| model in a field

JC, Hofhuis, Luo et al., PRB 104, 024418 (2021)

The ground state still has a macroscopic degeneracy!

OASIS session 7 - 23.08.2021 - Jeanne Colbois

18

JC, Hofhuis, Luo et al., PRB 104, 024418 (2021)

\text{Magnetization plateaus at } J_{3||} < J_2

3. Magnetization plateaus in the ground state

of the J1-J2-J3|| model in a field

Tokushuku, Mizoguchi, Udagawa, J. Phys. Soc. Jpn. 89, 053708, (2020)

m = 1/3, S = S_{\text{TLIAF}}/3
m = 17/27, S \geq \frac{1}{27} \ln (3)
m = 1/9, S \cong 0.12
m = 5/9, S \geq \frac{1}{27} \ln (2)
m = 1

OASIS session 7 - 23.08.2021 - Jeanne Colbois

Can our effective model describe the experimental results?

OASIS session 7 - 23.08.2021 - Jeanne Colbois

Can our effective model describe the experimental results?

J_1 - J_2 -J_{3||}

from micromagnetics

+ a magnetic field to account for the magnetization

Results

19

OASIS session 7 - 23.08.2021 - Jeanne Colbois

OASIS session 7 - 23.08.2021 - Jeanne Colbois

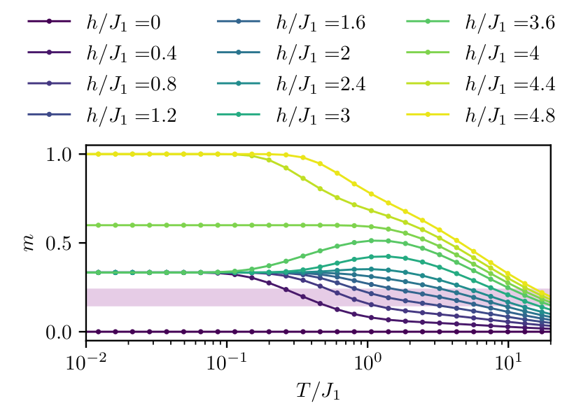
We recover our magnetization plateaus in the ground state

Results

19

OASIS session 7 - 23.08.2021 - Jeanne Colbois

We recover a similar behaviour as in the J1 model w.r.t. the plateau

Results

19

OASIS session 7 - 23.08.2021 - Jeanne Colbois

Results

19

Region of fields and temperatures where the experimental magnetization matches the numerical results

OASIS session 7 - 23.08.2021 - Jeanne Colbois

Comparison in field and temperature

20

J_1 - J_2 -J_{3||}

from micromagnetics

OASIS session 7 - 23.08.2021 - Jeanne Colbois

1. Overall magnetization

 

Comparison in field and temperature

20

J_1 - J_2 -J_{3||}

from micromagnetics

OASIS session 7 - 23.08.2021 - Jeanne Colbois

1. Overall magnetization

2. Ratio of ferromagnetic triangles

Comparison in field and temperature

20

J_1 - J_2 -J_{3||}

from micromagnetics

OASIS session 7 - 23.08.2021 - Jeanne Colbois

1. Overall magnetization

2. Ratio of ferromagnetic triangles

3. Order of the farther-neighbour correlations

Comparison in field and temperature

21

J_1 - J_2 -J_{3||}

from micromagnetics

OASIS session 7 - 23.08.2021 - Jeanne Colbois

1. Overall magnetization

2. Ratio of ferromagnetic triangles

3. Order of the farther-neighbour correlations

Comparison in field and temperature

21

We recover our magnetization plateaus in the ground state

J_1 - J_2 -J_{3||}

from micromagnetics

OASIS session 7 - 23.08.2021 - Jeanne Colbois

1. Overall magnetization

2. Ratio of ferromagnetic triangles

3. Order of the farther-neighbour correlations

Comparison in field and temperature

21

J_1 - J_2 -J_{3||}

from micromagnetics

OASIS session 7 - 23.08.2021 - Jeanne Colbois

1. Overall magnetization

2. Ratio of ferromagnetic triangles

3. Order of the farther-neighbour correlations

Comparison in field and temperature

21

J_1 - J_2 -J_{3||}

from micromagnetics

OASIS session 7 - 23.08.2021 - Jeanne Colbois

1. Overall magnetization

2. Ratio of ferromagnetic triangles

3. Order of the farther-neighbor correlations

Comparison in field and temperature

22

OASIS session 7 - 23.08.2021 - Jeanne Colbois

1. Overall magnetization

2. Ratio of ferromagnetic triangles

3. Order of the farther-neighbor correlations

Comparison in field and temperature

22

OASIS session 7 - 23.08.2021 - Jeanne Colbois

1. Overall magnetization

2. Ratio of ferromagnetic triangles

3. Order of the farther-neighbor correlations

Comparison in field and temperature

23

OASIS session 7 - 23.08.2021 - Jeanne Colbois

1. Overall magnetization

2. Ratio of ferromagnetic triangles

3. Order of the farther-neighbor correlations

Comparison in field and temperature

24

OASIS session 7 - 23.08.2021 - Jeanne Colbois

Conclusions

25

  • Chirally coupled nanomagnets create very strong nearest-neighbor antiferromagnetic couplings

OASIS session 7 - 23.08.2021 - Jeanne Colbois

Conclusions

25

  • Chirally coupled nanomagnets create very strong nearest-neighbor antiferromagnetic couplings
  • Yet farther-neighbor couplings cannot be neglected even at finite temperature and even when they are as small as 2% of the nearest-neighbor couplings

 

 

OASIS session 7 - 23.08.2021 - Jeanne Colbois

Conclusions

25

  • Chirally coupled nanomagnets create very strong nearest-neighbor antiferromagnetic couplings
  • Yet farther-neighbor couplings cannot be neglected even at finite temperature and even when they are as small as 2% of the nearest-neighbor couplings

 

  • We present numerical results for the J1-J2-J3||-h model in a field based on MC and TN simulations

OASIS session 7 - 23.08.2021 - Jeanne Colbois

Conclusions

25

  • Chirally coupled nanomagnets create very strong nearest-neighbor antiferromagnetic couplings
  • Yet farther-neighbor couplings cannot be neglected even at finite temperature and even when they are as small as 2% of the nearest-neighbor couplings

 

  • We present numerical results for the J1-J2-J3||-h model in a field based on MC and TN simulations
  • It is a first step (no full quantitative picture of the experiments)

OASIS session 7 - 23.08.2021 - Jeanne Colbois

Outlook

26

  • Long-range effective model?
  • Role of disorder in the couplings?

OASIS session 7 - 23.08.2021 - Jeanne Colbois

Outlook

26

  • Long-range effective model?
  • Role of disorder in the couplings?

OASIS session 7 - 23.08.2021 - Jeanne Colbois

Outlook

26

  • Long-range effective model?
  • Role of disorder in the couplings?
  • Experimental observation of the IP configurations to validate the effective model?
  • Design with a triangular hole to reduce the farther-neighbor couplings?

OASIS session 7 - 23.08.2021 - Jeanne Colbois

Acknowledgments

Kevin Hofhuis

Zhaochu Luo, Ales Hrabec, Xueqiao Wang, Laura Heyderman, Frédéric Mila

Thank you for your attention!

Bram Vanhecke, Laurens Vanderstraeten, Andrew Smerald, Frank Verstraete, Patrick Emonts, Mithilesh Nayak, Natalia Chepiga

And the Centro de ciencias de Benasque Pedro Pascual

Discussions:

Collaborators:

OASIS session 7 - 23.08.2021 - Jeanne Colbois

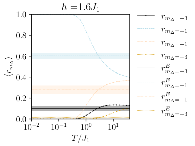
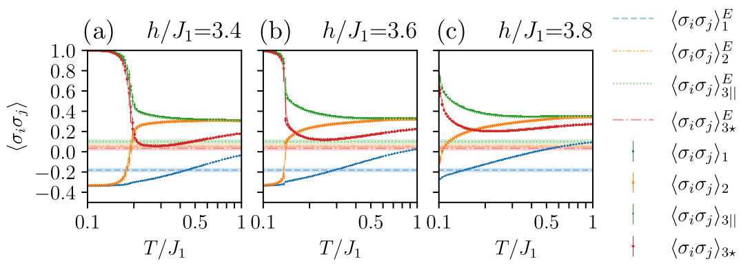
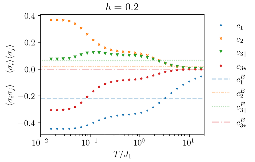
Results : order of the correlations

There is the region where the correlations are again in the order corresponding to the NN model (thanks to the field!)

20

OASIS session 7 - 23.08.2021 - Jeanne Colbois

Results : order of the correlations

There is the region where the correlations are again in the order corresponding to the NN model (thanks to the field!)

Nearest-neighbor model in a field

20

OASIS session 7 - 23.08.2021 - Jeanne Colbois

Numerical techniques

Monte Carlo simulations

8

OASIS session 7 - 23.08.2021 - Jeanne Colbois

Numerical techniques

Monte Carlo simulations

Monte Carlo simulations

In zero field

  • "myopic worm" loop update
  • single spin flip
  • parallel tempering

8

OASIS session 7 - 23.08.2021 - Jeanne Colbois

Numerical techniques

Monte Carlo simulations

Monte Carlo simulations

In zero field

  • "myopic worm" loop update
  • single spin flip
  • parallel tempering

Rakala, Damle, PRE 96,023304 (2017)

In a field

  • single spin flip
  • parallel tempering

8

OASIS session 7 - 23.08.2021 - Jeanne Colbois

A few words about tensor networks

OASIS session 7 - 23.08.2021 - Jeanne Colbois

10

Nearest-neighbor model in zero field

... and a benchmark ...

OASIS session 7 - 23.08.2021 - Jeanne Colbois

10

Nearest-neighbor model in zero field

... and a benchmark ...

1. Overall magnetization

2. Ratio of ferromagnetic triangles

3. Order of the farther-neighbor correlations

OASIS session 7 - 23.08.2021 - Jeanne Colbois

Nearest-neighbor model in zero field

10

... and a benchmark ...

1. Overall magnetization

2. Ratio of ferromagnetic triangles

3. Order of the farther-neighbor correlations

OASIS session 7 - 23.08.2021 - Jeanne Colbois

Nearest-neighbor model in zero field

10

... and a benchmark ...

1. Overall magnetization

2. Ratio of ferromagnetic triangles

3. Order of the farther-neighbor correlations

OASIS session 7 - 23.08.2021 - Jeanne Colbois

Nearest-neighbor model in zero field

10

... and a benchmark ...

1. Overall magnetization

2. Ratio of ferromagnetic triangles

3. Order of the farther-neighbor correlations

Barry and Khatun, Int. J. Mod. Phys. B 11, 93 (1997)

OASIS session 7 - 23.08.2021 - Jeanne Colbois

Nearest-neighbor model in zero field

10

... and a benchmark ...

1. Overall magnetization

2. Ratio of ferromagnetic triangles

3. Order of the farther-neighbor correlations

JC, Hofhuis, Luo et al., PRB 104, 024418 (2021)

OASIS session 7 - 23.08.2021 - Jeanne Colbois

Nearest-neighbor model in zero field

10

... and a benchmark ...

1. Overall magnetization

2. Ratio of ferromagnetic triangles

3. Order of the farther-neighbor correlations

JC, Hofhuis, Luo et al., PRB 104, 024418 (2021)

OASIS session 7 - 23.08.2021 - Jeanne Colbois

Nearest-neighbor model in zero field

10

... and a benchmark ...

1. Overall magnetization

2. Ratio of ferromagnetic triangles

3. Order of the farther-neighbor correlations

JC, Hofhuis, Luo et al., PRB 104, 024418 (2021)

OASIS session 7 - 23.08.2021 - Jeanne Colbois

Nearest-neighbor in a field

11

Lifting the ground state degeneracy (partially!)

h/J_1

0

4

\text{Nearest neighbour model : }\\ S = 0.501833...\\ \xi = 1.250559...

Verified with TN

NN

2-up 1-down, 2-down 1-up rule

Kano, Naya,

Prog. Theor. Phys 10, 158 (1953)

Apel, Everts,

J. Stat. Mech. 2011, 09002, (2011)

OASIS session 7 - 23.08.2021 - Jeanne Colbois

Nearest-neighbor in a field

11

Lifting the ground state degeneracy (partially!)

h/J_1

0

4

NN

2-up 1-down rule

Charge order

NN

2-up 1-down, 2-down 1-up rule

m = \frac{1}{3}\\ S = S_{\text{TLIAF}}/3

Moessner, Sondhi

PRB 63, 224401 (2001)

Verified with TN

OASIS session 7 - 23.08.2021 - Jeanne Colbois

Nearest-neighbor in a field

For a relatively large field and temperature, we explain the vertex populations ...

11

1. Overall magnetization

2. Ratio of ferromagnetic triangles

3. Order of the farther-neighbor correlations

OASIS session 7 - 23.08.2021 - Jeanne Colbois

Nearest-neighbor in a field

For a relatively large field and temperature, we explain the vertex populations ...

11

1. Overall magnetization

2. Ratio of ferromagnetic triangles

3. Order of the farther-neighbor correlations

OASIS session 7 - 23.08.2021 - Jeanne Colbois

Nearest-neighbor in a field

11

1. Overall magnetization

2. Ratio of ferromagnetic triangles

3. Order of the farther-neighbor correlations

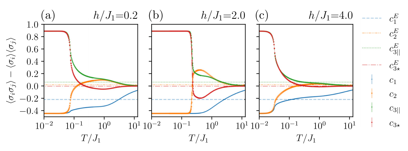
... but not the descending order of the correlations

OASIS session 7 - 23.08.2021 - Jeanne Colbois

Nearest-neighbor in a field

11

1. Overall magnetization

2. Ratio of ferromagnetic triangles

3. Order of the farther-neighbor correlations

... but not the descending order of the correlations

OASIS session 7 - 23.08.2021 - Jeanne Colbois

1. Overall magnetization

2. Ratio of ferromagnetic triangles

3. Order of the farther-neighbor correlations

Comparison in field and temperature

Disorder in coupling strengths pinning ice-rule breaking triangles?

22

OASIS session 7 - 23.08.2021 - Jeanne Colbois

1. Overall magnetization

2. Ratio of ferromagnetic triangles

3. Order of the farther-neighbor correlations

Demagnetization protocol switching domains of a certain size (e.g. five OOP sites), preserving the ratio of ferromagnetic triangles while reducing the magnetization and the correlations?

Comparison in field and temperature

23

OASIS session 7 - 23.08.2021 - Jeanne Colbois

1. Overall magnetization

2. Ratio of ferromagnetic triangles

3. Order of the farther-neighbor correlations

Farther-neighbor couplings underestimated from the micromagnetic simulations?

An impact from even farther neighbor couplings?

Comparison in field and temperature

24

Artificial out-of-plane Ising antiferromagnet on the kagome lattice with very small farther-neighbor couplings

By Jeanne Colbois

Artificial out-of-plane Ising antiferromagnet on the kagome lattice with very small farther-neighbor couplings

Invited talk at the Online Artificial Spin Ice Sessions (OASIS) session 7, organized by Gavin Macauley, Kevin Hofhuis and Laura Heyderman

  • 415